



Abstract:Reasoning large language models (LLMs) have demonstrated superior capacities in solving complicated problems by generating long chain-of-thoughts (CoT), but such a lengthy CoT incurs high inference costs. In this study, we introduce ES-CoT, an inference-time method that shortens CoT generation by detecting answer convergence and stopping early with minimal performance loss. At the end of each reasoning step, we prompt the LLM to output its current final answer, denoted as a step answer. We then track the run length of consecutive identical step answers as a measure of answer convergence. Once the run length exhibits a sharp increase and exceeds a minimum threshold, the generation is terminated. We provide both empirical and theoretical support for this heuristic: step answers steadily converge to the final answer, and large run-length jumps reliably mark this convergence. Experiments on five reasoning datasets across three LLMs show that ES-CoT reduces the number of inference tokens by about 41\% on average while maintaining accuracy comparable to standard CoT. Further, ES-CoT integrates seamlessly with self-consistency prompting and remains robust across hyperparameter choices, highlighting it as a practical and effective approach for efficient reasoning.
Abstract:Deciphering how visual stimuli are transformed into cortical responses is a fundamental challenge in computational neuroscience. This visual-to-neural mapping is inherently a one-to-many relationship, as identical visual inputs reliably evoke variable hemodynamic responses across trials, contexts, and subjects. However, existing deterministic methods struggle to simultaneously model this biological variability while capturing the underlying functional consistency that encodes stimulus information. To address these limitations, we propose SynBrain, a generative framework that simulates the transformation from visual semantics to neural responses in a probabilistic and biologically interpretable manner. SynBrain introduces two key components: (i) BrainVAE models neural representations as continuous probability distributions via probabilistic learning while maintaining functional consistency through visual semantic constraints; (ii) A Semantic-to-Neural Mapper acts as a semantic transmission pathway, projecting visual semantics into the neural response manifold to facilitate high-fidelity fMRI synthesis. Experimental results demonstrate that SynBrain surpasses state-of-the-art methods in subject-specific visual-to-fMRI encoding performance. Furthermore, SynBrain adapts efficiently to new subjects with few-shot data and synthesizes high-quality fMRI signals that are effective in improving data-limited fMRI-to-image decoding performance. Beyond that, SynBrain reveals functional consistency across trials and subjects, with synthesized signals capturing interpretable patterns shaped by biological neural variability. The code will be made publicly available.
Abstract:Intelligent reflecting surface (IRS) has gained great attention for its ability to create favorable propagation environments. However, the power consumption of conventional IRSs cannot be ignored due to the large number of reflecting elements and control circuits. To balance performance and power consumption, we previously proposed a heterogeneous-IRS (HE-IRS), a green IRS structure integrating dynamically tunable elements (DTEs) and statically tunable elements (STEs). Compared to conventional IRSs with only DTEs, the unique DTE-STE integrated structure introduces new challenges in both channel estimation and beamforming. In this paper, we investigate the channel estimation and beamforming problems in HE-IRS-assisted multi-user multiple-input multiple-output systems. Unlike the overall cascaded channel estimated in conventional IRSs, we show that the HE-IRS channel to be estimated is decomposed into a DTE-based cascaded channel and an STE-based equivalent channel. Leveraging it along with the inherent sparsity of DTE- and STE-based channels and manifold optimization, we propose an efficient channel estimation scheme. To address the rank mismatch problem in the imperfect channel sparsity information, a robust rank selection rule is developed. For beamforming, we propose an offline algorithm to optimize the STE phase shifts for wide beam coverage, and an online algorithm to optimize the BS precoder and the DTE phase shifts using the estimated HE-IRS channel. Simulation results show that the HE-IRS requires less pilot overhead than conventional IRSs with the same number of elements. With the proposed channel estimation and beamforming schemes, the green HE-IRS achieves competitive sum rate performance with significantly reduced power consumption.
Abstract:With the rapid development of Large Language Models (LLMs), aligning these models with human preferences and values is critical to ensuring ethical and safe applications. However, existing alignment techniques such as RLHF or DPO often require direct fine-tuning on LLMs with billions of parameters, resulting in substantial computational costs and inefficiencies. To address this, we propose Micro token-level Accept-Reject Aligning (MARA) approach designed to operate independently of the language models. MARA simplifies the alignment process by decomposing sentence-level preference learning into token-level binary classification, where a compact three-layer fully-connected network determines whether candidate tokens are "Accepted" or "Rejected" as part of the response. Extensive experiments across seven different LLMs and three open-source datasets show that MARA achieves significant improvements in alignment performance while reducing computational costs.




Abstract:The space-air-ground integrated network (SAGIN) has recently emerged as a core element in the 6G networks. However, traditional centralized and synchronous optimization algorithms are unsuitable for SAGIN due to infrastructureless and time-varying environments. This paper aims to develop a novel Asynchronous algorithm a.k.a. Argus for tackling non-convex and non-smooth decentralized federated bilevel learning over SAGIN. The proposed algorithm allows networked agents (e.g. autonomous aerial vehicles) to tackle bilevel learning problems in time-varying networks asynchronously, thereby averting stragglers from impeding the overall training speed. We provide a theoretical analysis of the iteration complexity, communication complexity, and computational complexity of Argus. Its effectiveness is further demonstrated through numerical experiments.




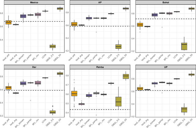
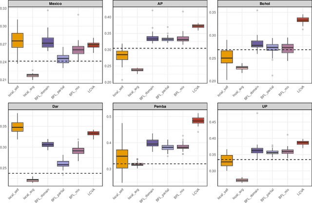
Abstract:In regions lacking medically certified causes of death, verbal autopsy (VA) is a critical and widely used tool to ascertain the cause of death through interviews with caregivers. Data collected by VAs are often analyzed using probabilistic algorithms. The performance of these algorithms often degrades due to distributional shift across populations. Most existing VA algorithms rely on centralized training, requiring full access to training data for joint modeling. This is often infeasible due to privacy and logistical constraints. In this paper, we propose a novel Bayesian Federated Learning (BFL) framework that avoids data sharing across multiple training sources. Our method enables reliable individual-level cause-of-death classification and population-level quantification of cause-specific mortality fractions (CSMFs), in a target domain with limited or no local labeled data. The proposed framework is modular, computationally efficient, and compatible with a wide range of existing VA algorithms as candidate models, facilitating flexible deployment in real-world mortality surveillance systems. We validate the performance of BFL through extensive experiments on two real-world VA datasets under varying levels of distribution shift. Our results show that BFL significantly outperforms the base models built on a single domain and achieves comparable or better performance compared to joint modeling.
Abstract:We present a Gaussian Splatting method for surface reconstruction using sparse input views. Previous methods relying on dense views struggle with extremely sparse Structure-from-Motion points for initialization. While learning-based Multi-view Stereo (MVS) provides dense 3D points, directly combining it with Gaussian Splatting leads to suboptimal results due to the ill-posed nature of sparse-view geometric optimization. We propose Sparse2DGS, an MVS-initialized Gaussian Splatting pipeline for complete and accurate reconstruction. Our key insight is to incorporate the geometric-prioritized enhancement schemes, allowing for direct and robust geometric learning under ill-posed conditions. Sparse2DGS outperforms existing methods by notable margins while being ${2}\times$ faster than the NeRF-based fine-tuning approach.




Abstract:Trajectory-based motion control has emerged as an intuitive and efficient approach for controllable video generation. However, the existing trajectory-based approaches are usually limited to only generating the motion trajectory of the controlled object and ignoring the dynamic interactions between the controlled object and its surroundings. To address this limitation, we propose a Chain-of-Thought-based motion controller for controllable video generation, named C-Drag. Instead of directly generating the motion of some objects, our C-Drag first performs object perception and then reasons the dynamic interactions between different objects according to the given motion control of the objects. Specifically, our method includes an object perception module and a Chain-of-Thought-based motion reasoning module. The object perception module employs visual language models to capture the position and category information of various objects within the image. The Chain-of-Thought-based motion reasoning module takes this information as input and conducts a stage-wise reasoning process to generate motion trajectories for each of the affected objects, which are subsequently fed to the diffusion model for video synthesis. Furthermore, we introduce a new video object interaction (VOI) dataset to evaluate the generation quality of motion controlled video generation methods. Our VOI dataset contains three typical types of interactions and provides the motion trajectories of objects that can be used for accurate performance evaluation. Experimental results show that C-Drag achieves promising performance across multiple metrics, excelling in object motion control. Our benchmark, codes, and models will be available at https://github.com/WesLee88524/C-Drag-Official-Repo.




Abstract:Keeping ML-based recommender models up-to-date as data drifts and evolves is essential to maintain accuracy. As a result, online data preprocessing plays an increasingly important role in serving recommender systems. Existing solutions employ multiple CPU workers to saturate the input bandwidth of a single training node. Such an approach results in high deployment costs and energy consumption. For instance, a recent report from industrial deployments shows that data storage and ingestion pipelines can account for over 60\% of the power consumption in a recommender system. In this paper, we tackle the issue from a hardware perspective by introducing Piper, a flexible and network-attached accelerator that executes data loading and preprocessing pipelines in a streaming fashion. As part of the design, we define MiniPipe, the smallest pipeline unit enabling multi-pipeline implementation by executing various data preprocessing tasks across the single board, giving Piper the ability to be reconfigured at runtime. Our results, using publicly released commercial pipelines, show that Piper, prototyped on a power-efficient FPGA, achieves a 39$\sim$105$\times$ speedup over a server-grade, 128-core CPU and 3$\sim$17$\times$ speedup over GPUs like RTX 3090 and A100 in multiple pipelines. The experimental analysis demonstrates that Piper provides advantages in both latency and energy efficiency for preprocessing tasks in recommender systems, providing an alternative design point for systems that today are in very high demand.




Abstract:Existing unified methods typically treat multi-degradation image restoration as a multi-task learning problem. Despite performing effectively compared to single degradation restoration methods, they overlook the utilization of commonalities and specificities within multi-task restoration, thereby impeding the model's performance. Inspired by the success of deep generative models and fine-tuning techniques, we proposed a universal image restoration framework based on multiple low-rank adapters (LoRA) from multi-domain transfer learning. Our framework leverages the pre-trained generative model as the shared component for multi-degradation restoration and transfers it to specific degradation image restoration tasks using low-rank adaptation. Additionally, we introduce a LoRA composing strategy based on the degradation similarity, which adaptively combines trained LoRAs and enables our model to be applicable for mixed degradation restoration. Extensive experiments on multiple and mixed degradations demonstrate that the proposed universal image restoration method not only achieves higher fidelity and perceptual image quality but also has better generalization ability than other unified image restoration models. Our code is available at https://github.com/Justones/UIR-LoRA.