University of California Riverside
Abstract:Integrating image generation and understanding into a single framework has become a pivotal goal in the multimodal domain. However, how understanding can effectively assist generation has not been fully explored. Unlike previous works that focus on leveraging reasoning abilities and world knowledge from understanding models, this paper introduces a novel perspective: leveraging understanding to enhance the fidelity and detail richness of generated images. To this end, we propose Forge-and-Quench, a new unified framework that puts this principle into practice. In the generation process of our framework, an MLLM first reasons over the entire conversational context, including text instructions, to produce an enhanced text instruction. This refined instruction is then mapped to a virtual visual representation, termed the Bridge Feature, via a novel Bridge Adapter. This feature acts as a crucial link, forging insights from the understanding model to quench and refine the generation process. It is subsequently injected into the T2I backbone as a visual guidance signal, alongside the enhanced text instruction that replaces the original input. To validate this paradigm, we conduct comprehensive studies on the design of the Bridge Feature and Bridge Adapter. Our framework demonstrates exceptional extensibility and flexibility, enabling efficient migration across different MLLM and T2I models with significant savings in training overhead, all without compromising the MLLM's inherent multimodal understanding capabilities. Experiments show that Forge-and-Quench significantly improves image fidelity and detail across multiple models, while also maintaining instruction-following accuracy and enhancing world knowledge application. Models and codes are available at https://github.com/YanbingZeng/Forge-and-Quench.
Abstract:Large language models (LLMs) have shown promise for mental health support, yet training such models is constrained by the scarcity and sensitivity of real counseling dialogues. In this article, we present MindChat, a privacy-preserving LLM for mental health support, together with MindCorpus, a synthetic multi-turn counseling dataset constructed via a multi-agent role-playing framework. To synthesize high-quality counseling data, the developed dialogue-construction framework employs a dual closed-loop feedback design to integrate psychological expertise and counseling techniques through role-playing: (i) turn-level critique-and-revision to improve coherence and counseling appropriateness within a session, and (ii) session-level strategy refinement to progressively enrich counselor behaviors across sessions. To mitigate privacy risks under decentralized data ownership, we fine-tune the base model using federated learning with parameter-efficient LoRA adapters and incorporate differentially private optimization to reduce membership and memorization risks. Experiments on synthetic-data quality assessment and counseling capability evaluation show that MindCorpus improves training effectiveness and that MindChat is competitive with existing general and counseling-oriented LLM baselines under both automatic LLM-judge and human evaluation protocols, while exhibiting reduced privacy leakage under membership inference attacks.
Abstract:Inspired by the remarkable success of autoregressive models in language modeling, this paradigm has been widely adopted in visual generation. However, the sequential token-by-token decoding mechanism inherent in traditional autoregressive models leads to low inference efficiency.In this paper, we propose RadAR, an efficient and parallelizable framework designed to accelerate autoregressive visual generation while preserving its representational capacity. Our approach is motivated by the observation that visual tokens exhibit strong local dependencies and spatial correlations with their neighbors--a property not fully exploited in standard raster-scan decoding orders. Specifically, we organize the generation process around a radial topology: an initial token is selected as the starting point, and all other tokens are systematically grouped into multiple concentric rings according to their spatial distances from this center. Generation then proceeds in a ring-wise manner, from inner to outer regions, enabling the parallel prediction of all tokens within the same ring. This design not only preserves the structural locality and spatial coherence of visual scenes but also substantially increases parallelization. Furthermore, to address the risk of inconsistent predictions arising from simultaneous token generation with limited context, we introduce a nested attention mechanism. This mechanism dynamically refines implausible outputs during the forward pass, thereby mitigating error accumulation and preventing model collapse. By integrating radial parallel prediction with dynamic output correction, RadAR significantly improves generation efficiency.
Abstract:Autonomous driving requires a persistent understanding of 3D scenes that is robust to temporal disturbances and accounts for potential future actions. We introduce a new concept of 4D Occupancy Spatio-Temporal Persistence (OccSTeP), which aims to address two tasks: (1) reactive forecasting: ''what will happen next'' and (2) proactive forecasting: "what would happen given a specific future action". For the first time, we create a new OccSTeP benchmark with challenging scenarios (e.g., erroneous semantic labels and dropped frames). To address this task, we propose OccSTeP-WM, a tokenizer-free world model that maintains a dense voxel-based scene state and incrementally fuses spatio-temporal context over time. OccSTeP-WM leverages a linear-complexity attention backbone and a recurrent state-space module to capture long-range spatial dependencies while continually updating the scene memory with ego-motion compensation. This design enables online inference and robust performance even when historical sensor input is missing or noisy. Extensive experiments prove the effectiveness of the OccSTeP concept and our OccSTeP-WM, yielding an average semantic mIoU of 23.70% (+6.56% gain) and occupancy IoU of 35.89% (+9.26% gain). The data and code will be open source at https://github.com/FaterYU/OccSTeP.




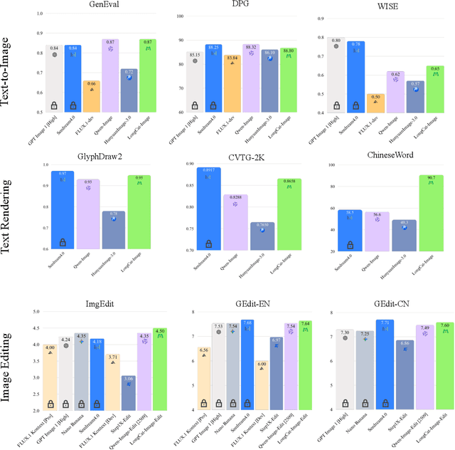
Abstract:We introduce LongCat-Image, a pioneering open-source and bilingual (Chinese-English) foundation model for image generation, designed to address core challenges in multilingual text rendering, photorealism, deployment efficiency, and developer accessibility prevalent in current leading models. 1) We achieve this through rigorous data curation strategies across the pre-training, mid-training, and SFT stages, complemented by the coordinated use of curated reward models during the RL phase. This strategy establishes the model as a new state-of-the-art (SOTA), delivering superior text-rendering capabilities and remarkable photorealism, and significantly enhancing aesthetic quality. 2) Notably, it sets a new industry standard for Chinese character rendering. By supporting even complex and rare characters, it outperforms both major open-source and commercial solutions in coverage, while also achieving superior accuracy. 3) The model achieves remarkable efficiency through its compact design. With a core diffusion model of only 6B parameters, it is significantly smaller than the nearly 20B or larger Mixture-of-Experts (MoE) architectures common in the field. This ensures minimal VRAM usage and rapid inference, significantly reducing deployment costs. Beyond generation, LongCat-Image also excels in image editing, achieving SOTA results on standard benchmarks with superior editing consistency compared to other open-source works. 4) To fully empower the community, we have established the most comprehensive open-source ecosystem to date. We are releasing not only multiple model versions for text-to-image and image editing, including checkpoints after mid-training and post-training stages, but also the entire toolchain of training procedure. We believe that the openness of LongCat-Image will provide robust support for developers and researchers, pushing the frontiers of visual content creation.
Abstract:In visuomotor policy learning, diffusion-based imitation learning has become widely adopted for its ability to capture diverse behaviors. However, approaches built on ordinary and stochastic denoising processes struggle to jointly achieve fast sampling and strong multi-modality. To address these challenges, we propose the Hybrid Consistency Policy (HCP). HCP runs a short stochastic prefix up to an adaptive switch time, and then applies a one-step consistency jump to produce the final action. To align this one-jump generation, HCP performs time-varying consistency distillation that combines a trajectory-consistency objective to keep neighboring predictions coherent and a denoising-matching objective to improve local fidelity. In both simulation and on a real robot, HCP with 25 SDE steps plus one jump approaches the 80-step DDPM teacher in accuracy and mode coverage while significantly reducing latency. These results show that multi-modality does not require slow inference, and a switch time decouples mode retention from speed. It yields a practical accuracy efficiency trade-off for robot policies.
Abstract:We present the RAW domain diffusion model (RDDM), an end-to-end diffusion model that restores photo-realistic images directly from the sensor RAW data. While recent sRGB-domain diffusion methods achieve impressive results, they are caught in a dilemma between high fidelity and realistic generation. As these models process lossy sRGB inputs and neglect the accessibility of the sensor RAW images in many scenarios, e.g., in image and video capturing in edge devices, resulting in sub-optimal performance. RDDM bypasses this limitation by directly restoring images in the RAW domain, replacing the conventional two-stage image signal processing (ISP) + IR pipeline. However, a simple adaptation of pre-trained diffusion models to the RAW domain confronts the out-of-distribution (OOD) issues. To this end, we propose: (1) a RAW-domain VAE (RVAE) learning optimal latent representations, (2) a differentiable Post Tone Processing (PTP) module enabling joint RAW and sRGB space optimization. To compensate for the deficiency in the dataset, we develop a scalable degradation pipeline synthesizing RAW LQ-HQ pairs from existing sRGB datasets for large-scale training. Furthermore, we devise a configurable multi-bayer (CMB) LoRA module handling diverse RAW patterns such as RGGB, BGGR, etc. Extensive experiments demonstrate RDDM's superiority over state-of-the-art sRGB diffusion methods, yielding higher fidelity results with fewer artifacts.




Abstract:1-bit LLM quantization offers significant advantages in reducing storage and computational costs. However, existing methods typically train 1-bit LLMs from scratch, failing to fully leverage pre-trained models. This results in high training costs and notable accuracy degradation. We identify that the large gap between full precision and 1-bit representations makes direct adaptation difficult. In this paper, we introduce a consistent progressive training for both forward and backward, smoothly converting the floating-point weights into the binarized ones. Additionally, we incorporate binary-aware initialization and dual-scaling compensation to reduce the difficulty of progressive training and improve the performance. Experimental results on LLMs of various sizes demonstrate that our method outperforms existing approaches. Our results show that high-performance 1-bit LLMs can be achieved using pre-trained models, eliminating the need for expensive training from scratch.




Abstract:Large language models (LLMs) with extended context windows have become increasingly prevalent for tackling complex tasks. However, the substantial Key-Value (KV) cache required for long-context LLMs poses significant deployment challenges. Existing approaches either discard potentially critical information needed for future generations or offer limited efficiency gains due to high computational overhead. In this paper, we introduce Chelsea, a simple yet effective framework for online KV cache clustering. Our approach is based on the observation that key states exhibit high similarity along the sequence dimension. To enable efficient clustering, we divide the sequence into chunks and propose Chunked Soft Matching, which employs an alternating partition strategy within each chunk and identifies clusters based on similarity. Chelsea then merges the KV cache within each cluster into a single centroid. Additionally, we provide a theoretical analysis of the computational complexity and the optimality of the intra-chunk partitioning strategy. Extensive experiments across various models and long-context benchmarks demonstrate that Chelsea achieves up to 80% reduction in KV cache memory usage while maintaining comparable model performance. Moreover, with minimal computational overhead, Chelsea accelerates the decoding stage of inference by up to 3.19$\times$ and reduces end-to-end latency by up to 2.72$\times$.




Abstract:Despite advances in general video understanding, Video Large Language Models (Video-LLMs) face challenges in precise temporal localization due to discrete time representations and limited temporally aware datasets. Existing methods for temporal expression either conflate time with text-based numerical values, add a series of dedicated temporal tokens, or regress time using specialized temporal grounding heads. To address these issues, we introduce DisTime, a lightweight framework designed to enhance temporal comprehension in Video-LLMs. DisTime employs a learnable token to create a continuous temporal embedding space and incorporates a Distribution-based Time Decoder that generates temporal probability distributions, effectively mitigating boundary ambiguities and maintaining temporal continuity. Additionally, the Distribution-based Time Encoder re-encodes timestamps to provide time markers for Video-LLMs. To overcome temporal granularity limitations in existing datasets, we propose an automated annotation paradigm that combines the captioning capabilities of Video-LLMs with the localization expertise of dedicated temporal models. This leads to the creation of InternVid-TG, a substantial dataset with 1.25M temporally grounded events across 179k videos, surpassing ActivityNet-Caption by 55 times. Extensive experiments demonstrate that DisTime achieves state-of-the-art performance across benchmarks in three time-sensitive tasks while maintaining competitive performance in Video QA tasks. Code and data are released at https://github.com/josephzpng/DisTime.