Abstract:Recent prominence in 3D Gaussian Splatting (3DGS) has enabled real-time rendering while maintaining high-fidelity novel view synthesis. However, 3DGS resorts to the Gaussian function that is low-pass by nature and is restricted in representing high-frequency details in 3D scenes. Moreover, it causes redundant primitives with degraded training and rendering efficiency and excessive memory overhead. To overcome these limitations, we propose 3D Gabor Splatting (3DGabSplat) that leverages a novel 3D Gabor-based primitive with multiple directional 3D frequency responses for radiance field representation supervised by multi-view images. The proposed 3D Gabor-based primitive forms a filter bank incorporating multiple 3D Gabor kernels at different frequencies to enhance flexibility and efficiency in capturing fine 3D details. Furthermore, to achieve novel view rendering, an efficient CUDA-based rasterizer is developed to project the multiple directional 3D frequency components characterized by 3D Gabor-based primitives onto the 2D image plane, and a frequency-adaptive mechanism is presented for adaptive joint optimization of primitives. 3DGabSplat is scalable to be a plug-and-play kernel for seamless integration into existing 3DGS paradigms to enhance both efficiency and quality of novel view synthesis. Extensive experiments demonstrate that 3DGabSplat outperforms 3DGS and its variants using alternative primitives, and achieves state-of-the-art rendering quality across both real-world and synthetic scenes. Remarkably, we achieve up to 1.35 dB PSNR gain over 3DGS with simultaneously reduced number of primitives and memory consumption.




Abstract:Continual learning has emerged as a promising solution to refine models incrementally by leveraging user feedback, thereby enhancing model performance in applications like code completion, personal assistants, and chat interfaces. In particular, online continual learning - iteratively training the model with small batches of user feedback - has demonstrated notable performance improvements. However, the existing practice of segregating training and serving processes forces the online trainer to recompute the intermediate results already done during serving. Such redundant computations can account for 30%-42% of total training time. In this paper, we propose Alchemist, to the best of our knowledge, the first online continual learning system that efficiently reuses intermediate results computed during serving to reduce redundant computation with minimal impact on the serving latency or capacity. Alchemist introduces two key techniques: (1) minimal activations recording and saving during serving, where activations are recorded and saved only during the prefill phase to minimize overhead; and (2) offloading of serving activations, which dynamically manages GPU memory by freeing activations in the forward order, while reloading them in the backward order during the backward pass. Evaluations with the ShareGPT dataset show that compared with a separate training cluster, Alchemist significantly increases training throughput by up to 1.72x, reduces up to 47% memory usage during training, and supports up to 2x more training tokens - all while maintaining negligible impact on serving latency.
Abstract:Following the rapid progress in natural language processing (NLP) models, language models are applied to increasingly more complex interactive tasks such as negotiations and conversation moderations. Having human evaluators directly interact with these NLP models is essential for adequately evaluating the performance on such interactive tasks. We develop BotEval, an easily customizable, open-source, evaluation toolkit that focuses on enabling human-bot interactions as part of the evaluation process, as opposed to human evaluators making judgements for a static input. BotEval balances flexibility for customization and user-friendliness by providing templates for common use cases that span various degrees of complexity and built-in compatibility with popular crowdsourcing platforms. We showcase the numerous useful features of BotEval through a study that evaluates the performance of various chatbots on their effectiveness for conversational moderation and discuss how BotEval differs from other annotation tools.
Abstract:Feedback control synthesis for large-scale particle systems is reviewed in the framework of model predictive control (MPC). The high-dimensional character of collective dynamics hampers the performance of traditional MPC algorithms based on fast online dynamic optimization at every time step. Two alternatives to MPC are proposed. First, the use of supervised learning techniques for the offline approximation of optimal feedback laws is discussed. Then, a procedure based on sequential linearization of the dynamics based on macroscopic quantities of the particle ensemble is reviewed. Both approaches circumvent the online solution of optimal control problems enabling fast, real-time, feedback synthesis for large-scale particle systems. Numerical experiments assess the performance of the proposed algorithms.




Abstract:Synthesizing multi-view 3D from one single image is a significant and challenging task. For this goal, Zero-1-to-3 methods aim to extend a 2D latent diffusion model to the 3D scope. These approaches generate the target-view image with a single-view source image and the camera pose as condition information. However, the one-to-one manner adopted in Zero-1-to-3 incurs challenges for building geometric and visual consistency across views, especially for complex objects. We propose a cascade generation framework constructed with two Zero-1-to-3 models, named Cascade-Zero123, to tackle this issue, which progressively extracts 3D information from the source image. Specifically, a self-prompting mechanism is designed to generate several nearby views at first. These views are then fed into the second-stage model along with the source image as generation conditions. With self-prompted multiple views as the supplementary information, our Cascade-Zero123 generates more highly consistent novel-view images than Zero-1-to-3. The promotion is significant for various complex and challenging scenes, involving insects, humans, transparent objects, and stacked multiple objects etc. The project page is at https://cascadezero123.github.io/.




Abstract:Human moderation of online conversation is essential to maintaining civility and focus in a dialogue, but is challenging to scale and harmful to moderators. The inclusion of sophisticated natural language generation modules as a force multiplier aid moderators is a tantalizing prospect, but adequate evaluation approaches have so far been elusive. In this paper, we establish a systematic definition of conversational moderation effectiveness through a multidisciplinary lens that incorporates insights from social science. We then propose a comprehensive evaluation framework that uses this definition to asses models' moderation capabilities independently of human intervention. With our framework, we conduct the first known study of conversational dialogue models as moderators, finding that appropriately prompted models can provide specific and fair feedback on toxic behavior but struggle to influence users to increase their levels of respect and cooperation.




Abstract:As large language models (LLMs) take on more complex tasks, their inputs incorporate longer contexts to respond to questions that require domain knowledge or user-specific conversational histories. Yet, using long contexts poses a challenge for responsive LLM systems, as nothing can be generated until all the contexts are fetched to and processed by the LLM. Existing systems optimize only the computation delay in context processing (e.g., by caching intermediate key-value features of the text context) but often cause longer network delays in context fetching (e.g., key-value features consume orders of magnitude larger bandwidth than the text context). This paper presents CacheGen to minimize the delays in fetching and processing contexts for LLMs. CacheGen reduces the bandwidth needed for transmitting long contexts' key-value (KV) features through a novel encoder that compresses KV features into more compact bitstream representations. The encoder combines adaptive quantization with a tailored arithmetic coder, taking advantage of the KV features' distributional properties, such as locality across tokens. Furthermore, CacheGen minimizes the total delay in fetching and processing a context by using a controller that determines when to load the context as compressed KV features or raw text and picks the appropriate compression level if loaded as KV features. We test CacheGen on three models of various sizes and three datasets of different context lengths. Compared to recent methods that handle long contexts, CacheGen reduces bandwidth usage by 3.7-4.3x and the total delay in fetching and processing contexts by 2.7-3x while maintaining similar LLM performance on various tasks as loading the text contexts.




Abstract:Deep learning inference on streaming media data, such as object detection in video or LiDAR feeds and text extraction from audio waves, is now ubiquitous. To achieve high inference accuracy, these applications typically require significant network bandwidth to gather high-fidelity data and extensive GPU resources to run deep neural networks (DNNs). While the high demand for network bandwidth and GPU resources could be substantially reduced by optimally adapting the configuration knobs, such as video resolution and frame rate, current adaptation techniques fail to meet three requirements simultaneously: adapt configurations (i) with minimum extra GPU or bandwidth overhead; (ii) to reach near-optimal decisions based on how the data affects the final DNN's accuracy, and (iii) do so for a range of configuration knobs. This paper presents OneAdapt, which meets these requirements by leveraging a gradient-ascent strategy to adapt configuration knobs. The key idea is to embrace DNNs' differentiability to quickly estimate the accuracy's gradient to each configuration knob, called AccGrad. Specifically, OneAdapt estimates AccGrad by multiplying two gradients: InputGrad (i.e. how each configuration knob affects the input to the DNN) and DNNGrad (i.e. how the DNN input affects the DNN inference output). We evaluate OneAdapt across five types of configurations, four analytic tasks, and five types of input data. Compared to state-of-the-art adaptation schemes, OneAdapt cuts bandwidth usage and GPU usage by 15-59% while maintaining comparable accuracy or improves accuracy by 1-5% while using equal or fewer resources.




Abstract:Multimodal machine translation (MMT) aims to improve translation quality by incorporating information from other modalities, such as vision. Previous MMT systems mainly focus on better access and use of visual information and tend to validate their methods on image-related datasets. These studies face two challenges. First, they can only utilize triple data (bilingual texts with images), which is scarce; second, current benchmarks are relatively restricted and do not correspond to realistic scenarios. Therefore, this paper correspondingly establishes new methods and new datasets for MMT. First, we propose a framework 2/3-Triplet with two new approaches to enhance MMT by utilizing large-scale non-triple data: monolingual image-text data and parallel text-only data. Second, we construct an English-Chinese {e}-commercial {m}ulti{m}odal {t}ranslation dataset (including training and testing), named EMMT, where its test set is carefully selected as some words are ambiguous and shall be translated mistakenly without the help of images. Experiments show that our method is more suitable for real-world scenarios and can significantly improve translation performance by using more non-triple data. In addition, our model also rivals various SOTA models in conventional multimodal translation benchmarks.




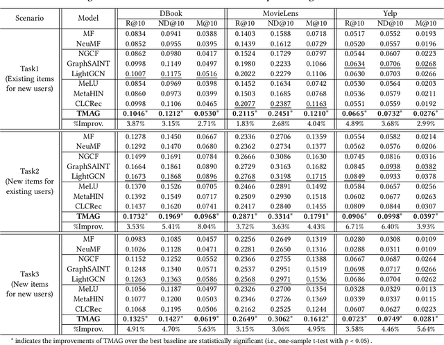
Abstract:The cold-start problem is a long-standing challenge in recommender systems due to the lack of user-item interactions, which significantly hurts the recommendation effect over new users and items. Recently, meta-learning based methods attempt to learn globally shared prior knowledge across all users, which can be rapidly adapted to new users and items with very few interactions. Though with significant performance improvement, the globally shared parameter may lead to local optimum. Besides, they are oblivious to the inherent information and feature interactions existing in the new users and items, which are critical in cold-start scenarios. In this paper, we propose a Task aligned Meta-learning based Augmented Graph (TMAG) to address cold-start recommendation. Specifically, a fine-grained task aligned constructor is proposed to cluster similar users and divide tasks for meta-learning, enabling consistent optimization direction. Besides, an augmented graph neural network with two graph enhanced approaches is designed to alleviate data sparsity and capture the high-order user-item interactions. We validate our approach on three real-world datasets in various cold-start scenarios, showing the superiority of TMAG over state-of-the-art methods for cold-start recommendation.