



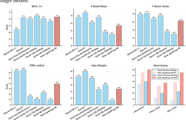
Abstract:Despite the proliferation of powerful agentic models, the lack of critical post-training details hinders the development of strong counterparts in the open-source community. In this study, we present a comprehensive and fully open-source pipeline for training a high-performance agentic model for interacting with external tools and environments, named Klear-Qwen3-AgentForge, starting from the Qwen3-8B base model. We design effective supervised fine-tuning (SFT) with synthetic data followed by multi-turn reinforcement learning (RL) to unlock the potential for multiple diverse agentic tasks. We perform exclusive experiments on various agentic benchmarks in both tool use and coding domains. Klear-Qwen3-AgentForge-8B achieves state-of-the-art performance among LLMs of similar size and remains competitive with significantly larger models.
Abstract:Diffusion large language models (dLLMs) represent a significant advancement in text generation, offering parallel token decoding capabilities. However, existing open-source implementations suffer from quality-speed trade-offs that impede their practical deployment. Conservative sampling strategies typically decode only the most confident token per step to ensure quality (i.e., greedy decoding), at the cost of inference efficiency due to repeated redundant refinement iterations--a phenomenon we term delayed decoding. Through systematic analysis of dLLM decoding dynamics, we characterize this delayed decoding behavior and propose a training-free adaptive parallel decoding strategy, named LocalLeap, to address these inefficiencies. LocalLeap is built on two fundamental empirical principles: local determinism propagation centered on high-confidence anchors and progressive spatial consistency decay. By applying these principles, LocalLeap identifies anchors and performs localized relaxed parallel decoding within bounded neighborhoods, achieving substantial inference step reduction through early commitment of already-determined tokens without compromising output quality. Comprehensive evaluation on various benchmarks demonstrates that LocalLeap achieves 6.94$\times$ throughput improvements and reduces decoding steps to just 14.2\% of the original requirement, achieving these gains with negligible performance impact. The source codes are available at: https://github.com/friedrichor/LocalLeap.
Abstract:We present LightVLA, a simple yet effective differentiable token pruning framework for vision-language-action (VLA) models. While VLA models have shown impressive capability in executing real-world robotic tasks, their deployment on resource-constrained platforms is often bottlenecked by the heavy attention-based computation over large sets of visual tokens. LightVLA addresses this challenge through adaptive, performance-driven pruning of visual tokens: It generates dynamic queries to evaluate visual token importance, and adopts Gumbel softmax to enable differentiable token selection. Through fine-tuning, LightVLA learns to preserve the most informative visual tokens while pruning tokens which do not contribute to task execution, thereby improving efficiency and performance simultaneously. Notably, LightVLA requires no heuristic magic numbers and introduces no additional trainable parameters, making it compatible with modern inference frameworks. Experimental results demonstrate that LightVLA outperforms different VLA models and existing token pruning methods across diverse tasks on the LIBERO benchmark, achieving higher success rates with substantially reduced computational overhead. Specifically, LightVLA reduces FLOPs and latency by 59.1% and 38.2% respectively, with a 2.9% improvement in task success rate. Meanwhile, we also investigate the learnable query-based token pruning method LightVLA* with additional trainable parameters, which also achieves satisfactory performance. Our work reveals that as VLA pursues optimal performance, LightVLA spontaneously learns to prune tokens from a performance-driven perspective. To the best of our knowledge, LightVLA is the first work to apply adaptive visual token pruning to VLA tasks with the collateral goals of efficiency and performance, marking a significant step toward more efficient, powerful and practical real-time robotic systems.
Abstract:Text-to-image (T2I) diffusion models have made significant strides in generating high-quality images. However, progressively manipulating certain attributes of generated images to meet the desired user expectations remains challenging, particularly for content with rich details, such as human faces. Some studies have attempted to address this by training slider modules. However, they follow a One-for-One manner, where an independent slider is trained for each attribute, requiring additional training whenever a new attribute is introduced. This not only results in parameter redundancy accumulated by sliders but also restricts the flexibility of practical applications and the scalability of attribute manipulation. To address this issue, we introduce the All-in-One Slider, a lightweight module that decomposes the text embedding space into sparse, semantically meaningful attribute directions. Once trained, it functions as a general-purpose slider, enabling interpretable and fine-grained continuous control over various attributes. Moreover, by recombining the learned directions, the All-in-One Slider supports zero-shot manipulation of unseen attributes (e.g., races and celebrities) and the composition of multiple attributes. Extensive experiments demonstrate that our method enables accurate and scalable attribute manipulation, achieving notable improvements compared to previous methods. Furthermore, our method can be extended to integrate with the inversion framework to perform attribute manipulation on real images, broadening its applicability to various real-world scenarios. The code and trained model will be released at: https://github.com/ywxsuperstar/KSAE-FaceSteer.




Abstract:Inspired by the success of reinforcement learning (RL) in refining large language models (LLMs), we propose AR-GRPO, an approach to integrate online RL training into autoregressive (AR) image generation models. We adapt the Group Relative Policy Optimization (GRPO) algorithm to refine the vanilla autoregressive models' outputs by carefully designed reward functions that evaluate generated images across multiple quality dimensions, including perceptual quality, realism, and semantic fidelity. We conduct comprehensive experiments on both class-conditional (i.e., class-to-image) and text-conditional (i.e., text-to-image) image generation tasks, demonstrating that our RL-enhanced framework significantly improves both the image quality and human preference of generated images compared to the standard AR baselines. Our results show consistent improvements across various evaluation metrics, establishing the viability of RL-based optimization for AR image generation and opening new avenues for controllable and high-quality image synthesis. The source codes and models are available at: https://github.com/Kwai-Klear/AR-GRPO.
Abstract:Since self-attention layers in Transformers are permutation invariant by design, positional encodings must be explicitly incorporated to enable spatial understanding. However, fixed-size lookup tables used in traditional learnable position embeddings (PEs) limit extrapolation capabilities beyond pre-trained sequence lengths. Expert-designed methods such as ALiBi and RoPE, mitigate this limitation but demand extensive modifications for adapting to new modalities, underscoring fundamental challenges in adaptability and scalability. In this work, we present SeqPE, a unified and fully learnable position encoding framework that represents each $n$-dimensional position index as a symbolic sequence and employs a lightweight sequential position encoder to learn their embeddings in an end-to-end manner. To regularize SeqPE's embedding space, we introduce two complementary objectives: a contrastive objective that aligns embedding distances with a predefined position-distance function, and a knowledge distillation loss that anchors out-of-distribution position embeddings to in-distribution teacher representations, further enhancing extrapolation performance. Experiments across language modeling, long-context question answering, and 2D image classification demonstrate that SeqPE not only surpasses strong baselines in perplexity, exact match (EM), and accuracy--particularly under context length extrapolation--but also enables seamless generalization to multi-dimensional inputs without requiring manual architectural redesign. We release our code, data, and checkpoints at https://github.com/ghrua/seqpe.
Abstract:Video captioning can be used to assess the video understanding capabilities of Multimodal Large Language Models (MLLMs). However, existing benchmarks and evaluation protocols suffer from crucial issues, such as inadequate or homogeneous creation of key points, exorbitant cost of data creation, and limited evaluation scopes. To address these issues, we propose an automatic framework, named AutoCaption, which leverages Monte Carlo Tree Search (MCTS) to construct numerous and diverse descriptive sentences (\textit{i.e.}, key points) that thoroughly represent video content in an iterative way. This iterative captioning strategy enables the continuous enhancement of video details such as actions, objects' attributes, environment details, etc. We apply AutoCaption to curate MCTS-VCB, a fine-grained video caption benchmark covering video details, thereby enabling a comprehensive evaluation of MLLMs on the video captioning task. We evaluate more than 20 open- and closed-source MLLMs of varying sizes on MCTS-VCB. Results show that MCTS-VCB can effectively and comprehensively evaluate the video captioning capability, with Gemini-1.5-Pro achieving the highest F1 score of 71.2. Interestingly, we fine-tune InternVL2.5-8B with the AutoCaption-generated data, which helps the model achieve an overall improvement of 25.0% on MCTS-VCB and 16.3% on DREAM-1K, further demonstrating the effectiveness of AutoCaption. The code and data are available at https://github.com/tjunlp-lab/MCTS-VCB.




Abstract:Recent advances in reasoning with large language models (LLMs) have popularized Long Chain-of-Thought (LCoT), a strategy that encourages deliberate and step-by-step reasoning before producing a final answer. While LCoTs have enabled expert-level performance in complex tasks, how the internal structures of their reasoning chains drive, or even predict, the correctness of final answers remains a critical yet underexplored question. In this work, we present LCoT2Tree, an automated framework that converts sequential LCoTs into hierarchical tree structures and thus enables deeper structural analysis of LLM reasoning. Using graph neural networks (GNNs), we reveal that structural patterns extracted by LCoT2Tree, including exploration, backtracking, and verification, serve as stronger predictors of final performance across a wide range of tasks and models. Leveraging an explainability technique, we further identify critical thought patterns such as over-branching that account for failures. Beyond diagnostic insights, the structural patterns by LCoT2Tree support practical applications, including improving Best-of-N decoding effectiveness. Overall, our results underscore the critical role of internal structures of reasoning chains, positioning LCoT2Tree as a powerful tool for diagnosing, interpreting, and improving reasoning in LLMs.




Abstract:Multimodal information retrieval (MIR) faces inherent challenges due to the heterogeneity of data sources and the complexity of cross-modal alignment. While previous studies have identified modal gaps in feature spaces, a systematic approach to address these challenges remains unexplored. In this work, we introduce UNITE, a universal framework that tackles these challenges through two critical yet underexplored aspects: data curation and modality-aware training configurations. Our work provides the first comprehensive analysis of how modality-specific data properties influence downstream task performance across diverse scenarios. Moreover, we propose Modal-Aware Masked Contrastive Learning (MAMCL) to mitigate the competitive relationships among the instances of different modalities. Our framework achieves state-of-the-art results on multiple multimodal retrieval benchmarks, outperforming existing methods by notable margins. Through extensive experiments, we demonstrate that strategic modality curation and tailored training protocols are pivotal for robust cross-modal representation learning. This work not only advances MIR performance but also provides a foundational blueprint for future research in multimodal systems. Our project is available at https://friedrichor.github.io/projects/UNITE.
Abstract:Creativity evaluation remains a challenging frontier for large language models (LLMs). Current evaluations heavily rely on inefficient and costly human judgments, hindering progress in enhancing machine creativity. While automated methods exist, ranging from psychological testing to heuristic- or prompting-based approaches, they often lack generalizability or alignment with human judgment. To address these issues, in this paper, we propose a novel pairwise-comparison framework for assessing textual creativity, leveraging shared contextual instructions to improve evaluation consistency. We introduce CreataSet, a large-scale dataset with 100K+ human-level and 1M+ synthetic creative instruction-response pairs spanning diverse open-domain tasks. Through training on CreataSet, we develop an LLM-based evaluator named CrEval. CrEval demonstrates remarkable superiority over existing methods in alignment with human judgments. Experimental results underscore the indispensable significance of integrating both human-generated and synthetic data in training highly robust evaluators, and showcase the practical utility of CrEval in boosting the creativity of LLMs. We will release all data, code, and models publicly soon to support further research.