Abstract:The growing demand for oriented object detection (OOD) across various domains has driven significant research in this area. However, the high cost of dataset annotation remains a major concern. Current mainstream OOD algorithms can be mainly categorized into three types: (1) fully supervised methods using complete oriented bounding box (OBB) annotations, (2) semi-supervised methods using partial OBB annotations, and (3) weakly supervised methods using weak annotations such as horizontal boxes or points. However, these algorithms inevitably increase the cost of models in terms of annotation speed or annotation cost. To address this issue, we propose:(1) the first Partial Weakly-Supervised Oriented Object Detection (PWOOD) framework based on partially weak annotations (horizontal boxes or single points), which can efficiently leverage large amounts of unlabeled data, significantly outperforming weakly supervised algorithms trained with partially weak annotations, also offers a lower cost solution; (2) Orientation-and-Scale-aware Student (OS-Student) model capable of learning orientation and scale information with only a small amount of orientation-agnostic or scale-agnostic weak annotations; and (3) Class-Agnostic Pseudo-Label Filtering strategy (CPF) to reduce the model's sensitivity to static filtering thresholds. Comprehensive experiments on DOTA-v1.0/v1.5/v2.0 and DIOR datasets demonstrate that our PWOOD framework performs comparably to, or even surpasses, traditional semi-supervised algorithms.
Abstract:Bandeira et al. (2022) introduced the Franz-Parisi (FP) criterion for characterizing the computational hard phases in statistical detection problems. The FP criterion, based on an annealed version of the celebrated Franz-Parisi potential from statistical physics, was shown to be equivalent to low-degree polynomial (LDP) lower bounds for Gaussian additive models, thereby connecting two distinct approaches to understanding the computational hardness in statistical inference. In this paper, we propose a refined FP criterion that aims to better capture the geometric ``overlap" structure of statistical models. Our main result establishes that this optimized FP criterion is equivalent to Statistical Query (SQ) lower bounds -- another foundational framework in computational complexity of statistical inference. Crucially, this equivalence holds under a mild, verifiable assumption satisfied by a broad class of statistical models, including Gaussian additive models, planted sparse models, as well as non-Gaussian component analysis (NGCA), single-index (SI) models, and convex truncation detection settings. For instance, in the case of convex truncation tasks, the assumption is equivalent with the Gaussian correlation inequality (Royen, 2014) from convex geometry. In addition to the above, our equivalence not only unifies and simplifies the derivation of several known SQ lower bounds -- such as for the NGCA model (Diakonikolas et al., 2017) and the SI model (Damian et al., 2024) -- but also yields new SQ lower bounds of independent interest, including for the computational gaps in mixed sparse linear regression (Arpino et al., 2023) and convex truncation (De et al., 2023).
Abstract:Scaling video diffusion transformers (DiTs) is limited by their quadratic 3D attention, even though most of the attention mass concentrates on a small subset of positions. We turn this observation into VSA, a trainable, hardware-efficient sparse attention that replaces full attention at \emph{both} training and inference. In VSA, a lightweight coarse stage pools tokens into tiles and identifies high-weight \emph{critical tokens}; a fine stage computes token-level attention only inside those tiles subjecting to block computing layout to ensure hard efficiency. This leads to a single differentiable kernel that trains end-to-end, requires no post-hoc profiling, and sustains 85\% of FlashAttention3 MFU. We perform a large sweep of ablation studies and scaling-law experiments by pretraining DiTs from 60M to 1.4B parameters. VSA reaches a Pareto point that cuts training FLOPS by 2.53$\times$ with no drop in diffusion loss. Retrofitting the open-source Wan-2.1 model speeds up attention time by 6$\times$ and lowers end-to-end generation time from 31s to 18s with comparable quality. These results establish trainable sparse attention as a practical alternative to full attention and a key enabler for further scaling of video diffusion models.
Abstract:Large Multi-modality Models (LMMs) have made significant progress in visual understanding and generation, but they still face challenges in General Visual Editing, particularly in following complex instructions, preserving appearance consistency, and supporting flexible input formats. To address this gap, we introduce RISEBench, the first benchmark for evaluating Reasoning-Informed viSual Editing (RISE). RISEBench focuses on four key reasoning types: Temporal, Causal, Spatial, and Logical Reasoning. We curate high-quality test cases for each category and propose an evaluation framework that assesses Instruction Reasoning, Appearance Consistency, and Visual Plausibility with both human judges and an LMM-as-a-judge approach. Our experiments reveal that while GPT-4o-Native significantly outperforms other open-source and proprietary models, even this state-of-the-art system struggles with logical reasoning tasks, highlighting an area that remains underexplored. As an initial effort, RISEBench aims to provide foundational insights into reasoning-aware visual editing and to catalyze future research. Though still in its early stages, we are committed to continuously expanding and refining the benchmark to support more comprehensive, reliable, and scalable evaluations of next-generation multimodal systems. Our code and data will be released at https://github.com/PhoenixZ810/RISEBench.
Abstract:We introduce EgoLife, a project to develop an egocentric life assistant that accompanies and enhances personal efficiency through AI-powered wearable glasses. To lay the foundation for this assistant, we conducted a comprehensive data collection study where six participants lived together for one week, continuously recording their daily activities - including discussions, shopping, cooking, socializing, and entertainment - using AI glasses for multimodal egocentric video capture, along with synchronized third-person-view video references. This effort resulted in the EgoLife Dataset, a comprehensive 300-hour egocentric, interpersonal, multiview, and multimodal daily life dataset with intensive annotation. Leveraging this dataset, we introduce EgoLifeQA, a suite of long-context, life-oriented question-answering tasks designed to provide meaningful assistance in daily life by addressing practical questions such as recalling past relevant events, monitoring health habits, and offering personalized recommendations. To address the key technical challenges of (1) developing robust visual-audio models for egocentric data, (2) enabling identity recognition, and (3) facilitating long-context question answering over extensive temporal information, we introduce EgoButler, an integrated system comprising EgoGPT and EgoRAG. EgoGPT is an omni-modal model trained on egocentric datasets, achieving state-of-the-art performance on egocentric video understanding. EgoRAG is a retrieval-based component that supports answering ultra-long-context questions. Our experimental studies verify their working mechanisms and reveal critical factors and bottlenecks, guiding future improvements. By releasing our datasets, models, and benchmarks, we aim to stimulate further research in egocentric AI assistants.
Abstract:Despite the promise of synthesizing high-fidelity videos, Diffusion Transformers (DiTs) with 3D full attention suffer from expensive inference due to the complexity of attention computation and numerous sampling steps. For example, the popular Open-Sora-Plan model consumes more than 9 minutes for generating a single video of 29 frames. This paper addresses the inefficiency issue from two aspects: 1) Prune the 3D full attention based on the redundancy within video data; We identify a prevalent tile-style repetitive pattern in the 3D attention maps for video data, and advocate a new family of sparse 3D attention that holds a linear complexity w.r.t. the number of video frames. 2) Shorten the sampling process by adopting existing multi-step consistency distillation; We split the entire sampling trajectory into several segments and perform consistency distillation within each one to activate few-step generation capacities. We further devise a three-stage training pipeline to conjoin the low-complexity attention and few-step generation capacities. Notably, with 0.1% pretraining data, we turn the Open-Sora-Plan-1.2 model into an efficient one that is 7.4x -7.8x faster for 29 and 93 frames 720p video generation with a marginal performance trade-off in VBench. In addition, we demonstrate that our approach is amenable to distributed inference, achieving an additional 3.91x speedup when running on 4 GPUs with sequence parallelism.




Abstract:With the rapidly increasing demand for oriented object detection (OOD), recent research involving weakly-supervised detectors for learning OOD from point annotations has gained great attention. In this paper, we rethink this challenging task setting with the layout among instances and present Point2RBox-v2. At the core are three principles: 1) Gaussian overlap loss. It learns an upper bound for each instance by treating objects as 2D Gaussian distributions and minimizing their overlap. 2) Voronoi watershed loss. It learns a lower bound for each instance through watershed on Voronoi tessellation. 3) Consistency loss. It learns the size/rotation variation between two output sets with respect to an input image and its augmented view. Supplemented by a few devised techniques, e.g. edge loss and copy-paste, the detector is further enhanced. To our best knowledge, Point2RBox-v2 is the first approach to explore the spatial layout among instances for learning point-supervised OOD. Our solution is elegant and lightweight, yet it is expected to give a competitive performance especially in densely packed scenes: 62.61%/86.15%/34.71% on DOTA/HRSC/FAIR1M. Code is available at https://github.com/VisionXLab/point2rbox-v2.




Abstract:Diffusion Transformers (DiTs) with 3D full attention power state-of-the-art video generation, but suffer from prohibitive compute cost -- when generating just a 5-second 720P video, attention alone takes 800 out of 945 seconds of total inference time. This paper introduces sliding tile attention (STA) to address this challenge. STA leverages the observation that attention scores in pretrained video diffusion models predominantly concentrate within localized 3D windows. By sliding and attending over the local spatial-temporal region, STA eliminates redundancy from full attention. Unlike traditional token-wise sliding window attention (SWA), STA operates tile-by-tile with a novel hardware-aware sliding window design, preserving expressiveness while being hardware-efficient. With careful kernel-level optimizations, STA offers the first efficient 2D/3D sliding-window-like attention implementation, achieving 58.79% MFU. Precisely, STA accelerates attention by 2.8-17x over FlashAttention-2 (FA2) and 1.6-10x over FlashAttention-3 (FA3). On the leading video DiT, HunyuanVideo, STA reduces end-to-end latency from 945s (FA3) to 685s without quality degradation, requiring no training. Enabling finetuning further lowers latency to 268s with only a 0.09% drop on VBench.




Abstract:With the growing demand for oriented object detection (OOD), recent studies on point-supervised OOD have attracted significant interest. In this paper, we propose PointOBB-v3, a stronger single point-supervised OOD framework. Compared to existing methods, it generates pseudo rotated boxes without additional priors and incorporates support for the end-to-end paradigm. PointOBB-v3 functions by integrating three unique image views: the original view, a resized view, and a rotated/flipped (rot/flp) view. Based on the views, a scale augmentation module and an angle acquisition module are constructed. In the first module, a Scale-Sensitive Consistency (SSC) loss and a Scale-Sensitive Feature Fusion (SSFF) module are introduced to improve the model's ability to estimate object scale. To achieve precise angle predictions, the second module employs symmetry-based self-supervised learning. Additionally, we introduce an end-to-end version that eliminates the pseudo-label generation process by integrating a detector branch and introduces an Instance-Aware Weighting (IAW) strategy to focus on high-quality predictions. We conducted extensive experiments on the DIOR-R, DOTA-v1.0/v1.5/v2.0, FAIR1M, STAR, and RSAR datasets. Across all these datasets, our method achieves an average improvement in accuracy of 3.56% in comparison to previous state-of-the-art methods. The code will be available at https://github.com/ZpyWHU/PointOBB-v3.




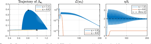
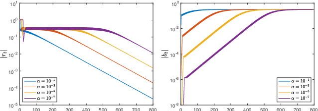
Abstract:Classical optimization theory requires a small step-size for gradient-based methods to converge. Nevertheless, recent findings challenge the traditional idea by empirically demonstrating Gradient Descent (GD) converges even when the step-size $\eta$ exceeds the threshold of $2/L$, where $L$ is the global smooth constant. This is usually known as the Edge of Stability (EoS) phenomenon. A widely held belief suggests that an objective function with subquadratic growth plays an important role in incurring EoS. In this paper, we provide a more comprehensive answer by considering the task of finding linear interpolator $\beta \in R^{d}$ for regression with loss function $l(\cdot)$, where $\beta$ admits parameterization as $\beta = w^2_{+} - w^2_{-}$. Contrary to the previous work that suggests a subquadratic $l$ is necessary for EoS, our novel finding reveals that EoS occurs even when $l$ is quadratic under proper conditions. This argument is made rigorous by both empirical and theoretical evidence, demonstrating the GD trajectory converges to a linear interpolator in a non-asymptotic way. Moreover, the model under quadratic $l$, also known as a depth-$2$ diagonal linear network, remains largely unexplored under the EoS regime. Our analysis then sheds some new light on the implicit bias of diagonal linear networks when a larger step-size is employed, enriching the understanding of EoS on more practical models.