Abstract:Dataset distillation aims to synthesize a small dataset from a large dataset, enabling the model trained on it to perform well on the original dataset. With the blooming of large language models and multimodal large language models, the importance of multimodal datasets, particularly image-text datasets, has grown significantly. However, existing multimodal dataset distillation methods are constrained by the Matching Training Trajectories algorithm, which significantly increases the computing resource requirement, and takes days to process the distillation. In this work, we introduce EDGE, a generative distillation method for efficient multimodal dataset distillation. Specifically, we identify two key challenges of distilling multimodal datasets with generative models: 1) The lack of correlation between generated images and captions. 2) The lack of diversity among generated samples. To address the aforementioned issues, we propose a novel generative model training workflow with a bi-directional contrastive loss and a diversity loss. Furthermore, we propose a caption synthesis strategy to further improve text-to-image retrieval performance by introducing more text information. Our method is evaluated on Flickr30K, COCO, and CC3M datasets, demonstrating superior performance and efficiency compared to existing approaches. Notably, our method achieves results 18x faster than the state-of-the-art method.




Abstract:Fine-grained multimodal capability in Multimodal Large Language Models (MLLMs) has emerged as a critical research direction, particularly for tackling the visual grounding (VG) problem. Despite the strong performance achieved by existing approaches, they often employ disparate design choices when fine-tuning MLLMs for VG, lacking systematic verification to support these designs. To bridge this gap, this paper presents a comprehensive study of various design choices that impact the VG performance of MLLMs. We conduct our analysis using LLaVA-1.5, which has been widely adopted in prior empirical studies of MLLMs. While more recent models exist, we follow this convention to ensure our findings remain broadly applicable and extendable to other architectures. We cover two key aspects: (1) exploring different visual grounding paradigms in MLLMs, identifying the most effective design, and providing our insights; and (2) conducting ablation studies on the design of grounding data to optimize MLLMs' fine-tuning for the VG task. Finally, our findings contribute to a stronger MLLM for VG, achieving improvements of +5.6% / +6.9% / +7.0% on RefCOCO/+/g over the LLaVA-1.5.
Abstract:Conformal prediction (CP) is a promising uncertainty quantification framework which works as a wrapper around a black-box classifier to construct prediction sets (i.e., subset of candidate classes) with provable guarantees. However, standard calibration methods for CP tend to produce large prediction sets which makes them less useful in practice. This paper considers the problem of integrating conformal principles into the training process of deep classifiers to directly minimize the size of prediction sets. We formulate conformal training as a bilevel optimization problem and propose the {\em Direct Prediction Set Minimization (DPSM)} algorithm to solve it. The key insight behind DPSM is to minimize a measure of the prediction set size (upper level) that is conditioned on the learned quantile of conformity scores (lower level). We analyze that DPSM has a learning bound of $O(1/\sqrt{n})$ (with $n$ training samples), while prior conformal training methods based on stochastic approximation for the quantile has a bound of $\Omega(1/s)$ (with batch size $s$ and typically $s \ll \sqrt{n}$). Experiments on various benchmark datasets and deep models show that DPSM significantly outperforms the best prior conformal training baseline with $20.46\%\downarrow$ in the prediction set size and validates our theory.
Abstract:In recent years, dataset distillation has provided a reliable solution for data compression, where models trained on the resulting smaller synthetic datasets achieve performance comparable to those trained on the original datasets. To further improve the performance of synthetic datasets, various training pipelines and optimization objectives have been proposed, greatly advancing the field of dataset distillation. Recent decoupled dataset distillation methods introduce soft labels and stronger data augmentation during the post-evaluation phase and scale dataset distillation up to larger datasets (e.g., ImageNet-1K). However, this raises a question: Is accuracy still a reliable metric to fairly evaluate dataset distillation methods? Our empirical findings suggest that the performance improvements of these methods often stem from additional techniques rather than the inherent quality of the images themselves, with even randomly sampled images achieving superior results. Such misaligned evaluation settings severely hinder the development of DD. Therefore, we propose DD-Ranking, a unified evaluation framework, along with new general evaluation metrics to uncover the true performance improvements achieved by different methods. By refocusing on the actual information enhancement of distilled datasets, DD-Ranking provides a more comprehensive and fair evaluation standard for future research advancements.
Abstract:This paper introduces \textsc{InfantAgent-Next}, a generalist agent capable of interacting with computers in a multimodal manner, encompassing text, images, audio, and video. Unlike existing approaches that either build intricate workflows around a single large model or only provide workflow modularity, our agent integrates tool-based and pure vision agents within a highly modular architecture, enabling different models to collaboratively solve decoupled tasks in a step-by-step manner. Our generality is demonstrated by our ability to evaluate not only pure vision-based real-world benchmarks (i.e., OSWorld), but also more general or tool-intensive benchmarks (e.g., GAIA and SWE-Bench). Specifically, we achieve $\mathbf{7.27\%}$ accuracy on OSWorld, higher than Claude-Computer-Use. Codes and evaluation scripts are open-sourced at https://github.com/bin123apple/InfantAgent.




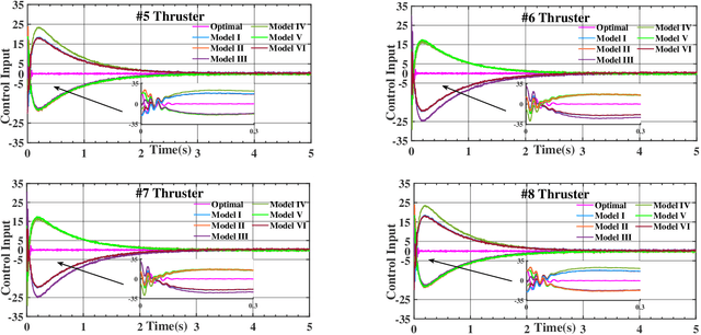
Abstract:This paper presents a fault-tolerant control for the trajectory tracking of autonomous underwater vehicles (AUVs) against thruster failures. We formulate faults in AUV thrusters as discrete switching events during a UAV mission, and develop a soft-switching approach in facilitating shift of control strategies across fault scenarios. We mathematically define AUV thruster fault scenarios, and develop the fault-tolerant control that captures the fault scenario via Bayesian approach. Particularly, when the AUV fault type switches from one to another, the developed control captures the fault states and maintains the control by a linear quadratic tracking controller. With the captured fault states by Bayesian approach, we derive the control law by aggregating the control outputs for individual fault scenarios weighted by their Bayesian posterior probability. The developed fault-tolerant control works in an adaptive way and guarantees soft-switching across fault scenarios, and requires no complicated fault detection dedicated to different type of faults. The entailed soft-switching ensures stable AUV trajectory tracking when fault type shifts, which otherwise leads to reduced control under hard-switching control strategies. We conduct numerical simulations with diverse AUV thruster fault settings. The results demonstrate that the proposed control can provide smooth transition across thruster failures, and effectively sustain AUV trajectory tracking control in case of thruster failures and failure shifts.
Abstract:3D Referring Expression Segmentation (3D-RES) typically requires extensive instance-level annotations, which are time-consuming and costly. Semi-supervised learning (SSL) mitigates this by using limited labeled data alongside abundant unlabeled data, improving performance while reducing annotation costs. SSL uses a teacher-student paradigm where teacher generates high-confidence-filtered pseudo-labels to guide student. However, in the context of 3D-RES, where each label corresponds to a single mask and labeled data is scarce, existing SSL methods treat high-quality pseudo-labels merely as auxiliary supervision, which limits the model's learning potential. The reliance on high-confidence thresholds for filtering often results in potentially valuable pseudo-labels being discarded, restricting the model's ability to leverage the abundant unlabeled data. Therefore, we identify two critical challenges in semi-supervised 3D-RES, namely, inefficient utilization of high-quality pseudo-labels and wastage of useful information from low-quality pseudo-labels. In this paper, we introduce the first semi-supervised learning framework for 3D-RES, presenting a robust baseline method named 3DResT. To address these challenges, we propose two novel designs called Teacher-Student Consistency-Based Sampling (TSCS) and Quality-Driven Dynamic Weighting (QDW). TSCS aids in the selection of high-quality pseudo-labels, integrating them into the labeled dataset to strengthen the labeled supervision signals. QDW preserves low-quality pseudo-labels by dynamically assigning them lower weights, allowing for the effective extraction of useful information rather than discarding them. Extensive experiments conducted on the widely used benchmark demonstrate the effectiveness of our method. Notably, with only 1% labeled data, 3DResT achieves an mIoU improvement of 8.34 points compared to the fully supervised method.
Abstract:Conditional diffusion models have gained increasing attention since their impressive results for cross-modal synthesis, where the strong alignment between conditioning input and generated output can be achieved by training a time-conditioned U-Net augmented with cross-attention mechanism. In this paper, we focus on the problem of generating music synchronized with rhythmic visual cues of the given dance video. Considering that bi-directional guidance is more beneficial for training a diffusion model, we propose to enhance the quality of generated music and its synchronization with dance videos by adopting both positive rhythmic information and negative ones (PN-Diffusion) as conditions, where a dual diffusion and reverse processes is devised. Specifically, to train a sequential multi-modal U-Net structure, PN-Diffusion consists of a noise prediction objective for positive conditioning and an additional noise prediction objective for negative conditioning. To accurately define and select both positive and negative conditioning, we ingeniously utilize temporal correlations in dance videos, capturing positive and negative rhythmic cues by playing them forward and backward, respectively. Through subjective and objective evaluations of input-output correspondence in terms of dance-music beat alignment and the quality of generated music, experimental results on the AIST++ and TikTok dance video datasets demonstrate that our model outperforms SOTA dance-to-music generation models.
Abstract:We consider the problem of generating valid and small prediction sets by sampling outputs (e.g., software code and natural language text) from a black-box deep generative model for a given input (e.g., textual prompt). The validity of a prediction set is determined by a user-defined binary admissibility function depending on the target application. For example, requiring at least one program in the set to pass all test cases in code generation application. To address this problem, we develop a simple and effective conformal inference algorithm referred to as Generative Prediction Sets (GPS). Given a set of calibration examples and black-box access to a deep generative model, GPS can generate prediction sets with provable guarantees. The key insight behind GPS is to exploit the inherent structure within the distribution over the minimum number of samples needed to obtain an admissible output to develop a simple conformal regression approach over the minimum number of samples. Experiments on multiple datasets for code and math word problems using different large language models demonstrate the efficacy of GPS over state-of-the-art methods.
Abstract:X-ray imaging is indispensable in medical diagnostics, yet its use is tightly regulated due to potential health risks. To mitigate radiation exposure, recent research focuses on generating novel views from sparse inputs and reconstructing Computed Tomography (CT) volumes, borrowing representations from the 3D reconstruction area. However, these representations originally target visible light imaging that emphasizes reflection and scattering effects, while neglecting penetration and attenuation properties of X-ray imaging. In this paper, we introduce X-Field, the first 3D representation specifically designed for X-ray imaging, rooted in the energy absorption rates across different materials. To accurately model diverse materials within internal structures, we employ 3D ellipsoids with distinct attenuation coefficients. To estimate each material's energy absorption of X-rays, we devise an efficient path partitioning algorithm accounting for complex ellipsoid intersections. We further propose hybrid progressive initialization to refine the geometric accuracy of X-Filed and incorporate material-based optimization to enhance model fitting along material boundaries. Experiments show that X-Field achieves superior visual fidelity on both real-world human organ and synthetic object datasets, outperforming state-of-the-art methods in X-ray Novel View Synthesis and CT Reconstruction.