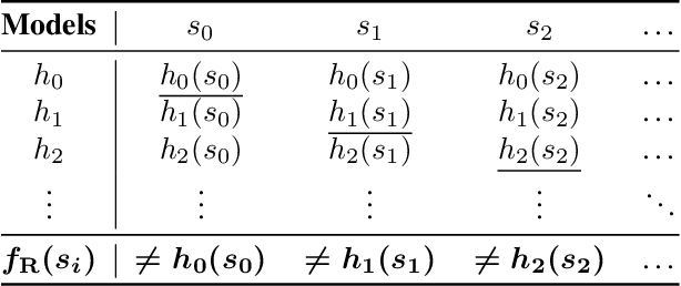
Abstract:Anomalous Sound Detection (ASD) is often formulated as a machine attribute classification task, a strategy necessitated by the common scenario where only normal data is available for training. However, the exhaustive collection of machine attribute labels is laborious and impractical. To address the challenge of missing attribute labels, this paper proposes an agglomerative hierarchical clustering method for the assignment of pseudo-attribute labels using representations derived from a domain-adaptive pre-trained model, which are expected to capture machine attribute characteristics. We then apply model adaptation to this pre-trained model through supervised fine-tuning for machine attribute classification, resulting in a new state-of-the-art performance. Evaluation on the Detection and Classification of Acoustic Scenes and Events (DCASE) 2025 Challenge dataset demonstrates that our proposed approach yields significant performance gains, ultimately outperforming our previous top-ranking system in the challenge.
Abstract:The illusion phenomenon of large language models (LLMs) is the core obstacle to their reliable deployment. This article formalizes the large language model as a probabilistic Turing machine by constructing a "computational necessity hierarchy", and for the first time proves the illusions are inevitable on diagonalization, incomputability, and information theory boundaries supported by the new "learner pump lemma". However, we propose two "escape routes": one is to model Retrieval Enhanced Generations (RAGs) as oracle machines, proving their absolute escape through "computational jumps", providing the first formal theory for the effectiveness of RAGs; The second is to formalize continuous learning as an "internalized oracle" mechanism and implement this path through a novel neural game theory framework.Finally, this article proposes a
Abstract:Recent works have correlated Masked Image Modeling (MIM) with consistency regularization in Unsupervised Domain Adaptation (UDA). However, they merely treat masking as a special form of deformation on the input images and neglect the theoretical analysis, which leads to a superficial understanding of masked reconstruction and insufficient exploitation of its potential in enhancing feature extraction and representation learning. In this paper, we reframe masked reconstruction as a sparse signal reconstruction problem and theoretically prove that the dual form of complementary masks possesses superior capabilities in extracting domain-agnostic image features. Based on this compelling insight, we propose MaskTwins, a simple yet effective UDA framework that integrates masked reconstruction directly into the main training pipeline. MaskTwins uncovers intrinsic structural patterns that persist across disparate domains by enforcing consistency between predictions of images masked in complementary ways, enabling domain generalization in an end-to-end manner. Extensive experiments verify the superiority of MaskTwins over baseline methods in natural and biological image segmentation. These results demonstrate the significant advantages of MaskTwins in extracting domain-invariant features without the need for separate pre-training, offering a new paradigm for domain-adaptive segmentation.
Abstract:Recent advances in Multimodal Large Language Models (MLLMs) have achieved remarkable progress in general domains and demonstrated promise in multimodal mathematical reasoning. However, applying MLLMs to geometry problem solving (GPS) remains challenging due to lack of accurate step-by-step solution data and severe hallucinations during reasoning. In this paper, we propose GeoGen, a pipeline that can automatically generates step-wise reasoning paths for geometry diagrams. By leveraging the precise symbolic reasoning, \textbf{GeoGen} produces large-scale, high-quality question-answer pairs. To further enhance the logical reasoning ability of MLLMs, we train \textbf{GeoLogic}, a Large Language Model (LLM) using synthetic data generated by GeoGen. Serving as a bridge between natural language and symbolic systems, GeoLogic enables symbolic tools to help verifying MLLM outputs, making the reasoning process more rigorous and alleviating hallucinations. Experimental results show that our approach consistently improves the performance of MLLMs, achieving remarkable results on benchmarks for geometric reasoning tasks. This improvement stems from our integration of the strengths of LLMs and symbolic systems, which enables a more reliable and interpretable approach for the GPS task. Codes are available at https://github.com/ycpNotFound/GeoGen.
Abstract:Audio-visual representation learning is crucial for advancing multimodal speech processing tasks, such as lipreading and audio-visual speech recognition. Recently, speech foundation models (SFMs) have shown remarkable generalization capabilities across various speech-related tasks. Building on this progress, we propose an audio-visual representation learning model that leverages cross-modal knowledge distillation from SFMs. In our method, SFMs serve as teachers, from which multi-layer hidden representations are extracted using clean audio inputs. We also introduce a multi-teacher ensemble method to distill the student, which receives audio-visual data as inputs. A novel representational knowledge distillation loss is employed to train the student during pretraining, which is also applied during finetuning to further enhance the performance on downstream tasks. Our experiments utilized both a self-supervised SFM, WavLM, and a supervised SFM, iFLYTEK-speech. The results demonstrated that our proposed method achieved superior or at least comparable performance to previous state-of-the-art baselines across automatic speech recognition, visual speech recognition, and audio-visual speech recognition tasks. Additionally, comprehensive ablation studies and the visualization of learned representations were conducted to evaluate the effectiveness of our proposed method.




Abstract:Previous work on long-form audio generation using global-view diffusion or iterative generation demands significant training or inference costs. While recent advancements in multi-view joint diffusion for panoramic generation provide an efficient option, they struggle with spectrum generation with severe overlap distortions and high cross-view consistency costs. We initially explore this phenomenon through the connectivity inheritance of latent maps and uncover that averaging operations excessively smooth the high-frequency components of the latent map. To address these issues, we propose Swap Forward (SaFa), a frame-level latent swap framework that synchronizes multiple diffusions to produce a globally coherent long audio with more spectrum details in a forward-only manner. At its core, the bidirectional Self-Loop Latent Swap is applied between adjacent views, leveraging stepwise diffusion trajectory to adaptively enhance high-frequency components without disrupting low-frequency components. Furthermore, to ensure cross-view consistency, the unidirectional Reference-Guided Latent Swap is applied between the reference and the non-overlap regions of each subview during the early stages, providing centralized trajectory guidance. Quantitative and qualitative experiments demonstrate that SaFa significantly outperforms existing joint diffusion methods and even training-based long audio generation models. Moreover, we find that it also adapts well to panoramic generation, achieving comparable state-of-the-art performance with greater efficiency and model generalizability. Project page is available at https://swapforward.github.io/.




Abstract:Contextual-LAS (CLAS) has been shown effective in improving Automatic Speech Recognition (ASR) of rare words. It relies on phrase-level contextual modeling and attention-based relevance scoring without explicit contextual constraint which lead to insufficient use of contextual information. In this work, we propose deep CLAS to use contextual information better. We introduce bias loss forcing model to focus on contextual information. The query of bias attention is also enriched to improve the accuracy of the bias attention score. To get fine-grained contextual information, we replace phrase-level encoding with character-level encoding and encode contextual information with conformer rather than LSTM. Moreover, we directly use the bias attention score to correct the output probability distribution of the model. Experiments using the public AISHELL-1 and AISHELL-NER. On AISHELL-1, compared to CLAS baselines, deep CLAS obtains a 65.78% relative recall and a 53.49% relative F1-score increase in the named entity recognition scene.




Abstract:This technical report outlines our submission system for the CHiME-8 NOTSOFAR-1 Challenge. The primary difficulty of this challenge is the dataset recorded across various conference rooms, which captures real-world complexities such as high overlap rates, background noises, a variable number of speakers, and natural conversation styles. To address these issues, we optimized the system in several aspects: For front-end speech signal processing, we introduced a data-driven joint training method for diarization and separation (JDS) to enhance audio quality. Additionally, we also integrated traditional guided source separation (GSS) for multi-channel track to provide complementary information for the JDS. For back-end speech recognition, we enhanced Whisper with WavLM, ConvNeXt, and Transformer innovations, applying multi-task training and Noise KLD augmentation, to significantly advance ASR robustness and accuracy. Our system attained a Time-Constrained minimum Permutation Word Error Rate (tcpWER) of 14.265% and 22.989% on the CHiME-8 NOTSOFAR-1 Dev-set-2 multi-channel and single-channel tracks, respectively.




Abstract:Previous Multimodal Information based Speech Processing (MISP) challenges mainly focused on audio-visual speech recognition (AVSR) with commendable success. However, the most advanced back-end recognition systems often hit performance limits due to the complex acoustic environments. This has prompted a shift in focus towards the Audio-Visual Target Speaker Extraction (AVTSE) task for the MISP 2023 challenge in ICASSP 2024 Signal Processing Grand Challenges. Unlike existing audio-visual speech enhance-ment challenges primarily focused on simulation data, the MISP 2023 challenge uniquely explores how front-end speech processing, combined with visual clues, impacts back-end tasks in real-world scenarios. This pioneering effort aims to set the first benchmark for the AVTSE task, offering fresh insights into enhancing the ac-curacy of back-end speech recognition systems through AVTSE in challenging and real acoustic environments. This paper delivers a thorough overview of the task setting, dataset, and baseline system of the MISP 2023 challenge. It also includes an in-depth analysis of the challenges participants may encounter. The experimental results highlight the demanding nature of this task, and we look forward to the innovative solutions participants will bring forward.




Abstract:This technical report details our submission system to the CHiME-7 DASR Challenge, which focuses on speaker diarization and speech recognition under complex multi-speaker settings. Additionally, it also evaluates the efficiency of systems in handling diverse array devices. To address these issues, we implemented an end-to-end speaker diarization system and introduced a rectification strategy based on multi-channel spatial information. This approach significantly diminished the word error rates (WER). In terms of recognition, we utilized publicly available pre-trained models as the foundational models to train our end-to-end speech recognition models. Our system attained a macro-averaged diarization-attributed WER (DA-WER) of 22.4\% on the CHiME-7 development set, which signifies a relative improvement of 52.5\% over the official baseline system.