Abstract:As 6G wireless communication systems evolve toward intelligence and high reconfigurability, the limitations of traditional fixed antenna (TFA) has become increasingly prominent, with geometrically movable antenna (GMA) and electromagnetically reconfigurable antenna (ERA) emerging as key technologies to break through this bottleneck. GMA activates spatial degrees of freedom (DoF) by dynamically adjusting antenna positions, ERA regulates radiation characteristics using tunable metamaterials, thereby introducing DoF in the electromagnetic domain. However, the ``geometric-electromagnetic dual reconfiguration" paradigm formed by their integration poses severe challenges of high-dimensional hybrid optimization to signal processing. To address this issue, we integrate the geometric optimization of GMA and the electromagnetic reconfiguration of ERA for the first time, propose a unified modeling framework for movable and reconfigurable antenna (MARA), investigate the channel modeling and spectral efficiency (SE) optimization for GMA, ERA, and MARA. Besides, we systematically review artificial intelligence (AI)-based solutions, focusing on analyzing the advantages of AI over traditional algorithms in high-dimensional non-convex optimization computations. This paper fills the gap in existing literature regarding the lack of a comprehensive review on the AI-driven signal processing paradigm under geometric-electromagnetic dual reconfiguration and provides theoretical support for the design and optimization of 6G wireless systems with high SE and flexibility.
Abstract:Data quality and diversity are key to the construction of effective instruction-tuning datasets. % With the increasing availability of open-source instruction-tuning datasets, it is advantageous to automatically select high-quality and diverse subsets from a vast amount of data. % Existing methods typically prioritize instance quality and use heuristic rules to maintain diversity. % However, this absence of a comprehensive view of the entire collection often leads to suboptimal results. % Moreover, heuristic rules generally focus on distance or clustering within the embedding space, which fails to accurately capture the intent of complex instructions in the semantic space. % To bridge this gap, we propose a unified method for quantifying the information content of datasets. This method models the semantic space by constructing a label graph and quantifies diversity based on the distribution of information within the graph. % Based on such a measurement, we further introduce an efficient sampling method that selects data samples iteratively to \textbf{M}aximize the \textbf{I}nformation \textbf{G}ain (MIG) in semantic space. % Experiments on various datasets and base models demonstrate that MIG consistently outperforms state-of-the-art methods. % Notably, the model fine-tuned with 5\% Tulu3 data sampled by MIG achieves comparable performance to the official SFT model trained on the full dataset, with improvements of +5.73\% on AlpacaEval and +6.89\% on Wildbench.




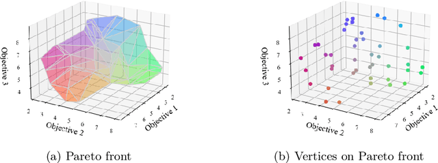
Abstract:Multi-objective Markov Decision Processes (MDPs) are receiving increasing attention, as real-world decision-making problems often involve conflicting objectives that cannot be addressed by a single-objective MDP. The Pareto front identifies the set of policies that cannot be dominated, providing a foundation for finding optimal solutions that can efficiently adapt to various preferences. However, finding the Pareto front is a highly challenging problem. Most existing methods either (i) rely on traversing the continuous preference space, which is impractical and results in approximations that are difficult to evaluate against the true Pareto front, or (ii) focus solely on deterministic Pareto optimal policies, from which there are no known techniques to characterize the full Pareto front. Moreover, finding the structure of the Pareto front itself remains unclear even in the context of dynamic programming. This work addresses the challenge of efficiently discovering the Pareto front. By investigating the geometric structure of the Pareto front in MO-MDP, we uncover a key property: the Pareto front is on the boundary of a convex polytope whose vertices all correspond to deterministic policies, and neighboring vertices of the Pareto front differ by only one state-action pair of the deterministic policy, almost surely. This insight transforms the global comparison across all policies into a localized search among deterministic policies that differ by only one state-action pair, drastically reducing the complexity of searching for the exact Pareto front. We develop an efficient algorithm that identifies the vertices of the Pareto front by solving a single-objective MDP only once and then traversing the edges of the Pareto front, making it more efficient than existing methods. Our empirical studies demonstrate the effectiveness of our theoretical strategy in discovering the Pareto front.




Abstract:Perception systems of autonomous vehicles are susceptible to occlusion, especially when examined from a vehicle-centric perspective. Such occlusion can lead to overlooked object detections, e.g., larger vehicles such as trucks or buses may create blind spots where cyclists or pedestrians could be obscured, accentuating the safety concerns associated with such perception system limitations. To mitigate these challenges, the vehicle-to-everything (V2X) paradigm suggests employing an infrastructure-side perception system (IPS) to complement autonomous vehicles with a broader perceptual scope. Nevertheless, the scarcity of real-world 3D infrastructure-side datasets constrains the advancement of V2X technologies. To bridge these gaps, this paper introduces a new 3D infrastructure-side collaborative perception dataset, abbreviated as inscope. Notably, InScope is the first dataset dedicated to addressing occlusion challenges by strategically deploying multiple-position Light Detection and Ranging (LiDAR) systems on the infrastructure side. Specifically, InScope encapsulates a 20-day capture duration with 303 tracking trajectories and 187,787 3D bounding boxes annotated by experts. Through analysis of benchmarks, four different benchmarks are presented for open traffic scenarios, including collaborative 3D object detection, multisource data fusion, data domain transfer, and 3D multiobject tracking tasks. Additionally, a new metric is designed to quantify the impact of occlusion, facilitating the evaluation of detection degradation ratios among various algorithms. The Experimental findings showcase the enhanced performance of leveraging InScope to assist in detecting and tracking 3D multiobjects in real-world scenarios, particularly in tracking obscured, small, and distant objects. The dataset and benchmarks are available at https://github.com/xf-zh/InScope.
Abstract:Whole-body pose estimation is a challenging task that requires simultaneous prediction of keypoints for the body, hands, face, and feet. Whole-body pose estimation aims to predict fine-grained pose information for the human body, including the face, torso, hands, and feet, which plays an important role in the study of human-centric perception and generation and in various applications. In this work, we present RTMW (Real-Time Multi-person Whole-body pose estimation models), a series of high-performance models for 2D/3D whole-body pose estimation. We incorporate RTMPose model architecture with FPN and HEM (Hierarchical Encoding Module) to better capture pose information from different body parts with various scales. The model is trained with a rich collection of open-source human keypoint datasets with manually aligned annotations and further enhanced via a two-stage distillation strategy. RTMW demonstrates strong performance on multiple whole-body pose estimation benchmarks while maintaining high inference efficiency and deployment friendliness. We release three sizes: m/l/x, with RTMW-l achieving a 70.2 mAP on the COCO-Wholebody benchmark, making it the first open-source model to exceed 70 mAP on this benchmark. Meanwhile, we explored the performance of RTMW in the task of 3D whole-body pose estimation, conducting image-based monocular 3D whole-body pose estimation in a coordinate classification manner. We hope this work can benefit both academic research and industrial applications. The code and models have been made publicly available at: https://github.com/open-mmlab/mmpose/tree/main/projects/rtmpose




Abstract:Significant focus has been placed on integrating large language models (LLMs) with various tools in developing general-purpose agents. This poses a challenge to LLMs' tool-use capabilities. However, there are evident gaps between existing tool-use evaluations and real-world scenarios. Current evaluations often use AI-generated queries, single-step tasks, dummy tools, and text-only interactions, failing to reveal the agents' real-world problem-solving abilities effectively. To address this, we propose GTA, a benchmark for General Tool Agents, featuring three main aspects: (i) Real user queries: human-written queries with simple real-world objectives but implicit tool-use, requiring the LLM to reason the suitable tools and plan the solution steps. (ii) Real deployed tools: an evaluation platform equipped with tools across perception, operation, logic, and creativity categories to evaluate the agents' actual task execution performance. (iii) Real multimodal inputs: authentic image files, such as spatial scenes, web page screenshots, tables, code snippets, and printed/handwritten materials, used as the query contexts to align with real-world scenarios closely. We design 229 real-world tasks and executable tool chains to evaluate mainstream LLMs. Our findings show that real-world user queries are challenging for existing LLMs, with GPT-4 completing less than 50% of the tasks and most LLMs achieving below 25%. This evaluation reveals the bottlenecks in the tool-use capabilities of current LLMs in real-world scenarios, which provides future direction for advancing general-purpose tool agents. The code and dataset are available at https://github.com/open-compass/GTA.
Abstract:Pansharpening aims to generate a high spatial resolution multispectral image (HRMS) by fusing a low spatial resolution multispectral image (LRMS) and a panchromatic image (PAN). The most challenging issue for this task is that only the to-be-fused LRMS and PAN are available, and the existing deep learning-based methods are unsuitable since they rely on many training pairs. Traditional variational optimization (VO) based methods are well-suited for addressing such a problem. They focus on carefully designing explicit fusion rules as well as regularizations for an optimization problem, which are based on the researcher's discovery of the image relationships and image structures. Unlike previous VO-based methods, in this work, we explore such complex relationships by a parameterized term rather than a manually designed one. Specifically, we propose a zero-shot pansharpening method by introducing a neural network into the optimization objective. This network estimates a representation component of HRMS, which mainly describes the relationship between HRMS and PAN. In this way, the network achieves a similar goal to the so-called deep image prior because it implicitly regulates the relationship between the HRMS and PAN images through its inherent structure. We directly minimize this optimization objective via network parameters and the expected HRMS image through iterative updating. Extensive experiments on various benchmark datasets demonstrate that our proposed method can achieve better performance compared with other state-of-the-art methods. The codes are available at https://github.com/xyrui/PSDip.




Abstract:Continual Knowledge Graph Embedding (CKGE) aims to efficiently learn new knowledge and simultaneously preserve old knowledge. Dominant approaches primarily focus on alleviating catastrophic forgetting of old knowledge but neglect efficient learning for the emergence of new knowledge. However, in real-world scenarios, knowledge graphs (KGs) are continuously growing, which brings a significant challenge to fine-tuning KGE models efficiently. To address this issue, we propose a fast CKGE framework (\model), incorporating an incremental low-rank adapter (\mec) mechanism to efficiently acquire new knowledge while preserving old knowledge. Specifically, to mitigate catastrophic forgetting, \model\ isolates and allocates new knowledge to specific layers based on the fine-grained influence between old and new KGs. Subsequently, to accelerate fine-tuning, \model\ devises an efficient \mec\ mechanism, which embeds the specific layers into incremental low-rank adapters with fewer training parameters. Moreover, \mec\ introduces adaptive rank allocation, which makes the LoRA aware of the importance of entities and adjusts its rank scale adaptively. We conduct experiments on four public datasets and two new datasets with a larger initial scale. Experimental results demonstrate that \model\ can reduce training time by 34\%-49\% while still achieving competitive link prediction performance against state-of-the-art models on four public datasets (average MRR score of 21.0\% vs. 21.1\%).Meanwhile, on two newly constructed datasets, \model\ saves 51\%-68\% training time and improves link prediction performance by 1.5\%.




Abstract:We present InternLM-XComposer-2.5 (IXC-2.5), a versatile large-vision language model that supports long-contextual input and output. IXC-2.5 excels in various text-image comprehension and composition applications, achieving GPT-4V level capabilities with merely 7B LLM backend. Trained with 24K interleaved image-text contexts, it can seamlessly extend to 96K long contexts via RoPE extrapolation. This long-context capability allows IXC-2.5 to excel in tasks requiring extensive input and output contexts. Compared to its previous 2.0 version, InternLM-XComposer-2.5 features three major upgrades in vision-language comprehension: (1) Ultra-High Resolution Understanding, (2) Fine-Grained Video Understanding, and (3) Multi-Turn Multi-Image Dialogue. In addition to comprehension, IXC-2.5 extends to two compelling applications using extra LoRA parameters for text-image composition: (1) Crafting Webpages and (2) Composing High-Quality Text-Image Articles. IXC-2.5 has been evaluated on 28 benchmarks, outperforming existing open-source state-of-the-art models on 16 benchmarks. It also surpasses or competes closely with GPT-4V and Gemini Pro on 16 key tasks. The InternLM-XComposer-2.5 is publicly available at https://github.com/InternLM/InternLM-XComposer.




Abstract:Diffusion-based models have shown great potential in generating high-quality images with various layouts, which can benefit downstream perception tasks. However, a fully automatic layout generation driven only by language and a suitable metric for measuring multiple generated instances has not been well explored. In this work, we present Auto Cherry-Picker (ACP), a novel framework that generates high-quality multi-modal training examples to augment perception and multi-modal training. Starting with a simple list of natural language concepts, we prompt large language models (LLMs) to generate a detailed description and design reasonable layouts. Next, we use an off-the-shelf text-to-image model to generate multiple images. Then, the generated data are refined using a comprehensively designed metric to ensure quality. In particular, we present a new metric, Composite Layout and Image Score (CLIS), to evaluate the generated images fairly. Our synthetic high-quality examples boost performance in various scenarios by customizing the initial concept list, especially in addressing challenges associated with long-tailed distribution and imbalanced datasets. Experiment results on downstream tasks demonstrate that Auto Cherry-Picker can significantly improve the performance of existing models. In addition, we have thoroughly investigated the correlation between CLIS and performance gains in downstream tasks, and we find that a better CLIS score results in better performance. This finding shows the potential for evaluation metrics as the role for various visual perception and MLLM tasks. Code will be available.