May
Abstract:Claim verification with large language models (LLMs) has recently attracted considerable attention, owing to their superior reasoning capabilities and transparent verification pathways compared to traditional answer-only judgments. Online claim verification requires iterative evidence retrieval and reasoning, yet existing approaches mainly rely on prompt engineering or predesigned reasoning workflows without offering a unified training paradigm to improve necessary skills. Therefore, we introduce Veri-R1, an online reinforcement learning (RL) framework that enables an LLM to interact with a search engine and to receive reward signals that explicitly shape its planning, retrieval, and reasoning behaviors. The dynamic interaction between models and retrieval systems more accurately reflects real-world verification scenarios and fosters comprehensive verification skills. Empirical results show that Veri-R1 improves joint accuracy by up to 30% and doubles evidence score, often surpassing larger-scale counterparts. Ablation studies further reveal the impact of reward components and the link between output logits and label accuracy. Our results highlight the effectiveness of online RL for precise and faithful claim verification and provide a foundation for future research. We release our code to support community progress in LLM empowered claim verification.
Abstract:Reward models trained on human preference data have demonstrated strong effectiveness in aligning Large Language Models (LLMs) with human intent under the framework of Reinforcement Learning from Human Feedback (RLHF). However, RLHF remains vulnerable to reward hacking, where the policy exploits imperfections in the reward function rather than genuinely learning the intended behavior. Although significant efforts have been made to mitigate reward hacking, they predominantly focus on and evaluate in-distribution scenarios, where the training and testing data for the reward model share the same distribution. In this paper, we empirically show that state-of-the-art methods struggle in more challenging out-of-distribution (OOD) settings. We further demonstrate that incorporating fine-grained multi-attribute scores helps address this challenge. However, the limited availability of high-quality data often leads to weak performance of multi-objective reward functions, which can negatively impact overall performance and become the bottleneck. To address this issue, we propose a unified reward modeling framework that jointly trains Bradley--Terry (BT) single-objective and multi-objective regression-based reward functions using a shared embedding space. We theoretically establish a connection between the BT loss and the regression objective and highlight their complementary benefits. Specifically, the regression task enhances the single-objective reward function's ability to mitigate reward hacking in challenging OOD settings, while BT-based training improves the scoring capability of the multi-objective reward function, enabling a 7B model to outperform a 70B baseline. Extensive experimental results demonstrate that our framework significantly improves both the robustness and the scoring performance of reward models.
Abstract:Goal-oriented script planning, or the ability to devise coherent sequences of actions toward specific goals, is commonly employed by humans to plan for typical activities. In e-commerce, customers increasingly seek LLM-based assistants to generate scripts and recommend products at each step, thereby facilitating convenient and efficient shopping experiences. However, this capability remains underexplored due to several challenges, including the inability of LLMs to simultaneously conduct script planning and product retrieval, difficulties in matching products caused by semantic discrepancies between planned actions and search queries, and a lack of methods and benchmark data for evaluation. In this paper, we step forward by formally defining the task of E-commerce Script Planning (EcomScript) as three sequential subtasks. We propose a novel framework that enables the scalable generation of product-enriched scripts by associating products with each step based on the semantic similarity between the actions and their purchase intentions. By applying our framework to real-world e-commerce data, we construct the very first large-scale EcomScript dataset, EcomScriptBench, which includes 605,229 scripts sourced from 2.4 million products. Human annotations are then conducted to provide gold labels for a sampled subset, forming an evaluation benchmark. Extensive experiments reveal that current (L)LMs face significant challenges with EcomScript tasks, even after fine-tuning, while injecting product purchase intentions improves their performance.




Abstract:In response to the growing problem of misinformation in the context of globalization and informatization, this paper proposes a classification method for fact-check-worthiness estimation based on prompt tuning. We construct a model for fact-check-worthiness estimation at the methodological level using prompt tuning. By applying designed prompt templates to large language models, we establish in-context learning and leverage prompt tuning technology to improve the accuracy of determining whether claims have fact-check-worthiness, particularly when dealing with limited or unlabeled data. Through extensive experiments on public datasets, we demonstrate that the proposed method surpasses or matches multiple baseline methods in the classification task of fact-check-worthiness estimation assessment, including classical pre-trained models such as BERT, as well as recent popular large models like GPT-3.5 and GPT-4. Experiments show that the prompt tuning-based method proposed in this study exhibits certain advantages in evaluation metrics such as F1 score and accuracy, thereby effectively validating its effectiveness and advancement in the task of fact-check-worthiness estimation.




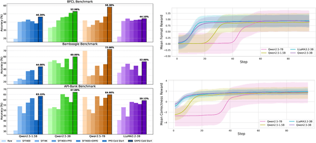
Abstract:Current Large Language Models (LLMs) often undergo supervised fine-tuning (SFT) to acquire tool use capabilities. However, SFT struggles to generalize to unfamiliar or complex tool use scenarios. Recent advancements in reinforcement learning (RL), particularly with R1-like models, have demonstrated promising reasoning and generalization abilities. Yet, reward design for tool use presents unique challenges: multiple tools may be invoked with diverse parameters, and coarse-grained reward signals, such as answer matching, fail to offer the finegrained feedback required for effective learning. In this work, we present the first comprehensive study on reward design for tool selection and application tasks within the RL paradigm. We systematically explore a wide range of reward strategies, analyzing their types, scales, granularity, and temporal dynamics. Building on these insights, we propose a principled reward design tailored for tool use tasks and apply it to train LLMs using Group Relative Policy Optimization (GRPO). Empirical evaluations across diverse benchmarks demonstrate that our approach yields robust, scalable, and stable training, achieving a 17% improvement over base models and a 15% gain over SFT models. These results highlight the critical role of thoughtful reward design in enhancing the tool use capabilities and generalization performance of LLMs. All the codes are released to facilitate future research.




Abstract:Usability testing is a fundamental research method that user experience (UX) researchers use to evaluate and iterate a web design, but\textbf{ how to evaluate and iterate the usability testing study design } itself? Recent advances in Large Language Model-simulated Agent (\textbf{LLM Agent}) research inspired us to design \textbf{UXAgent} to support UX researchers in evaluating and reiterating their usability testing study design before they conduct the real human-subject study. Our system features a Persona Generator module, an LLM Agent module, and a Universal Browser Connector module to automatically generate thousands of simulated users to interactively test the target website. The system also provides an Agent Interview Interface and a Video Replay Interface so that the UX researchers can easily review and analyze the generated qualitative and quantitative log data. Through a heuristic evaluation, five UX researcher participants praised the innovation of our system but also expressed concerns about the future of LLM Agent usage in UX studies.




Abstract:Recent advances in long-context models (LCMs), designed to handle extremely long input contexts, primarily focus on utilizing external contextual information, often leaving the influence of large language models' intrinsic knowledge underexplored. In this work, we investigate how this intrinsic knowledge affects content generation and demonstrate that its impact becomes increasingly pronounced as context length extends. Furthermore, we show that the model's ability to utilize intrinsic knowledge, which we call intrinsic retrieval ability, does not improve simultaneously with its ability to leverage contextual knowledge through extrinsic retrieval ability. Moreover, better extrinsic retrieval can interfere with the model's ability to use its own knowledge effectively, limiting its full potential. To bridge this gap, we design a simple yet effective Hybrid Needle-in-a-Haystack test that evaluates models based on their capabilities across both retrieval abilities, rather than solely emphasizing extrinsic retrieval ability. Our experimental results reveal that Qwen-2.5 models significantly outperform Llama-3.1 models, demonstrating superior intrinsic retrieval ability. Moreover, even the more powerful Llama-3.1-70B-Instruct model fails to exhibit better performance under LCM conditions, highlighting the importance of evaluating models from a dual-retrieval perspective.
Abstract:Recent research shows that LLMs can simulate ``believable'' human behaviors to power LLM agents via prompt-only methods. In this work, we focus on evaluating and improving LLM's objective ``accuracy'' rather than the subjective ``believability'' in the web action generation task, leveraging a large-scale, real-world dataset collected from online shopping human actions. We present the first comprehensive quantitative evaluation of state-of-the-art LLMs (e.g., DeepSeek-R1, Llama, and Claude) on the task of web action generation. Our results show that fine-tuning LLMs on real-world behavioral data substantially improves their ability to generate actions compared to prompt-only methods. Furthermore, incorporating synthesized reasoning traces into model training leads to additional performance gains, demonstrating the value of explicit rationale in behavior modeling. This work establishes a new benchmark for evaluating LLMs in behavior simulation and offers actionable insights into how real-world action data and reasoning augmentation can enhance the fidelity of LLM agents.




Abstract:Vision-and-Language Navigation (VLN) systems often focus on either discrete (panoramic) or continuous (free-motion) paradigms alone, overlooking the complexities of human-populated, dynamic environments. We introduce a unified Human-Aware VLN (HA-VLN) benchmark that merges these paradigms under explicit social-awareness constraints. Our contributions include: 1. A standardized task definition that balances discrete-continuous navigation with personal-space requirements; 2. An enhanced human motion dataset (HAPS 2.0) and upgraded simulators capturing realistic multi-human interactions, outdoor contexts, and refined motion-language alignment; 3. Extensive benchmarking on 16,844 human-centric instructions, revealing how multi-human dynamics and partial observability pose substantial challenges for leading VLN agents; 4. Real-world robot tests validating sim-to-real transfer in crowded indoor spaces; and 5. A public leaderboard supporting transparent comparisons across discrete and continuous tasks. Empirical results show improved navigation success and fewer collisions when social context is integrated, underscoring the need for human-centric design. By releasing all datasets, simulators, agent code, and evaluation tools, we aim to advance safer, more capable, and socially responsible VLN research.
Abstract:With the advancement of conversational large language models (LLMs), several LLM-based Conversational Shopping Agents (CSA) have been developed to help customers answer questions and smooth their shopping journey in e-commerce domain. The primary objective in building a trustworthy CSA is to ensure the agent's responses are accurate and factually grounded, which is essential for building customer trust and encouraging continuous engagement. However, two challenges remain. First, LLMs produce hallucinated or unsupported claims. Such inaccuracies risk spreading misinformation and diminishing customer trust. Second, without providing knowledge source attribution in CSA response, customers struggle to verify LLM-generated information. To address these challenges, we present an easily productionized solution that enables a "citation experience" utilizing In-context Learning (ICL) and Multi-UX-Inference (MUI) to generate responses with citations to attribute its original sources without interfering other existing UX features. With proper UX design, these citation marks can be linked to the related product information and display the source to our customers. In this work, we also build auto-metrics and scalable benchmarks to holistically evaluate LLM's grounding and attribution capabilities. Our experiments demonstrate that incorporating this citation generation paradigm can substantially enhance the grounding of LLM responses by 13.83% on the real-world data. As such, our solution not only addresses the immediate challenges of LLM grounding issues but also adds transparency to conversational AI.