



Abstract:Diffusion models have recently advanced video restoration, but applying them to real-world video super-resolution (VSR) remains challenging due to high latency, prohibitive computation, and poor generalization to ultra-high resolutions. Our goal in this work is to make diffusion-based VSR practical by achieving efficiency, scalability, and real-time performance. To this end, we propose FlashVSR, the first diffusion-based one-step streaming framework towards real-time VSR. FlashVSR runs at approximately 17 FPS for 768x1408 videos on a single A100 GPU by combining three complementary innovations: (i) a train-friendly three-stage distillation pipeline that enables streaming super-resolution, (ii) locality-constrained sparse attention that cuts redundant computation while bridging the train-test resolution gap, and (iii) a tiny conditional decoder that accelerates reconstruction without sacrificing quality. To support large-scale training, we also construct VSR-120K, a new dataset with 120k videos and 180k images. Extensive experiments show that FlashVSR scales reliably to ultra-high resolutions and achieves state-of-the-art performance with up to 12x speedup over prior one-step diffusion VSR models. We will release the code, pretrained models, and dataset to foster future research in efficient diffusion-based VSR.




Abstract:We present RubikSQL, a novel NL2SQL system designed to address key challenges in real-world enterprise-level NL2SQL, such as implicit intents and domain-specific terminology. RubikSQL frames NL2SQL as a lifelong learning task, demanding both Knowledge Base (KB) maintenance and SQL generation. RubikSQL systematically builds and refines its KB through techniques including database profiling, structured information extraction, agentic rule mining, and Chain-of-Thought (CoT)-enhanced SQL profiling. RubikSQL then employs a multi-agent workflow to leverage this curated KB, generating accurate SQLs. RubikSQL achieves SOTA performance on both the KaggleDBQA and BIRD Mini-Dev datasets. Finally, we release the RubikBench benchmark, a new benchmark specifically designed to capture vital traits of industrial NL2SQL scenarios, providing a valuable resource for future research.
Abstract:Video editing using diffusion models has achieved remarkable results in generating high-quality edits for videos. However, current methods often rely on large-scale pretraining, limiting flexibility for specific edits. First-frame-guided editing provides control over the first frame, but lacks flexibility over subsequent frames. To address this, we propose a mask-based LoRA (Low-Rank Adaptation) tuning method that adapts pretrained Image-to-Video (I2V) models for flexible video editing. Our approach preserves background regions while enabling controllable edits propagation. This solution offers efficient and adaptable video editing without altering the model architecture. To better steer this process, we incorporate additional references, such as alternate viewpoints or representative scene states, which serve as visual anchors for how content should unfold. We address the control challenge using a mask-driven LoRA tuning strategy that adapts a pre-trained image-to-video model to the editing context. The model must learn from two distinct sources: the input video provides spatial structure and motion cues, while reference images offer appearance guidance. A spatial mask enables region-specific learning by dynamically modulating what the model attends to, ensuring that each area draws from the appropriate source. Experimental results show our method achieves superior video editing performance compared to state-of-the-art methods.

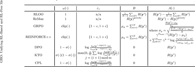
Abstract:In this article, we primarily examine a variety of RL-based and RL-free methods designed to address Reinforcement Learning from Human Feedback (RLHF) and Large Reasoning Models (LRMs). We begin with a concise overview of the typical steps involved in RLHF and LRMs. Next, we reinterpret several RL-based and RL-free algorithms through the perspective of neural structured bandit prediction, providing a clear conceptual framework that uncovers a deeper connection between these seemingly distinct approaches. Following this, we briefly review some core principles of reinforcement learning, drawing attention to an often-overlooked aspect in existing RLHF studies. This leads to a detailed derivation of the standard RLHF objective within a full RL context, demonstrating its equivalence to neural structured bandit prediction. Finally, by reinvestigating the principles behind Proximal Policy Optimization (PPO), we pinpoint areas needing adjustment, which culminates in the introduction of the Generalized Reinforce Optimization (GRO) framework, seamlessly integrating RL-based and RL-free methods in RLHF. We look forward to the community's efforts to empirically validate GRO and invite constructive feedback.




Abstract:With the rapid advancement of Multi-modal Large Language Models (MLLMs), MLLM-based Image Quality Assessment (IQA) methods have shown promising performance in linguistic quality description. However, current methods still fall short in accurately scoring image quality. In this work, we aim to leverage MLLMs to regress accurate quality scores. A key challenge is that the quality score is inherently continuous, typically modeled as a Gaussian distribution, whereas MLLMs generate discrete token outputs. This mismatch necessitates score discretization. Previous approaches discretize the mean score into a one-hot label, resulting in information loss and failing to capture inter-image relationships. We propose a distribution-based approach that discretizes the score distribution into a soft label. This method preserves the characteristics of the score distribution, achieving high accuracy and maintaining inter-image relationships. Moreover, to address dataset variation, where different IQA datasets exhibit various distributions, we introduce a fidelity loss based on Thurstone's model. This loss captures intra-dataset relationships, facilitating co-training across multiple IQA datasets. With these designs, we develop the distribution-based Depicted image Quality Assessment model for Score regression (DeQA-Score). Experiments across multiple benchmarks show that DeQA-Score stably outperforms baselines in score regression. Also, DeQA-Score can predict the score distribution that closely aligns with human annotations. Codes and model weights have been released in https://depictqa.github.io/deqa-score/.




Abstract:Capturing high dynamic range (HDR) scenes is one of the most important issues in camera design. Majority of cameras use exposure fusion technique, which fuses images captured by different exposure levels, to increase dynamic range. However, this approach can only handle images with limited exposure difference, normally 3-4 stops. When applying to very high dynamic scenes where a large exposure difference is required, this approach often fails due to incorrect alignment or inconsistent lighting between inputs, or tone mapping artifacts. In this work, we propose UltraFusion, the first exposure fusion technique that can merge input with 9 stops differences. The key idea is that we model the exposure fusion as a guided inpainting problem, where the under-exposed image is used as a guidance to fill the missing information of over-exposed highlight in the over-exposed region. Using under-exposed image as a soft guidance, instead of a hard constrain, our model is robust to potential alignment issue or lighting variations. Moreover, utilizing the image prior of the generative model, our model also generates natural tone mapping, even for very high-dynamic range scene. Our approach outperforms HDR-Transformer on latest HDR benchmarks. Moreover, to test its performance in ultra high dynamic range scene, we capture a new real-world exposure fusion benchmark, UltraFusion Dataset, with exposure difference up to 9 stops, and experiments show that \model~can generate beautiful and high-quality fusion results under various scenarios. An online demo is provided at https://openimaginglab.github.io/UltraFusion/.
Abstract:Modern 3D generation methods can rapidly create shapes from sparse or single views, but their outputs often lack geometric detail due to computational constraints. We present DetailGen3D, a generative approach specifically designed to enhance these generated 3D shapes. Our key insight is to model the coarse-to-fine transformation directly through data-dependent flows in latent space, avoiding the computational overhead of large-scale 3D generative models. We introduce a token matching strategy that ensures accurate spatial correspondence during refinement, enabling local detail synthesis while preserving global structure. By carefully designing our training data to match the characteristics of synthesized coarse shapes, our method can effectively enhance shapes produced by various 3D generation and reconstruction approaches, from single-view to sparse multi-view inputs. Extensive experiments demonstrate that DetailGen3D achieves high-fidelity geometric detail synthesis while maintaining efficiency in training.




Abstract:Lensless cameras offer significant advantages in size, weight, and cost compared to traditional lens-based systems. Without a focusing lens, lensless cameras rely on computational algorithms to recover the scenes from multiplexed measurements. However, current algorithms struggle with inaccurate forward imaging models and insufficient priors to reconstruct high-quality images. To overcome these limitations, we introduce a novel two-stage approach for consistent and photorealistic lensless image reconstruction. The first stage of our approach ensures data consistency by focusing on accurately reconstructing the low-frequency content with a spatially varying deconvolution method that adjusts to changes in the Point Spread Function (PSF) across the camera's field of view. The second stage enhances photorealism by incorporating a generative prior from pre-trained diffusion models. By conditioning on the low-frequency content retrieved in the first stage, the diffusion model effectively reconstructs the high-frequency details that are typically lost in the lensless imaging process, while also maintaining image fidelity. Our method achieves a superior balance between data fidelity and visual quality compared to existing methods, as demonstrated with two popular lensless systems, PhlatCam and DiffuserCam. Project website: https://phocolens.github.io/.




Abstract:Lensless cameras, innovatively replacing traditional lenses for ultra-thin, flat optics, encode light directly onto sensors, producing images that are not immediately recognizable. This compact, lightweight, and cost-effective imaging solution offers inherent privacy advantages, making it attractive for privacy-sensitive applications like face verification. Typical lensless face verification adopts a two-stage process of reconstruction followed by verification, incurring privacy risks from reconstructed faces and high computational costs. This paper presents an end-to-end optimization approach for privacy-preserving face verification directly on encoded lensless captures, ensuring that the entire software pipeline remains encoded with no visible faces as intermediate results. To achieve this, we propose several techniques to address unique challenges from the lensless setup which precludes traditional face detection and alignment. Specifically, we propose a face center alignment scheme, an augmentation curriculum to build robustness against variations, and a knowledge distillation method to smooth optimization and enhance performance. Evaluations under both simulation and real environment demonstrate our method outperforms two-stage lensless verification while enhancing privacy and efficiency. Project website: \url{lenslessface.github.io}.




Abstract:With the rapid advancement of Vision Language Models (VLMs), VLM-based Image Quality Assessment (IQA) seeks to describe image quality linguistically to align with human expression and capture the multifaceted nature of IQA tasks. However, current methods are still far from practical usage. First, prior works focus narrowly on specific sub-tasks or settings, which do not align with diverse real-world applications. Second, their performance is sub-optimal due to limitations in dataset coverage, scale, and quality. To overcome these challenges, we introduce Depicted image Quality Assessment in the Wild (DepictQA-Wild). Our method includes a multi-functional IQA task paradigm that encompasses both assessment and comparison tasks, brief and detailed responses, full-reference and non-reference scenarios. We introduce a ground-truth-informed dataset construction approach to enhance data quality, and scale up the dataset to 495K under the brief-detail joint framework. Consequently, we construct a comprehensive, large-scale, and high-quality dataset, named DQ-495K. We also retain image resolution during training to better handle resolution-related quality issues, and estimate a confidence score that is helpful to filter out low-quality responses. Experimental results demonstrate that DepictQA-Wild significantly outperforms traditional score-based methods, prior VLM-based IQA models, and proprietary GPT-4V in distortion identification, instant rating, and reasoning tasks. Our advantages are further confirmed by real-world applications including assessing the web-downloaded images and ranking model-processed images. Datasets and codes will be released in https://depictqa.github.io/depictqa-wild/.