



Abstract:Reinforcement learning (RL), with its ability to explore and optimize policies in complex, dynamic decision-making tasks, has emerged as a promising approach to addressing motion planning (MoP) challenges in autonomous driving (AD). Despite rapid advancements in RL and AD, a systematic description and interpretation of the RL design process tailored to diverse driving tasks remains underdeveloped. This survey provides a comprehensive review of RL-based MoP for AD, focusing on lessons from task-specific perspectives. We first outline the fundamentals of RL methodologies, and then survey their applications in MoP, analyzing scenario-specific features and task requirements to shed light on their influence on RL design choices. Building on this analysis, we summarize key design experiences, extract insights from various driving task applications, and provide guidance for future implementations. Additionally, we examine the frontier challenges in RL-based MoP, review recent efforts to addresse these challenges, and propose strategies for overcoming unresolved issues.
Abstract:In the area of autonomous driving, navigating off-road terrains presents a unique set of challenges, from unpredictable surfaces like grass and dirt to unexpected obstacles such as bushes and puddles. In this work, we present a novel learning-based local planner that addresses these challenges by directly capturing human driving nuances from real-world demonstrations using only a monocular camera. The key features of our planner are its ability to navigate in challenging off-road environments with various terrain types and its fast learning capabilities. By utilizing minimal human demonstration data (5-10 mins), it quickly learns to navigate in a wide array of off-road conditions. The local planner significantly reduces the real world data required to learn human driving preferences. This allows the planner to apply learned behaviors to real-world scenarios without the need for manual fine-tuning, demonstrating quick adjustment and adaptability in off-road autonomous driving technology.




Abstract:Autoencoders have been extensively used in the development of recent anomaly detection techniques. The premise of their application is based on the notion that after training the autoencoder on normal training data, anomalous inputs will exhibit a significant reconstruction error. Consequently, this enables a clear differentiation between normal and anomalous samples. In practice, however, it is observed that autoencoders can generalize beyond the normal class and achieve a small reconstruction error on some of the anomalous samples. To improve the performance, various techniques propose additional components and more sophisticated training procedures. In this work, we propose a remarkably straightforward alternative: instead of adding neural network components, involved computations, and cumbersome training, we complement the reconstruction loss with a computationally light term that regulates the norm of representations in the latent space. The simplicity of our approach minimizes the requirement for hyperparameter tuning and customization for new applications which, paired with its permissive data modality constraint, enhances the potential for successful adoption across a broad range of applications. We test the method on various visual and tabular benchmarks and demonstrate that the technique matches and frequently outperforms alternatives. We also provide a theoretical analysis and numerical simulations that help demonstrate the underlying process that unfolds during training and how it can help with anomaly detection. This mitigates the black-box nature of autoencoder-based anomaly detection algorithms and offers an avenue for further investigation of advantages, fail cases, and potential new directions.
Abstract:Autonomous driving has received a great deal of attention in the automotive industry and is often seen as the future of transportation. The development of autonomous driving technology has been greatly accelerated by the growth of end-to-end machine learning techniques that have been successfully used for perception, planning, and control tasks. An important aspect of autonomous driving planning is knowing how the environment evolves in the immediate future and taking appropriate actions. An autonomous driving system should effectively use the information collected from the various sensors to form an abstract representation of the world to maintain situational awareness. For this purpose, deep learning models can be used to learn compact latent representations from a stream of incoming data. However, most deep learning models are trained end-to-end and do not incorporate any prior knowledge (e.g., from physics) of the vehicle in the architecture. In this direction, many works have explored physics-infused neural network (PINN) architectures to infuse physics models during training. Inspired by this observation, we present a Kalman filter augmented recurrent neural network architecture to learn the latent representation of the traffic flow using front camera images only. We demonstrate the efficacy of the proposed model in both imitation and reinforcement learning settings using both simulated and real-world datasets. The results show that incorporating an explicit model of the vehicle (states estimated using Kalman filtering) in the end-to-end learning significantly increases performance.




Abstract:Optimization algorithms are very different from human optimizers. A human being would gain more experiences through problem-solving, which helps her/him in solving a new unseen problem. Yet an optimization algorithm never gains any experiences by solving more problems. In recent years, efforts have been made towards endowing optimization algorithms with some abilities of experience learning, which is regarded as experience-based optimization. In this paper, we argue that hard optimization problems could be tackled efficiently by making better use of experiences gained in related problems. We demonstrate our ideas in the context of expensive optimization, where we aim to find a near-optimal solution to an expensive optimization problem with as few fitness evaluations as possible. To achieve this, we propose an experience-based surrogate-assisted evolutionary algorithm (SAEA) framework to enhance the optimization efficiency of expensive problems, where experiences are gained across related expensive tasks via a novel meta-learning method. These experiences serve as the task-independent parameters of a deep kernel learning surrogate, then the solutions sampled from the target task are used to adapt task-specific parameters for the surrogate. With the help of experience learning, competitive regression-based surrogates can be initialized using only 1$d$ solutions from the target task ($d$ is the dimension of the decision space). Our experimental results on expensive multi-objective and constrained optimization problems demonstrate that experiences gained from related tasks are beneficial for the saving of evaluation budgets on the target problem.




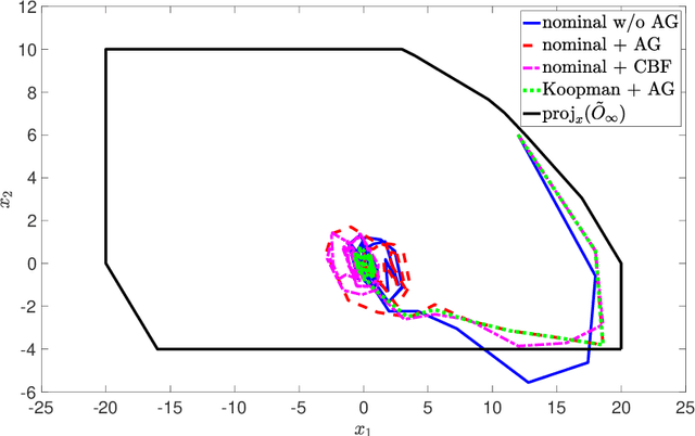
Abstract:This paper introduces the Generalized Action Governor, which is a supervisory scheme for augmenting a nominal closed-loop system with the capability of strictly handling constraints. After presenting its theory for general systems and introducing tailored design approaches for linear and discrete systems, we discuss its application to safe online learning, which aims to safely evolve control parameters using real-time data to improve performance for uncertain systems. In particular, we propose two safe learning algorithms based on integration of reinforcement learning/data-driven Koopman operator-based control with the generalized action governor. The developments are illustrated with a numerical example.




Abstract:The action governor is an add-on scheme to a nominal control loop that monitors and adjusts the control actions to enforce safety specifications expressed as pointwise-in-time state and control constraints. In this paper, we introduce the Robust Action Governor (RAG) for systems the dynamics of which can be represented using discrete-time Piecewise Affine (PWA) models with both parametric and additive uncertainties and subject to non-convex constraints. We develop the theoretical properties and computational approaches for the RAG. After that, we introduce the use of the RAG for realizing safe Reinforcement Learning (RL), i.e., ensuring all-time constraint satisfaction during online RL exploration-and-exploitation process. This development enables safe real-time evolution of the control policy and adaptation to changes in the operating environment and system parameters (due to aging, damage, etc.). We illustrate the effectiveness of the RAG in constraint enforcement and safe RL using the RAG by considering their applications to a soft-landing problem of a mass-spring-damper system.




Abstract:There has been significant progress in sensing, perception, and localization for automated driving, However, due to the wide spectrum of traffic/road structure scenarios and the long tail distribution of human driver behavior, it has remained an open challenge for an intelligent vehicle to always know how to make and execute the best decision on road given available sensing / perception / localization information. In this chapter, we talk about how artificial intelligence and more specifically, reinforcement learning, can take advantage of operational knowledge and safety reflex to make strategical and tactical decisions. We discuss some challenging problems related to the robustness of reinforcement learning solutions and their implications to the practical design of driving strategies for autonomous vehicles. We focus on automated driving on highway and the integration of reinforcement learning, vehicle motion control, and control barrier function, leading to a robust AI driving strategy that can learn and adapt safely.




Abstract:Autonomous driving has received a lot of attention in the automotive industry and is often seen as the future of transportation. Passenger vehicles equipped with a wide array of sensors (e.g., cameras, front-facing radars, LiDARs, and IMUs) capable of continuous perception of the environment are becoming increasingly prevalent. These sensors provide a stream of high-dimensional, temporally correlated data that is essential for reliable autonomous driving. An autonomous driving system should effectively use the information collected from the various sensors in order to form an abstract description of the world and maintain situational awareness. Deep learning models, such as autoencoders, can be used for that purpose, as they can learn compact latent representations from a stream of incoming data. However, most autoencoder models process the data independently, without assuming any temporal interdependencies. Thus, there is a need for deep learning models that explicitly consider the temporal dependence of the data in their architecture. This work proposes CARNet, a Combined dynAmic autoencodeR NETwork architecture that utilizes an autoencoder combined with a recurrent neural network to learn the current latent representation and, in addition, also predict future latent representations in the context of autonomous driving. We demonstrate the efficacy of the proposed model in both imitation and reinforcement learning settings using both simulated and real datasets. Our results show that the proposed model outperforms the baseline state-of-the-art model, while having significantly fewer trainable parameters.




Abstract:The field of Meta Reinforcement Learning (Meta-RL) has seen substantial advancements recently. In particular, off-policy methods were developed to improve the data efficiency of Meta-RL techniques. \textit{Probabilistic embeddings for actor-critic RL} (PEARL) is currently one of the leading approaches for multi-MDP adaptation problems. A major drawback of many existing Meta-RL methods, including PEARL, is that they do not explicitly consider the safety of the prior policy when it is exposed to a new task for the very first time. This is very important for some real-world applications, including field robots and Autonomous Vehicles (AVs). In this paper, we develop the PEARL PLUS (PEARL$^+$) algorithm, which optimizes the policy for both prior safety and posterior adaptation. Building on top of PEARL, our proposed PEARL$^+$ algorithm introduces a prior regularization term in the reward function and a new Q-network for recovering the state-action value with prior context assumption, to improve the robustness and safety of the trained network exposing to a new task for the first time. The performance of the PEARL$^+$ method is demonstrated by solving three safety-critical decision-making problems related to robots and AVs, including two MuJoCo benchmark problems. From the simulation experiments, we show that the safety of the prior policy is significantly improved compared to that of the original PEARL method.