Abstract:Data selection is a critical aspect of Reinforcement Learning with Verifiable Rewards (RLVR) for enhancing the reasoning capabilities of large language models (LLMs). Current data selection methods are largely heuristic-based, lacking theoretical guarantees and generalizability. This work proposes a theoretically-grounded approach using influence functions to estimate the contribution of each data point to the learning objective. To overcome the prohibitive computational cost of policy rollouts required for online influence estimation, we introduce an off-policy influence estimation method that efficiently approximates data influence using pre-collected offline trajectories. Furthermore, to manage the high-dimensional gradients of LLMs, we employ sparse random projection to reduce dimensionality and improve storage and computation efficiency. Leveraging these techniques, we develop \textbf{C}urriculum \textbf{R}L with \textbf{O}ff-\textbf{P}olicy \text{I}nfluence guidance (\textbf{CROPI}), a multi-stage RL framework that iteratively selects the most influential data for the current policy. Experiments on models up to 7B parameters demonstrate that CROPI significantly accelerates training. On a 1.5B model, it achieves a 2.66x step-level acceleration while using only 10\% of the data per stage compared to full-dataset training. Our results highlight the substantial potential of influence-based data selection for efficient RLVR.
Abstract:We present GLM-4.5, an open-source Mixture-of-Experts (MoE) large language model with 355B total parameters and 32B activated parameters, featuring a hybrid reasoning method that supports both thinking and direct response modes. Through multi-stage training on 23T tokens and comprehensive post-training with expert model iteration and reinforcement learning, GLM-4.5 achieves strong performance across agentic, reasoning, and coding (ARC) tasks, scoring 70.1% on TAU-Bench, 91.0% on AIME 24, and 64.2% on SWE-bench Verified. With much fewer parameters than several competitors, GLM-4.5 ranks 3rd overall among all evaluated models and 2nd on agentic benchmarks. We release both GLM-4.5 (355B parameters) and a compact version, GLM-4.5-Air (106B parameters), to advance research in reasoning and agentic AI systems. Code, models, and more information are available at https://github.com/zai-org/GLM-4.5.




Abstract:We present GLM-4.1V-Thinking, a vision-language model (VLM) designed to advance general-purpose multimodal understanding and reasoning. In this report, we share our key findings in the development of the reasoning-centric training framework. We first develop a capable vision foundation model with significant potential through large-scale pre-training, which arguably sets the upper bound for the final performance. We then propose Reinforcement Learning with Curriculum Sampling (RLCS) to unlock the full potential of the model, leading to comprehensive capability enhancement across a diverse range of tasks, including STEM problem solving, video understanding, content recognition, coding, grounding, GUI-based agents, and long document understanding. We open-source GLM-4.1V-9B-Thinking, which achieves state-of-the-art performance among models of comparable size. In a comprehensive evaluation across 28 public benchmarks, our model outperforms Qwen2.5-VL-7B on nearly all tasks and achieves comparable or even superior performance on 18 benchmarks relative to the significantly larger Qwen2.5-VL-72B. Notably, GLM-4.1V-9B-Thinking also demonstrates competitive or superior performance compared to closed-source models such as GPT-4o on challenging tasks including long document understanding and STEM reasoning, further underscoring its strong capabilities. Code, models and more information are released at https://github.com/THUDM/GLM-4.1V-Thinking.




Abstract:This study explores the scaling properties of Reinforcement Learning from Human Feedback (RLHF) in Large Language Models (LLMs). Although RLHF is considered an important step in post-training of LLMs, its scaling potential is still largely unknown. We systematically analyze key components in the RLHF framework--model size, data composition, and inference budget--and their impacts on performance. Our findings show that increasing data diversity and volume improves reward model performance, helping process-supervision models scale better. For policy training, more response samples per prompt boost performance initially but quickly plateau. And larger reward models offer modest gains in policy training. In addition, larger policy models benefit less from RLHF with a fixed reward model. Overall, RLHF scales less efficiently than pretraining, with diminishing returns from additional computational resources. Based on these observations, we propose strategies to optimize RLHF performance within computational limits.
Abstract:Though significant advancements have been achieved in developing long-context large language models (LLMs), the compromised quality of LLM-synthesized data for supervised fine-tuning (SFT) often affects the long-context performance of SFT models and leads to inherent limitations. In principle, reinforcement learning (RL) with appropriate reward signals can further enhance models' capacities. However, how to obtain reliable rewards in long-context scenarios remains unexplored. To this end, we propose LongReward, a novel method that utilizes an off-the-shelf LLM to provide rewards for long-context model responses from four human-valued dimensions: helpfulness, logicality, faithfulness, and completeness, each with a carefully designed assessment pipeline. By combining LongReward and offline RL algorithm DPO, we are able to effectively improve long-context SFT models. Our experiments indicate that LongReward not only significantly improves models' long-context performance but also enhances their ability to follow short instructions. We also find that long-context DPO with LongReward and conventional short-context DPO can be used together without hurting either one's performance.




Abstract:We introduce ChatGLM, an evolving family of large language models that we have been developing over time. This report primarily focuses on the GLM-4 language series, which includes GLM-4, GLM-4-Air, and GLM-4-9B. They represent our most capable models that are trained with all the insights and lessons gained from the preceding three generations of ChatGLM. To date, the GLM-4 models are pre-trained on ten trillions of tokens mostly in Chinese and English, along with a small set of corpus from 24 languages, and aligned primarily for Chinese and English usage. The high-quality alignment is achieved via a multi-stage post-training process, which involves supervised fine-tuning and learning from human feedback. Evaluations show that GLM-4 1) closely rivals or outperforms GPT-4 in terms of general metrics such as MMLU, GSM8K, MATH, BBH, GPQA, and HumanEval, 2) gets close to GPT-4-Turbo in instruction following as measured by IFEval, 3) matches GPT-4 Turbo (128K) and Claude 3 for long context tasks, and 4) outperforms GPT-4 in Chinese alignments as measured by AlignBench. The GLM-4 All Tools model is further aligned to understand user intent and autonomously decide when and which tool(s) touse -- including web browser, Python interpreter, text-to-image model, and user-defined functions -- to effectively complete complex tasks. In practical applications, it matches and even surpasses GPT-4 All Tools in tasks like accessing online information via web browsing and solving math problems using Python interpreter. Over the course, we have open-sourced a series of models, including ChatGLM-6B (three generations), GLM-4-9B (128K, 1M), GLM-4V-9B, WebGLM, and CodeGeeX, attracting over 10 million downloads on Hugging face in the year 2023 alone. The open models can be accessed through https://github.com/THUDM and https://huggingface.co/THUDM.




Abstract:ChatGLM is a free-to-use AI service powered by the ChatGLM family of large language models (LLMs). In this paper, we present the ChatGLM-RLHF pipeline -- a reinforcement learning from human feedback (RLHF) system -- designed to enhance ChatGLM's alignment with human preferences. ChatGLM-RLHF encompasses three major components: the collection of human preference data, the training of the reward model, and the optimization of policies. Throughout the process of integrating ChatGLM-RLHF into production, we encountered and addressed several unprecedented challenges. We introduce the strategies to mitigate reward variance for stabilized large-scale training, implement model parallelism with fused gradient-descent, and design regularization constraints to avoid catastrophic forgetting in LLMs. Experiments show that ChatGLM-RLHF brings significant improvements in alignment tasks compared to the supervised fine-tuned (SFT) version of ChatGLM. For instance, it achieves on average 15\% more wins against ChatGLM-SFT in Chinese alignment tasks. The work presents our practices of aligning LLMs with human preferences, offering insights into the challenges and solutions in RLHF implementations.




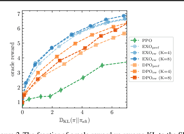
Abstract:The alignment of language models with human preferences is vital for their application in real-world tasks. The problem is formulated as optimizing the model's policy to maximize the expected reward that reflects human preferences with minimal deviation from the initial policy. While considered as a straightforward solution, reinforcement learning (RL) suffers from high variance in policy updates, which impedes efficient policy improvement. Recently, direct preference optimization (DPO) was proposed to directly optimize the policy from preference data. Though simple to implement, DPO is derived based on the optimal policy that is not assured to be achieved in practice, which undermines its convergence to the intended solution. In this paper, we propose efficient exact optimization (EXO) of the alignment objective. We prove that EXO is guaranteed to optimize in the same direction as the RL algorithms asymptotically for arbitary parametrization of the policy, while enables efficient optimization by circumventing the complexities associated with RL algorithms. We compare our method to DPO with both theoretical and empirical analyses, and further demonstrate the advantages of our method over existing approaches on realistic human preference data.




Abstract:Unsupervised commonsense question answering is appealing since it does not rely on any labeled task data. Among existing work, a popular solution is to use pre-trained language models to score candidate choices directly conditioned on the question or context. However, such scores from language models can be easily affected by irrelevant factors, such as word frequencies, sentence structures, etc. These distracting factors may not only mislead the model to choose a wrong answer but also make it oversensitive to lexical perturbations in candidate answers. In this paper, we present a novel SEmantic-based Question Answering method (SEQA) for unsupervised commonsense question answering. Instead of directly scoring each answer choice, our method first generates a set of plausible answers with generative models (e.g., GPT-2), and then uses these plausible answers to select the correct choice by considering the semantic similarity between each plausible answer and each choice. We devise a simple, yet sound formalism for this idea and verify its effectiveness and robustness with extensive experiments. We evaluate the proposed method on four benchmark datasets, and our method achieves the best results in unsupervised settings. Moreover, when attacked by TextFooler with synonym replacement, SEQA demonstrates much less performance drops than baselines, thereby indicating stronger robustness.




Abstract:Pre-trained Language Models (PLMs) have achieved great success on Machine Reading Comprehension (MRC) over the past few years. Although the general language representation learned from large-scale corpora does benefit MRC, the poor support in evidence extraction which requires reasoning across multiple sentences hinders PLMs from further advancing MRC. To bridge the gap between general PLMs and MRC, we present REPT, a REtrieval-based Pre-Training approach. In particular, we introduce two self-supervised tasks to strengthen evidence extraction during pre-training, which is further inherited by downstream MRC tasks through the consistent retrieval operation and model architecture. To evaluate our proposed method, we conduct extensive experiments on five MRC datasets that require collecting evidence from and reasoning across multiple sentences. Experimental results demonstrate the effectiveness of our pre-training approach. Moreover, further analysis shows that our approach is able to enhance the capacity of evidence extraction without explicit supervision.