Sherman
Abstract:This paper presents LLaDA2.0 -- a tuple of discrete diffusion large language models (dLLM) scaling up to 100B total parameters through systematic conversion from auto-regressive (AR) models -- establishing a new paradigm for frontier-scale deployment. Instead of costly training from scratch, LLaDA2.0 upholds knowledge inheritance, progressive adaption and efficiency-aware design principle, and seamless converts a pre-trained AR model into dLLM with a novel 3-phase block-level WSD based training scheme: progressive increasing block-size in block diffusion (warm-up), large-scale full-sequence diffusion (stable) and reverting back to compact-size block diffusion (decay). Along with post-training alignment with SFT and DPO, we obtain LLaDA2.0-mini (16B) and LLaDA2.0-flash (100B), two instruction-tuned Mixture-of-Experts (MoE) variants optimized for practical deployment. By preserving the advantages of parallel decoding, these models deliver superior performance and efficiency at the frontier scale. Both models were open-sourced.
Abstract:Multi-head attention (MHA) has become the cornerstone of modern large language models, enhancing representational capacity through parallel attention heads. However, increasing the number of heads inherently weakens individual head capacity, and existing attention mechanisms - whether standard MHA or its variants like grouped-query attention (GQA) and grouped-tied attention (GTA) - simply concatenate outputs from isolated heads without strong interaction. To address this limitation, we propose knocking-heads attention (KHA), which enables attention heads to "knock" on each other - facilitating cross-head feature-level interactions before the scaled dot-product attention. This is achieved by applying a shared, diagonally-initialized projection matrix across all heads. The diagonal initialization preserves head-specific specialization at the start of training while allowing the model to progressively learn integrated cross-head representations. KHA adds only minimal parameters and FLOPs and can be seamlessly integrated into MHA, GQA, GTA, and other attention variants. We validate KHA by training a 6.1B parameter MoE model (1.01B activated) on 1T high-quality tokens. Compared to baseline attention mechanisms, KHA brings superior and more stable training dynamics, achieving better performance across downstream tasks.




Abstract:Current instruction-based image editing (IBIE) methods struggle with challenging editing tasks, as both editing types and sample counts of existing datasets are limited. Moreover, traditional dataset construction often contains noisy image-caption pairs, which may introduce biases and limit model capabilities in complex editing scenarios. To address these limitations, we introduce MultiEdit, a comprehensive dataset featuring over 107K high-quality image editing samples. It encompasses 6 challenging editing tasks through a diverse collection of 18 non-style-transfer editing types and 38 style transfer operations, covering a spectrum from sophisticated style transfer to complex semantic operations like person reference editing and in-image text editing. We employ a novel dataset construction pipeline that utilizes two multi-modal large language models (MLLMs) to generate visual-adaptive editing instructions and produce high-fidelity edited images, respectively. Extensive experiments demonstrate that fine-tuning foundational open-source models with our MultiEdit-Train set substantially improves models' performance on sophisticated editing tasks in our proposed MultiEdit-Test benchmark, while effectively preserving their capabilities on the standard editing benchmark. We believe MultiEdit provides a valuable resource for advancing research into more diverse and challenging IBIE capabilities. Our dataset is available at https://huggingface.co/datasets/inclusionAI/MultiEdit.
Abstract:The Mixture of Experts (MoE) architecture is a cornerstone of modern state-of-the-art (SOTA) large language models (LLMs). MoE models facilitate scalability by enabling sparse parameter activation. However, traditional MoE architecture uses homogeneous experts of a uniform size, activating a fixed number of parameters irrespective of input complexity and thus limiting computational efficiency. To overcome this limitation, we introduce Grove MoE, a novel architecture incorporating experts of varying sizes, inspired by the heterogeneous big.LITTLE CPU architecture. This architecture features novel adjugate experts with a dynamic activation mechanism, enabling model capacity expansion while maintaining manageable computational overhead. Building on this architecture, we present GroveMoE-Base and GroveMoE-Inst, 33B-parameter LLMs developed by applying an upcycling strategy to the Qwen3-30B-A3B-Base model during mid-training and post-training. GroveMoE models dynamically activate 3.14-3.28B parameters based on token complexity and achieve performance comparable to SOTA open-source models of similar or even larger size.
Abstract:The Mixture-of-Experts (MoE) architecture has become a predominant paradigm for scaling large language models (LLMs). Despite offering strong performance and computational efficiency, large MoE-based LLMs like DeepSeek-V3-0324 and Kimi-K2-Instruct present serious challenges due to substantial memory requirements in deployment. While recent works have explored MoE compression to address this issue, existing methods often suffer from considerable accuracy drops (e.g., 7-14% relatively) even at modest compression rates. This paper introduces a novel Mixture-of-Basis-Experts (MoBE) method that achieves model compression while incurring minimal accuracy drops. Specifically, each up/gate matrix in an expert is decomposed via a rank decomposition as W = AB, where matrix A is unique to each expert. The relatively larger matrix B is further re-parameterized as a linear combination of basis matrices {Bi} shared across all experts within a given MoE layer. The factorization is learned by minimizing the reconstruction error relative to the original weight matrices. Experiments demonstrate that MoBE achieves notably lower accuracy drops compared to prior works. For instance, MoBE can reduce the parameter counts of Qwen3-235B-A22B-2507, DeepSeek-V3-0324 (671B) and Kimi-K2-Instruct (1T) by 24%-30% with only 1%-2% accuracy drop (about 2% drops when measured relatively).




Abstract:Neural Image Compression (NIC) has revolutionized image compression with its superior rate-distortion performance and multi-task capabilities, supporting both human visual perception and machine vision tasks. However, its widespread adoption is hindered by substantial computational demands. While existing approaches attempt to address this challenge through module-specific optimizations or pre-defined complexity levels, they lack comprehensive control over computational complexity. We present ABC (Adaptive BayesNet structure learning for computational scalable multi-task image Compression), a novel, comprehensive framework that achieves computational scalability across all NIC components through Bayesian network (BayesNet) structure learning. ABC introduces three key innovations: (i) a heterogeneous bipartite BayesNet (inter-node structure) for managing neural backbone computations; (ii) a homogeneous multipartite BayesNet (intra-node structure) for optimizing autoregressive unit processing; and (iii) an adaptive control module that dynamically adjusts the BayesNet structure based on device capabilities, input data complexity, and downstream task requirements. Experiments demonstrate that ABC enables full computational scalability with better complexity adaptivity and broader complexity control span, while maintaining competitive compression performance. Furthermore, the framework's versatility allows integration with various NIC architectures that employ BayesNet representations, making it a robust solution for ensuring computational scalability in NIC applications. Code is available in https://github.com/worldlife123/cbench_BaSIC.




Abstract:Recent advances in Large Language Models (LLMs) have shown promise in function-level code generation, yet repository-level software engineering tasks remain challenging. Current solutions predominantly rely on proprietary LLM agents, which introduce unpredictability and limit accessibility, raising concerns about data privacy and model customization. This paper investigates whether open-source LLMs can effectively address repository-level tasks without requiring agent-based approaches. We demonstrate this is possible by enabling LLMs to comprehend functions and files within codebases through their semantic information and structural dependencies. To this end, we introduce Code Graph Models (CGMs), which integrate repository code graph structures into the LLM's attention mechanism and map node attributes to the LLM's input space using a specialized adapter. When combined with an agentless graph RAG framework, our approach achieves a 43.00% resolution rate on the SWE-bench Lite benchmark using the open-source Qwen2.5-72B model. This performance ranks first among open weight models, second among methods with open-source systems, and eighth overall, surpassing the previous best open-source model-based method by 12.33%.




Abstract:Large language models (LLMs) excel at processing long sequences, boosting demand for key-value (KV) caching. While recent efforts to evict KV cache have alleviated the inference burden, they often fail to allocate resources rationally across layers with different attention patterns. In this paper, we introduce Cascading and Adaptive KV cache Eviction (CAKE), a novel approach that frames KV cache eviction as a "cake-slicing problem." CAKE assesses layer-specific preferences by considering attention dynamics in both spatial and temporal dimensions, allocates rational cache size for layers accordingly, and manages memory constraints in a cascading manner. This approach enables a global view of cache allocation, adaptively distributing resources across diverse attention mechanisms while maintaining memory budgets. CAKE also employs a new eviction indicator that considers the shifting importance of tokens over time, addressing limitations in existing methods that overlook temporal dynamics. Comprehensive experiments on LongBench and NeedleBench show that CAKE maintains model performance with only 3.2% of the KV cache and consistently outperforms current baselines across various models and memory constraints, particularly in low-memory settings. Additionally, CAKE achieves over 10x speedup in decoding latency compared to full cache when processing contexts of 128K tokens with FlashAttention-2. Our code is available at https://github.com/antgroup/cakekv.




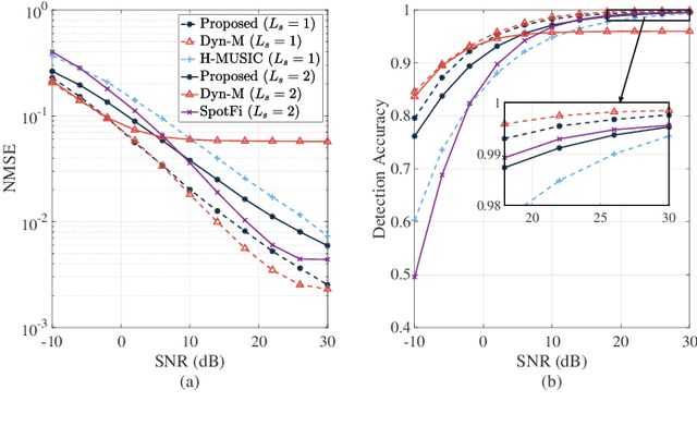
Abstract:Perceptive mobile networks (PMNs), integrating ubiquitous sensing capabilities into mobile networks, represent an important application of integrated sensing and communication (ISAC) in 6G. In this paper, we propose a practical framework for uplink sensing of angle-of-arrival (AoA), Doppler, and delay in millimeter-wave (mmWave) communication systems, which addresses challenges posed by clock asynchrony and hybrid arrays, while being compatible with existing communication protocols. We first introduce a beam scanning method and a corresponding AoA estimation algorithm, which utilizes frequency smoothing to effectively estimate AoAs for both static and dynamic paths. We then propose several methods for constructing a ``clean'' reference signal, which is subsequently used to cancel the effect caused by the clock asynchrony. We further develop a signal ratio-based joint AoA-Doppler-delay estimator and propose an AoA-based 2D-FFT-MUSIC (AB2FM) algorithm that applies 2D-FFT operations on the signal subspace, which accelerates the computation process with low complexity. Our proposed framework can estimate parameters in pairs, removing the complicated parameter association process. Simulation results validate the effectiveness of our proposed framework and demonstrate its robustness in both low and high signal-to-noise ratio (SNR) conditions.




Abstract:In this technical report, we tackle the challenges of training large-scale Mixture of Experts (MoE) models, focusing on overcoming cost inefficiency and resource limitations prevalent in such systems. To address these issues, we present two differently sized MoE large language models (LLMs), namely Ling-Lite and Ling-Plus (referred to as "Bailing" in Chinese, spelled B\v{a}il\'ing in Pinyin). Ling-Lite contains 16.8 billion parameters with 2.75 billion activated parameters, while Ling-Plus boasts 290 billion parameters with 28.8 billion activated parameters. Both models exhibit comparable performance to leading industry benchmarks. This report offers actionable insights to improve the efficiency and accessibility of AI development in resource-constrained settings, promoting more scalable and sustainable technologies. Specifically, to reduce training costs for large-scale MoE models, we propose innovative methods for (1) optimization of model architecture and training processes, (2) refinement of training anomaly handling, and (3) enhancement of model evaluation efficiency. Additionally, leveraging high-quality data generated from knowledge graphs, our models demonstrate superior capabilities in tool use compared to other models. Ultimately, our experimental findings demonstrate that a 300B MoE LLM can be effectively trained on lower-performance devices while achieving comparable performance to models of a similar scale, including dense and MoE models. Compared to high-performance devices, utilizing a lower-specification hardware system during the pre-training phase demonstrates significant cost savings, reducing computing costs by approximately 20%. The models can be accessed at https://huggingface.co/inclusionAI.