Abstract:Accurate personalized headline generation hinges on precisely capturing user interests from historical behaviors. However, existing methods neglect personalized-irrelevant click noise in entire historical clickstreams, which may lead to hallucinated headlines that deviate from genuine user preferences. In this paper, we reveal the detrimental impact of click noise on personalized generation quality through rigorous analysis in both user and news dimensions. Based on these insights, we propose a novel Personalized Headline Generation framework via Denoising Fake Interests from Implicit Feedback (PHG-DIF). PHG-DIF first employs dual-stage filtering to effectively remove clickstream noise, identified by short dwell times and abnormal click bursts, and then leverages multi-level temporal fusion to dynamically model users' evolving and multi-faceted interests for precise profiling. Moreover, we release DT-PENS, a new benchmark dataset comprising the click behavior of 1,000 carefully curated users and nearly 10,000 annotated personalized headlines with historical dwell time annotations. Extensive experiments demonstrate that PHG-DIF substantially mitigates the adverse effects of click noise and significantly improves headline quality, achieving state-of-the-art (SOTA) results on DT-PENS. Our framework implementation and dataset are available at https://github.com/liukejin-up/PHG-DIF.
Abstract:In recent years, Large Language Models (LLMs) have made significant progress in automated psychological counseling. However, current research focuses on single-session counseling, which doesn't represent real-world scenarios. In practice, psychological counseling is a process, not a one-time event, requiring sustained, multi-session engagement to progressively address clients' issues. To overcome this limitation, we introduce a dataset for Multi-Session Psychological Counseling Conversation Dataset (MusPsy-Dataset). Our MusPsy-Dataset is constructed using real client profiles from publicly available psychological case reports. It captures the dynamic arc of counseling, encompassing multiple progressive counseling conversations from the same client across different sessions. Leveraging our dataset, we also developed our MusPsy-Model, which aims to track client progress and adapt its counseling direction over time. Experiments show that our model performs better than baseline models across multiple sessions.




Abstract:Aligning general-purpose large language models (LLMs) to downstream tasks often incurs significant costs, including constructing task-specific instruction pairs and extensive training adjustments. Prior research has explored various avenues to enhance alignment efficiency, primarily through minimal-data training or data-driven activations to identify key attention heads. However, these approaches inherently introduce data dependency, which hinders generalization and reusability. To address this issue and enhance model alignment efficiency, we propose the \textit{\textbf{A}ttention \textbf{L}ocalization and \textbf{P}runing \textbf{S}trategy (\textbf{ALPS})}, an efficient algorithm that localizes the most task-sensitive attention heads and prunes by restricting attention training updates to these heads, thereby reducing alignment costs. Experimental results demonstrate that our method activates only \textbf{10\%} of attention parameters during fine-tuning while achieving a \textbf{2\%} performance improvement over baselines on three tasks. Moreover, the identified task-specific heads are transferable across datasets and mitigate knowledge forgetting. Our work and findings provide a novel perspective on efficient LLM alignment.




Abstract:Tabular data, which accounts for over 80% of enterprise data assets, is vital in various fields. With growing concerns about privacy protection and data-sharing restrictions, generating high-quality synthetic tabular data has become essential. Recent advancements show that large language models (LLMs) can effectively gener-ate realistic tabular data by leveraging semantic information and overcoming the challenges of high-dimensional data that arise from one-hot encoding. However, current methods do not fully utilize the rich information available in tables. To address this, we introduce AI Generative Table (AIGT) based on prompt enhancement, a novel approach that utilizes meta data information, such as table descriptions and schemas, as prompts to generate ultra-high quality synthetic data. To overcome the token limit constraints of LLMs, we propose long-token partitioning algorithms that enable AIGT to model tables of any scale. AIGT achieves state-of-the-art performance on 14 out of 20 public datasets and two real industry datasets within the Alipay risk control system.




Abstract:Tabular data plays a critical role in real-world financial scenarios. Traditionally, tree models have dominated in handling tabular data. However, financial datasets in the industry often encounter some challenges, such as data heterogeneity, the predominance of numerical features and the large scale of the data, which can range from tens of millions to hundreds of millions of records. These challenges can lead to significant memory and computational issues when using tree-based models. Consequently, there is a growing need for neural network-based solutions that can outperform these models. In this paper, we introduce TKGMLP, an hybrid network for tabular data that combines shallow Kolmogorov Arnold Networks with Gated Multilayer Perceptron. This model leverages the strengths of both architectures to improve performance and scalability. We validate TKGMLP on a real-world credit scoring dataset, where it achieves state-of-the-art results and outperforms current benchmarks. Furthermore, our findings demonstrate that the model continues to improve as the dataset size increases, making it highly scalable. Additionally, we propose a novel feature encoding method for numerical data, specifically designed to address the predominance of numerical features in financial datasets. The integration of this feature encoding method within TKGMLP significantly improves prediction accuracy. This research not only advances table prediction technology but also offers a practical and effective solution for handling large-scale numerical tabular data in various industrial applications.




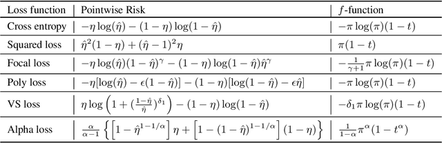
Abstract:Imbalanced data are frequently encountered in real-world classification tasks. Previous works on imbalanced learning mostly focused on learning with a minority class of few samples. However, the notion of imbalance also applies to cases where the minority class contains abundant samples, which is usually the case for industrial applications like fraud detection in the area of financial risk management. In this paper, we take a population-level approach to imbalanced learning by proposing a new formulation called \emph{ultra-imbalanced classification} (UIC). Under UIC, loss functions behave differently even if infinite amount of training samples are available. To understand the intrinsic difficulty of UIC problems, we borrow ideas from information theory and establish a framework to compare different loss functions through the lens of statistical information. A novel learning objective termed Tunable Boosting Loss is developed which is provably resistant against data imbalance under UIC, as well as being empirically efficient verified by extensive experimental studies on both public and industrial datasets.




Abstract:Graph clustering, a fundamental and challenging task in graph mining, aims to classify nodes in a graph into several disjoint clusters. In recent years, graph contrastive learning (GCL) has emerged as a dominant line of research in graph clustering and advances the new state-of-the-art. However, GCL-based methods heavily rely on graph augmentations and contrastive schemes, which may potentially introduce challenges such as semantic drift and scalability issues. Another promising line of research involves the adoption of modularity maximization, a popular and effective measure for community detection, as the guiding principle for clustering tasks. Despite the recent progress, the underlying mechanism of modularity maximization is still not well understood. In this work, we dig into the hidden success of modularity maximization for graph clustering. Our analysis reveals the strong connections between modularity maximization and graph contrastive learning, where positive and negative examples are naturally defined by modularity. In light of our results, we propose a community-aware graph clustering framework, coined MAGI, which leverages modularity maximization as a contrastive pretext task to effectively uncover the underlying information of communities in graphs, while avoiding the problem of semantic drift. Extensive experiments on multiple graph datasets verify the effectiveness of MAGI in terms of scalability and clustering performance compared to state-of-the-art graph clustering methods. Notably, MAGI easily scales a sufficiently large graph with 100M nodes while outperforming strong baselines.




Abstract:To gather a significant quantity of annotated training data for high-performance image classification models, numerous companies opt to enlist third-party providers to label their unlabeled data. This practice is widely regarded as secure, even in cases where some annotated errors occur, as the impact of these minor inaccuracies on the final performance of the models is negligible and existing backdoor attacks require attacker's ability to poison the training images. Nevertheless, in this paper, we propose clean-image backdoor attacks which uncover that backdoors can still be injected via a fraction of incorrect labels without modifying the training images. Specifically, in our attacks, the attacker first seeks a trigger feature to divide the training images into two parts: those with the feature and those without it. Subsequently, the attacker falsifies the labels of the former part to a backdoor class. The backdoor will be finally implanted into the target model after it is trained on the poisoned data. During the inference phase, the attacker can activate the backdoor in two ways: slightly modifying the input image to obtain the trigger feature, or taking an image that naturally has the trigger feature as input. We conduct extensive experiments to demonstrate the effectiveness and practicality of our attacks. According to the experimental results, we conclude that our attacks seriously jeopardize the fairness and robustness of image classification models, and it is necessary to be vigilant about the incorrect labels in outsourced labeling.




Abstract:Graph representation learning has now become the de facto standard when handling graph-structured data, with the framework of message-passing graph neural networks (MPNN) being the most prevailing algorithmic tool. Despite its popularity, the family of MPNNs suffers from several drawbacks such as transparency and expressivity. Recently, the idea of designing neural models on graphs using the theory of graph kernels has emerged as a more transparent as well as sometimes more expressive alternative to MPNNs known as kernel graph neural networks (KGNNs). Developments on KGNNs are currently a nascent field of research, leaving several challenges from algorithmic design and adaptation to other learning paradigms such as self-supervised learning. In this paper, we improve the design and learning of KGNNs. Firstly, we extend the algorithmic formulation of KGNNs by allowing a more flexible graph-level similarity definition that encompasses former proposals like random walk graph kernel, as well as providing a smoother optimization objective that alleviates the need of introducing combinatorial learning procedures. Secondly, we enhance KGNNs through the lens of self-supervision via developing a novel structure-preserving graph data augmentation method called latent graph augmentation (LGA). Finally, we perform extensive empirical evaluations to demonstrate the efficacy of our proposed mechanisms. Experimental results over benchmark datasets suggest that our proposed model achieves competitive performance that is comparable to or sometimes outperforming state-of-the-art graph representation learning frameworks with or without self-supervision on graph classification tasks. Comparisons against other previously established graph data augmentation methods verify that the proposed LGA augmentation scheme captures better semantics of graph-level invariance.




Abstract:Privacy in AI remains a topic that draws attention from researchers and the general public in recent years. As one way to implement privacy-preserving AI, differentially private learning is a framework that enables AI models to use differential privacy (DP). To achieve DP in the learning process, existing algorithms typically limit the magnitude of gradients with a constant clipping, which requires carefully tuned due to its significant impact on model performance. As a solution to this issue, latest works NSGD and Auto-S innovatively propose to use normalization instead of clipping to avoid hyperparameter tuning. However, normalization-based approaches like NSGD and Auto-S rely on a monotonic weight function, which imposes excessive weight on small gradient samples and introduces extra deviation to the update. In this paper, we propose a Differentially Private Per-Sample Adaptive Clipping (DP-PSAC) algorithm based on a non-monotonic adaptive weight function, which guarantees privacy without the typical hyperparameter tuning process of using a constant clipping while significantly reducing the deviation between the update and true batch-averaged gradient. We provide a rigorous theoretical convergence analysis and show that with convergence rate at the same order, the proposed algorithm achieves a lower non-vanishing bound, which is maintained over training iterations, compared with NSGD/Auto-S. In addition, through extensive experimental evaluation, we show that DP-PSAC outperforms or matches the state-of-the-art methods on multiple main-stream vision and language tasks.