Abstract:Large Language Models (LLMs) have become indispensable in real-world applications. However, their widespread adoption raises significant safety concerns, particularly in responding to socially harmful questions. Despite substantial efforts to improve model safety through alignment, aligned models can still have their safety protections undermined by subsequent fine-tuning - even when the additional training data appears benign. In this paper, we empirically demonstrate that this vulnerability stems from the sensitivity of safety-critical low-rank subspaces in LLM parameters to fine-tuning. Building on this insight, we propose a novel training-free method, termed Low-Rank Extrapolation (LoX), to enhance safety robustness by extrapolating the safety subspace of an aligned LLM. Our experimental results confirm the effectiveness of LoX, demonstrating significant improvements in robustness against both benign and malicious fine-tuning attacks while preserving the model's adaptability to new tasks. For instance, LoX leads to 11% to 54% absolute reductions in attack success rates (ASR) facing benign or malicious fine-tuning attacks. By investigating the ASR landscape of parameters, we attribute the success of LoX to that the extrapolation moves LLM parameters to a flatter zone, thereby less sensitive to perturbations. The code is available at github.com/VITA-Group/LoX.




Abstract:Backward compatible representation learning enables updated models to integrate seamlessly with existing ones, avoiding to reprocess stored data. Despite recent advances, existing compatibility approaches in Euclidean space neglect the uncertainty in the old embedding model and force the new model to reconstruct outdated representations regardless of their quality, thereby hindering the learning process of the new model. In this paper, we propose to switch perspectives to hyperbolic geometry, where we treat time as a natural axis for capturing a model's confidence and evolution. By lifting embeddings into hyperbolic space and constraining updated embeddings to lie within the entailment cone of the old ones, we maintain generational consistency across models while accounting for uncertainties in the representations. To further enhance compatibility, we introduce a robust contrastive alignment loss that dynamically adjusts alignment weights based on the uncertainty of the old embeddings. Experiments validate the superiority of the proposed method in achieving compatibility, paving the way for more resilient and adaptable machine learning systems.
Abstract:The rapid advancement of Large Multimodal Models (LMMs) for 2D images and videos has motivated extending these models to understand 3D scenes, aiming for human-like visual-spatial intelligence. Nevertheless, achieving deep spatial understanding comparable to human capabilities poses significant challenges in model encoding and data acquisition. Existing methods frequently depend on external depth sensors for geometry capture or utilize off-the-shelf algorithms for pre-constructing 3D maps, thereby limiting their scalability, especially with prevalent monocular video inputs and for time-sensitive applications. In this work, we introduce VLM-3R, a unified framework for Vision-Language Models (VLMs) that incorporates 3D Reconstructive instruction tuning. VLM-3R processes monocular video frames by employing a geometry encoder to derive implicit 3D tokens that represent spatial understanding. Leveraging our Spatial-Visual-View Fusion and over 200K curated 3D reconstructive instruction tuning question-answer (QA) pairs, VLM-3R effectively aligns real-world spatial context with language instructions. This enables monocular 3D spatial assistance and embodied reasoning. To facilitate the evaluation of temporal reasoning, we introduce the Vision-Spatial-Temporal Intelligence benchmark, featuring over 138.6K QA pairs across five distinct tasks focused on evolving spatial relationships. Extensive experiments demonstrate that our model, VLM-3R, not only facilitates robust visual-spatial reasoning but also enables the understanding of temporal 3D context changes, excelling in both accuracy and scalability.




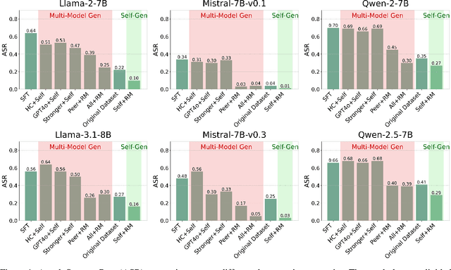
Abstract:Aligning large language models (LLMs) with human values is an increasingly critical step in post-training. Direct Preference Optimization (DPO) has emerged as a simple, yet effective alternative to reinforcement learning from human feedback (RLHF). Synthetic preference data with its low cost and high quality enable effective alignment through single- or multi-model generated preference data. Our study reveals a striking, safety-specific phenomenon associated with DPO alignment: Although multi-model generated data enhances performance on general tasks (ARC, Hellaswag, MMLU, TruthfulQA, Winogrande) by providing diverse responses, it also tends to facilitate reward hacking during training. This can lead to a high attack success rate (ASR) when models encounter jailbreaking prompts. The issue is particularly pronounced when employing stronger models like GPT-4o or larger models in the same family to generate chosen responses paired with target model self-generated rejected responses, resulting in dramatically poorer safety outcomes. Furthermore, with respect to safety, using solely self-generated responses (single-model generation) for both chosen and rejected pairs significantly outperforms configurations that incorporate responses from stronger models, whether used directly as chosen data or as part of a multi-model response pool. We demonstrate that multi-model preference data exhibits high linear separability between chosen and rejected responses, which allows models to exploit superficial cues rather than internalizing robust safety constraints. Our experiments, conducted on models from the Llama, Mistral, and Qwen families, consistently validate these findings.




Abstract:Alignment of large language models (LLMs) with human values and preferences, often achieved through fine-tuning based on human feedback, is essential for ensuring safe and responsible AI behaviors. However, the process typically requires substantial data and computation resources. Recent studies have revealed that alignment might be attainable at lower costs through simpler methods, such as in-context learning. This leads to the question: Is alignment predominantly superficial? In this paper, we delve into this question and provide a quantitative analysis. We formalize the concept of superficial knowledge, defining it as knowledge that can be acquired through easily token restyling, without affecting the model's ability to capture underlying causal relationships between tokens. We propose a method to extract and isolate superficial knowledge from aligned models, focusing on the shallow modifications to the final token selection process. By comparing models augmented only with superficial knowledge to fully aligned models, we quantify the superficial portion of alignment. Our findings reveal that while superficial knowledge constitutes a significant portion of alignment, particularly in safety and detoxification tasks, it is not the whole story. Tasks requiring reasoning and contextual understanding still rely on deeper knowledge. Additionally, we demonstrate two practical advantages of isolated superficial knowledge: (1) it can be transferred between models, enabling efficient offsite alignment of larger models using extracted superficial knowledge from smaller models, and (2) it is recoverable, allowing for the restoration of alignment in compromised models without sacrificing performance.




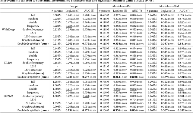
Abstract:Deep recommender systems rely heavily on large embedding tables to handle high-cardinality categorical features such as user/item identifiers, and face significant memory constraints at scale. To tackle this challenge, hashing techniques are often employed to map multiple entities to the same embedding and thus reduce the size of the embedding tables. Concurrently, graph-based collaborative signals have emerged as powerful tools in recommender systems, yet their potential for optimizing embedding table reduction remains unexplored. This paper introduces GraphHash, the first graph-based approach that leverages modularity-based bipartite graph clustering on user-item interaction graphs to reduce embedding table sizes. We demonstrate that the modularity objective has a theoretical connection to message-passing, which provides a foundation for our method. By employing fast clustering algorithms, GraphHash serves as a computationally efficient proxy for message-passing during preprocessing and a plug-and-play graph-based alternative to traditional ID hashing. Extensive experiments show that GraphHash substantially outperforms diverse hashing baselines on both retrieval and click-through-rate prediction tasks. In particular, GraphHash achieves on average a 101.52% improvement in recall when reducing the embedding table size by more than 75%, highlighting the value of graph-based collaborative information for model reduction.




Abstract:Generative recommendation systems, driven by large language models (LLMs), present an innovative approach to predicting user preferences by modeling items as token sequences and generating recommendations in a generative manner. A critical challenge in this approach is the effective tokenization of items, ensuring that they are represented in a form compatible with LLMs. Current item tokenization methods include using text descriptions, numerical strings, or sequences of discrete tokens. While text-based representations integrate seamlessly with LLM tokenization, they are often too lengthy, leading to inefficiencies and complicating accurate generation. Numerical strings, while concise, lack semantic depth and fail to capture meaningful item relationships. Tokenizing items as sequences of newly defined tokens has gained traction, but it often requires external models or algorithms for token assignment. These external processes may not align with the LLM's internal pretrained tokenization schema, leading to inconsistencies and reduced model performance. To address these limitations, we propose a self-improving item tokenization method that allows the LLM to refine its own item tokenizations during training process. Our approach starts with item tokenizations generated by any external model and periodically adjusts these tokenizations based on the LLM's learned patterns. Such alignment process ensures consistency between the tokenization and the LLM's internal understanding of the items, leading to more accurate recommendations. Furthermore, our method is simple to implement and can be integrated as a plug-and-play enhancement into existing generative recommendation systems. Experimental results on multiple datasets and using various initial tokenization strategies demonstrate the effectiveness of our method, with an average improvement of 8\% in recommendation performance.




Abstract:This paper aims to overcome the "lost-in-the-middle" challenge of large language models (LLMs). While recent advancements have successfully enabled LLMs to perform stable language modeling with up to 4 million tokens, the persistent difficulty faced by most LLMs in identifying relevant information situated in the middle of the context has not been adequately tackled. To address this problem, this paper introduces Multi-scale Positional Encoding (Ms-PoE) which is a simple yet effective plug-and-play approach to enhance the capacity of LLMs to handle the relevant information located in the middle of the context, without fine-tuning or introducing any additional overhead. Ms-PoE leverages the position indice rescaling to relieve the long-term decay effect introduced by RoPE, while meticulously assigning distinct scaling ratios to different attention heads to preserve essential knowledge learned during the pre-training step, forming a multi-scale context fusion from short to long distance. Extensive experiments with a wide range of LLMs demonstrate the efficacy of our approach. Notably, Ms-PoE achieves an average accuracy gain of up to 3.8 on the Zero-SCROLLS benchmark over the original LLMs. Code are available at https://github.com/VITA-Group/Ms-PoE.




Abstract:Graph Neural Networks (GNNs) have empowered the advance in graph-structured data analysis. Recently, the rise of Large Language Models (LLMs) like GPT-4 has heralded a new era in deep learning. However, their application to graph data poses distinct challenges due to the inherent difficulty of translating graph structures to language. To this end, we introduce the Large Language and Graph Assistant (LLaGA), an innovative model that effectively integrates LLM capabilities to handle the complexities of graph-structured data. LLaGA retains the general-purpose nature of LLMs while adapting graph data into a format compatible with LLM input. LLaGA achieves this by reorganizing graph nodes to structure-aware sequences and then mapping these into the token embedding space through a versatile projector. LLaGA excels in versatility, generalizability and interpretability, allowing it to perform consistently well across different datasets and tasks, extend its ability to unseen datasets or tasks, and provide explanations for graphs. Our extensive experiments across popular graph benchmarks show that LLaGA delivers outstanding performance across four datasets and three tasks using one single model, surpassing state-of-the-art graph models in both supervised and zero-shot scenarios. Our code is available at \url{https://github.com/VITA-Group/LLaGA}.




Abstract:This paper presents a method to explain the knowledge encoded in a convolutional neural network (CNN) quantitatively and semantically. The analysis of the specific rationale of each prediction made by the CNN presents a key issue of understanding neural networks, but it is also of significant practical values in certain applications. In this study, we propose to distill knowledge from the CNN into an explainable additive model, so that we can use the explainable model to provide a quantitative explanation for the CNN prediction. We analyze the typical bias-interpreting problem of the explainable model and develop prior losses to guide the learning of the explainable additive model. Experimental results have demonstrated the effectiveness of our method.