Department of Pathology, UT Southwestern Medical Center, Dallas, TX, USA
Abstract:Robotic real-world reinforcement learning (RL) with vision-language-action (VLA) models is bottlenecked by sparse, handcrafted rewards and inefficient exploration. We introduce VLAC, a general process reward model built upon InternVL and trained on large scale heterogeneous datasets. Given pairwise observations and a language goal, it outputs dense progress delta and done signal, eliminating task-specific reward engineering, and supports one-shot in-context transfer to unseen tasks and environments. VLAC is trained on vision-language datasets to strengthen perception, dialogic and reasoning capabilities, together with robot and human trajectories data that ground action generation and progress estimation, and additionally strengthened to reject irrelevant prompts as well as detect regression or stagnation by constructing large numbers of negative and semantically mismatched samples. With prompt control, a single VLAC model alternately generating reward and action tokens, unifying critic and policy. Deployed inside an asynchronous real-world RL loop, we layer a graded human-in-the-loop protocol (offline demonstration replay, return and explore, human guided explore) that accelerates exploration and stabilizes early learning. Across four distinct real-world manipulation tasks, VLAC lifts success rates from about 30\% to about 90\% within 200 real-world interaction episodes; incorporating human-in-the-loop interventions yields a further 50% improvement in sample efficiency and achieves up to 100% final success.
Abstract:In e-commerce and digital marketing, generating high-fidelity human-product demonstration videos is important for effective product presentation. However, most existing frameworks either fail to preserve the identities of both humans and products or lack an understanding of human-product spatial relationships, leading to unrealistic representations and unnatural interactions. To address these challenges, we propose a Diffusion Transformer (DiT)-based framework. Our method simultaneously preserves human identities and product-specific details, such as logos and textures, by injecting paired human-product reference information and utilizing an additional masked cross-attention mechanism. We employ a 3D body mesh template and product bounding boxes to provide precise motion guidance, enabling intuitive alignment of hand gestures with product placements. Additionally, structured text encoding is used to incorporate category-level semantics, enhancing 3D consistency during small rotational changes across frames. Trained on a hybrid dataset with extensive data augmentation strategies, our approach outperforms state-of-the-art techniques in maintaining the identity integrity of both humans and products and generating realistic demonstration motions. Project page: https://submit2025-dream.github.io/DreamActor-H1/.
Abstract:Autonomous agents powered by multimodal large language models have been developed to facilitate task execution on mobile devices. However, prior work has predominantly focused on atomic tasks -- such as shot-chain execution tasks and single-screen grounding tasks -- while overlooking the generalization to compositional tasks, which are indispensable for real-world applications. This work introduces UI-NEXUS, a comprehensive benchmark designed to evaluate mobile agents on three categories of compositional operations: Simple Concatenation, Context Transition, and Deep Dive. UI-NEXUS supports interactive evaluation in 20 fully controllable local utility app environments, as well as 30 online Chinese and English service apps. It comprises 100 interactive task templates with an average optimal step count of 14.05. Experimental results across a range of mobile agents with agentic workflow or agent-as-a-model show that UI-NEXUS presents significant challenges. Specifically, existing agents generally struggle to balance performance and efficiency, exhibiting representative failure modes such as under-execution, over-execution, and attention drift, causing visible atomic-to-compositional generalization gap. Inspired by these findings, we propose AGENT-NEXUS, a lightweight and efficient scheduling system to tackle compositional mobile tasks. AGENT-NEXUS extrapolates the abilities of existing mobile agents by dynamically decomposing long-horizon tasks to a series of self-contained atomic subtasks. AGENT-NEXUS achieves 24% to 40% task success rate improvement for existing mobile agents on compositional operation tasks within the UI-NEXUS benchmark without significantly sacrificing inference overhead. The demo video, dataset, and code are available on the project page at https://ui-nexus.github.io.




Abstract:Coral reefs, crucial for sustaining marine biodiversity and ecological processes (e.g., nutrient cycling, habitat provision), face escalating threats, underscoring the need for efficient monitoring. Coral reef ecological monitoring faces dual challenges of low efficiency in manual analysis and insufficient segmentation accuracy in complex underwater scenarios. This study develops the YH-MINER system, establishing an intelligent framework centered on the Multimodal Large Model (MLLM) for "object detection-semantic segmentation-prior input". The system uses the object detection module (mAP@0.5=0.78) to generate spatial prior boxes for coral instances, driving the segment module to complete pixel-level segmentation in low-light and densely occluded scenarios. The segmentation masks and finetuned classification instructions are fed into the Qwen2-VL-based multimodal model as prior inputs, achieving a genus-level classification accuracy of 88% and simultaneously extracting core ecological metrics. Meanwhile, the system retains the scalability of the multimodal model through standardized interfaces, laying a foundation for future integration into multimodal agent-based underwater robots and supporting the full-process automation of "image acquisition-prior generation-real-time analysis".




Abstract:Large Language Models (LLMs)-based hybrid retrieval uses LLMs to encode queries and documents into low-dimensional dense or high-dimensional sparse vectors. It retrieves documents relevant to search queries based on vector similarities. Documents are pre-encoded offline, while queries arrive in real-time, necessitating an efficient online query encoder. Although LLMs significantly enhance retrieval capabilities, serving deeply parameterized LLMs slows down query inference throughput and increases demands for online deployment resources. In this paper, we propose LightRetriever, a novel LLM-based hybrid retriever with extremely lightweight query encoders. Our method retains a full-sized LLM for document encoding, but reduces the workload of query encoding to no more than an embedding lookup. Compared to serving a full-sized LLM on an H800 GPU, our approach achieves over a 1000x speedup for query inference with GPU acceleration, and even a 20x speedup without GPU. Experiments on large-scale retrieval benchmarks demonstrate that our method generalizes well across diverse retrieval tasks, retaining an average of 95% full-sized performance.
Abstract:Traditional equation-driven hydrological models often struggle to accurately predict streamflow in challenging regional Earth systems like the Tibetan Plateau, while hybrid and existing algorithm-driven models face difficulties in interpreting hydrological behaviors. This work introduces HydroTrace, an algorithm-driven, data-agnostic model that substantially outperforms these approaches, achieving a Nash-Sutcliffe Efficiency of 98% and demonstrating strong generalization on unseen data. Moreover, HydroTrace leverages advanced attention mechanisms to capture spatial-temporal variations and feature-specific impacts, enabling the quantification and spatial resolution of streamflow partitioning as well as the interpretation of hydrological behaviors such as glacier-snow-streamflow interactions and monsoon dynamics. Additionally, a large language model (LLM)-based application allows users to easily understand and apply HydroTrace's insights for practical purposes. These advancements position HydroTrace as a transformative tool in hydrological and broader Earth system modeling, offering enhanced prediction accuracy and interpretability.
Abstract:With the rapid development of artificial intelligence, multimodal learning has become an important research area. For intelligent agents, the state is a crucial modality to convey precise information alongside common modalities like images, videos, and language. This becomes especially clear with the broad adoption of reinforcement learning and multimodal large language models. Nevertheless, the representation of state modality still lags in development. To this end, we propose a High-Fidelity Contrastive Language-State Pre-training (CLSP) method, which can accurately encode state information into general representations for both reinforcement learning and multimodal large language models. Specifically, we first design a pre-training task based on the classification to train an encoder with coarse-grained information. Next, we construct data pairs of states and language descriptions, utilizing the pre-trained encoder to initialize the CLSP encoder. Then, we deploy contrastive learning to train the CLSP encoder to effectively represent precise state information. Additionally, we enhance the representation of numerical information using the Random Fourier Features (RFF) method for high-fidelity mapping. Extensive experiments demonstrate the superior precision and generalization capabilities of our representation, achieving outstanding results in text-state retrieval, reinforcement learning navigation tasks, and multimodal large language model understanding.




Abstract:Large Language Model-based Dense Retrieval (LLM-DR) optimizes over numerous heterogeneous fine-tuning collections from different domains. However, the discussion about its training data distribution is still minimal. Previous studies rely on empirically assigned dataset choices or sampling ratios, which inevitably leads to sub-optimal retrieval performances. In this paper, we propose a new task-level Distributionally Robust Optimization (tDRO) algorithm for LLM-DR fine-tuning, targeted at improving the universal domain generalization ability by end-to-end reweighting the data distribution of each task. The tDRO parameterizes the domain weights and updates them with scaled domain gradients. The optimized weights are then transferred to the LLM-DR fine-tuning to train more robust retrievers. Experiments show optimal improvements in large-scale retrieval benchmarks and reduce up to 30% dataset usage after applying our optimization algorithm with a series of different-sized LLM-DR models.




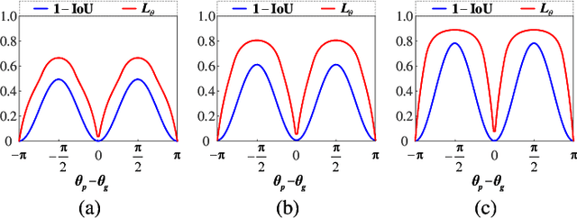
Abstract:Objects in aerial images are typically embedded in complex backgrounds and exhibit arbitrary orientations. When employing oriented bounding boxes (OBB) to represent arbitrary oriented objects, the periodicity of angles could lead to discontinuities in label regression values at the boundaries, inducing abrupt fluctuations in the loss function. To address this problem, an OBB representation based on the complex plane is introduced in the oriented detection framework, and a trigonometric loss function is proposed. Moreover, leveraging prior knowledge of complex background environments and significant differences in large objects in aerial images, a conformer RPN head is constructed to predict angle information. The proposed loss function and conformer RPN head jointly generate high-quality oriented proposals. A category-aware dynamic label assignment based on predicted category feedback is proposed to address the limitations of solely relying on IoU for proposal label assignment. This method makes negative sample selection more representative, ensuring consistency between classification and regression features. Experiments were conducted on four realistic oriented detection datasets, and the results demonstrate superior performance in oriented object detection with minimal parameter tuning and time costs. Specifically, mean average precision (mAP) scores of 82.02%, 71.99%, 69.87%, and 98.77% were achieved on the DOTA-v1.0, DOTA-v1.5, DIOR-R, and HRSC2016 datasets, respectively.




Abstract:In recent years, Large Language Models (LLMs) have made significant strides towards Artificial General Intelligence. However, training these models from scratch requires substantial computational resources and vast amounts of text data. In this paper, we explore an alternative approach to constructing an LLM for a new language by continually pretraining (CPT) from existing pretrained LLMs, instead of using randomly initialized parameters. Based on parallel experiments on 40 model sizes ranging from 40M to 5B parameters, we find that 1) CPT converges faster and saves significant resources in a scalable manner; 2) CPT adheres to an extended scaling law derived from Hoffmann et al. (2022) with a joint data-parameter scaling term; 3) The compute-optimal data-parameter allocation for CPT markedly differs based on our estimated scaling factors; 4) The effectiveness of transfer at scale is influenced by training duration and linguistic properties, while robust to data replaying, a method that effectively mitigates catastrophic forgetting in CPT. We hope our findings provide deeper insights into the transferability of LLMs at scale for the research community.