Abstract:Depression is a widespread mental disorder that affects millions worldwide. While automated depression assessment shows promise, most studies rely on limited or non-clinically validated data, and often prioritize complex model design over real-world effectiveness. In this paper, we aim to unveil the landscape of clinical depression assessment. We introduce C-MIND, a clinical neuropsychiatric multimodal diagnosis dataset collected over two years from real hospital visits. Each participant completes three structured psychiatric tasks and receives a final diagnosis from expert clinicians, with informative audio, video, transcript, and functional near-infrared spectroscopy (fNIRS) signals recorded. Using C-MIND, we first analyze behavioral signatures relevant to diagnosis. We train a range of classical models to quantify how different tasks and modalities contribute to diagnostic performance, and dissect the effectiveness of their combinations. We then explore whether LLMs can perform psychiatric reasoning like clinicians and identify their clear limitations in realistic clinical settings. In response, we propose to guide the reasoning process with clinical expertise and consistently improves LLM diagnostic performance by up to 10% in Macro-F1 score. We aim to build an infrastructure for clinical depression assessment from both data and algorithmic perspectives, enabling C-MIND to facilitate grounded and reliable research for mental healthcare.
Abstract:Vision-language models (VLMs) are prone to hallucinations that critically compromise reliability in medical applications. While preference optimization can mitigate these hallucinations through clinical feedback, its implementation faces challenges such as clinically irrelevant training samples, imbalanced data distributions, and prohibitive expert annotation costs. To address these challenges, we introduce CheXPO, a Chest X-ray Preference Optimization strategy that combines confidence-similarity joint mining with counterfactual rationale. Our approach begins by synthesizing a unified, fine-grained multi-task chest X-ray visual instruction dataset across different question types for supervised fine-tuning (SFT). We then identify hard examples through token-level confidence analysis of SFT failures and use similarity-based retrieval to expand hard examples for balancing preference sample distributions, while synthetic counterfactual rationales provide fine-grained clinical preferences, eliminating the need for additional expert input. Experiments show that CheXPO achieves 8.93% relative performance gain using only 5% of SFT samples, reaching state-of-the-art performance across diverse clinical tasks and providing a scalable, interpretable solution for real-world radiology applications.
Abstract:This paper presents the NTIRE 2025 image super-resolution ($\times$4) challenge, one of the associated competitions of the 10th NTIRE Workshop at CVPR 2025. The challenge aims to recover high-resolution (HR) images from low-resolution (LR) counterparts generated through bicubic downsampling with a $\times$4 scaling factor. The objective is to develop effective network designs or solutions that achieve state-of-the-art SR performance. To reflect the dual objectives of image SR research, the challenge includes two sub-tracks: (1) a restoration track, emphasizes pixel-wise accuracy and ranks submissions based on PSNR; (2) a perceptual track, focuses on visual realism and ranks results by a perceptual score. A total of 286 participants registered for the competition, with 25 teams submitting valid entries. This report summarizes the challenge design, datasets, evaluation protocol, the main results, and methods of each team. The challenge serves as a benchmark to advance the state of the art and foster progress in image SR.




Abstract:We propose LightLLM, a model that fine tunes pre-trained large language models (LLMs) for light-based sensing tasks. It integrates a sensor data encoder to extract key features, a contextual prompt to provide environmental information, and a fusion layer to combine these inputs into a unified representation. This combined input is then processed by the pre-trained LLM, which remains frozen while being fine-tuned through the addition of lightweight, trainable components, allowing the model to adapt to new tasks without altering its original parameters. This approach enables flexible adaptation of LLM to specialized light sensing tasks with minimal computational overhead and retraining effort. We have implemented LightLLM for three light sensing tasks: light-based localization, outdoor solar forecasting, and indoor solar estimation. Using real-world experimental datasets, we demonstrate that LightLLM significantly outperforms state-of-the-art methods, achieving 4.4x improvement in localization accuracy and 3.4x improvement in indoor solar estimation when tested in previously unseen environments. We further demonstrate that LightLLM outperforms ChatGPT-4 with direct prompting, highlighting the advantages of LightLLM's specialized architecture for sensor data fusion with textual prompts.




Abstract:Post-training quantization (PTQ) for vision transformers (ViTs) has garnered significant attention due to its efficiency in compressing models. However, existing methods typically overlook the intricate interdependence between quantized weight and activation, leading to considerable quantization error. In this paper, we propose ERQ, a two-step PTQ approach meticulously crafted to sequentially reduce the quantization error arising from activation and weight quantization. ERQ first introduces Activation quantization error reduction (Aqer) that strategically formulates the minimization of activation quantization error as a Ridge Regression problem, tackling it by updating weights with full-precision. Subsequently, ERQ introduces Weight quantization error reduction (Wqer) that adopts an iterative approach to mitigate the quantization error induced by weight quantization. In each iteration, an empirically derived, efficient proxy is employed to refine the rounding directions of quantized weights, coupled with a Ridge Regression solver to curtail weight quantization error. Experimental results attest to the effectiveness of our approach. Notably, ERQ surpasses the state-of-the-art GPTQ by 22.36% in accuracy for W3A4 ViT-S.
Abstract:Multiple robot systems are favored for object manipulation and transportation, especially for large objects. However, in more complex manipulation such as flipping, these systems encounter a new challenge, configuration disconnectivity of manipulators. Grasping objects by manipulators will impose closed-chain constraints on the system, which in turn limits the feasible motions of manipulators and further compromises the configuration connectivity. Multiple mobile manipulator systems show much more flexibility in object manipulation with the mobility of the mobile platform and have the potential to address the above problem. In this paper, a novel planning framework is proposed for complex flipping manipulation by incorporating platform motions and regrasping. Firstly, two types of trajectories, mobile manipulator planning and regrasping planning, are classified and can be assigned different priorities for different tasks. Secondly, corresponding planning methods are designed for each type of trajectory. Specifically, in mobile manipulator planning, the configuration of the platform is determined through optimization to ensure connectivity when the manipulator approaches configuration boundaries. In regrasping planning, closed-chain constraints are temporarily disregarded and the manipulation capabilities are prioritized to facilitate subsequent planning. Finally, the structure of the overall planning framework is provided. Experimental results demonstrate that the proposed planner efficiently plans the motions of the system to accomplish flipping manipulation. Additionally, a comprehensive experiment emphasizes the significance of our planner in extending the capabilities of multiple mobile manipulator systems in complex tasks.




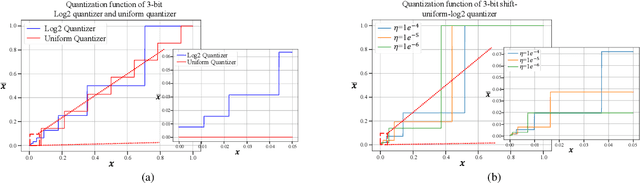
Abstract:Albeit the scalable performance of vision transformers (ViTs), the dense computational costs (training & inference) undermine their position in industrial applications. Post-training quantization (PTQ), tuning ViTs with a tiny dataset and running in a low-bit format, well addresses the cost issue but unluckily bears more performance drops in lower-bit cases. In this paper, we introduce I&S-ViT, a novel method that regulates the PTQ of ViTs in an inclusive and stable fashion. I&S-ViT first identifies two issues in the PTQ of ViTs: (1) Quantization inefficiency in the prevalent log2 quantizer for post-Softmax activations; (2) Rugged and magnified loss landscape in coarse-grained quantization granularity for post-LayerNorm activations. Then, I&S-ViT addresses these issues by introducing: (1) A novel shift-uniform-log2 quantizer (SULQ) that incorporates a shift mechanism followed by uniform quantization to achieve both an inclusive domain representation and accurate distribution approximation; (2) A three-stage smooth optimization strategy (SOS) that amalgamates the strengths of channel-wise and layer-wise quantization to enable stable learning. Comprehensive evaluations across diverse vision tasks validate I&S-ViT' superiority over existing PTQ of ViTs methods, particularly in low-bit scenarios. For instance, I&S-ViT elevates the performance of 3-bit ViT-B by an impressive 50.68%.




Abstract:We present object handling and transport by a multi-robot team with a deformable sheet as a carrier. Due to the deformability of the sheet and the high dimension of the whole system, it is challenging to clearly describe all the possible positions of the object on the sheet for a given formation of the multi-robot system. A complete forward kinematics (FK) method is proposed in this paper for object handling by an $N$-mobile robot team with a deformable sheet. Based on the virtual variable cables model, a constrained quadratic problem (CQP) is formulated by combining the form closure and minimum potential energy conditions of the system. Analytical solutions to the CQP are presented and then further verified with the force closure condition. With the proposed FK method, all possible solutions are obtained with the given initial sheet shape and the robot team formation. We demonstrate the effectiveness, completeness, and efficiency of the FK method with simulation and experimental results.




Abstract:Planning coverage path for multiple robots in a decentralized way enhances robustness to coverage tasks handling uncertain malfunctions. To achieve high efficiency in a distributed manner for each single robot, a comprehensive understanding of both the complicated environments and cooperative agents intent is crucial. Unfortunately, existing works commonly consider only part of these factors, resulting in imbalanced subareas or unnecessary overlaps. To tackle this issue, we introduce a Decentralized reinforcement learning framework with dual guidance to train each agent to solve the decentralized multiple coverage path planning problem straightly through the environment states. As distributed robots require others intentions to perform better coverage efficiency, we utilize two guidance methods, artificial potential fields and heuristic guidance, to include and integrate others intentions into observations for each robot. With our constructed framework, results have shown our agents successfully learn to determine their own subareas while achieving full coverage, balanced subareas and low overlap rates. We then implement spanning tree cover within those subareas to construct actual routes for each robot and complete given coverage tasks. Our performance is also compared with the state of the art decentralized method showing at most 10 percent lower overlap rates while performing high efficiency in similar environments.




Abstract:Multi-mobile robot systems show great advantages over one single robot in many applications. However, the robots are required to form desired task-specified formations, making feasible motions decrease significantly. Thus, it is challenging to determine whether the robots can pass through an obstructed environment under formation constraints, especially in an obstacle-rich environment. Furthermore, is there an optimal path for the robots? To deal with the two problems, a novel graphbased motion planner is proposed in this paper. A mapping between workspace and configuration space of multi-mobile robot systems is first built, where valid configurations can be acquired to satisfy both formation constraints and collision avoidance. Then, an undirected graph is generated by verifying connectivity between valid configurations. The breadth-first search method is employed to answer the question of whether there is a feasible path on the graph. Finally, an optimal path will be planned on the updated graph, considering the cost of path length and formation preference. Simulation results show that the planner can be applied to get optimal motions of robots under formation constraints in obstacle-rich environments. Additionally, different constraints are considered.