



Abstract:Capturing the inter-dependencies among multiple types of clinically-critical events is critical not only to accurate future event prediction, but also to better treatment planning. In this work, we propose a deep latent state-space generative model to capture the interactions among different types of correlated clinical events (e.g., kidney failure, mortality) by explicitly modeling the temporal dynamics of patients' latent states. Based on these learned patient states, we further develop a new general discrete-time formulation of the hazard rate function to estimate the survival distribution of patients with significantly improved accuracy. Extensive evaluations over real EMR data show that our proposed model compares favorably to various state-of-the-art baselines. Furthermore, our method also uncovers meaningful insights about the latent correlations among mortality and different types of organ failures.




Abstract:Excellence in a wide variety of medical applications poses considerable challenges for AI, requiring advanced reasoning, access to up-to-date medical knowledge and understanding of complex multimodal data. Gemini models, with strong general capabilities in multimodal and long-context reasoning, offer exciting possibilities in medicine. Building on these core strengths of Gemini, we introduce Med-Gemini, a family of highly capable multimodal models that are specialized in medicine with the ability to seamlessly use web search, and that can be efficiently tailored to novel modalities using custom encoders. We evaluate Med-Gemini on 14 medical benchmarks, establishing new state-of-the-art (SoTA) performance on 10 of them, and surpass the GPT-4 model family on every benchmark where a direct comparison is viable, often by a wide margin. On the popular MedQA (USMLE) benchmark, our best-performing Med-Gemini model achieves SoTA performance of 91.1% accuracy, using a novel uncertainty-guided search strategy. On 7 multimodal benchmarks including NEJM Image Challenges and MMMU (health & medicine), Med-Gemini improves over GPT-4V by an average relative margin of 44.5%. We demonstrate the effectiveness of Med-Gemini's long-context capabilities through SoTA performance on a needle-in-a-haystack retrieval task from long de-identified health records and medical video question answering, surpassing prior bespoke methods using only in-context learning. Finally, Med-Gemini's performance suggests real-world utility by surpassing human experts on tasks such as medical text summarization, alongside demonstrations of promising potential for multimodal medical dialogue, medical research and education. Taken together, our results offer compelling evidence for Med-Gemini's potential, although further rigorous evaluation will be crucial before real-world deployment in this safety-critical domain.




Abstract:Overparameterized large-scale language models have impressive generalization performance of in-context few-shot learning. However, most language models allocate the same amount of parameters or computation to each token, disregarding the complexity or importance of the input data. We argue that in language model pretraining, a variable amount of computation should be assigned to different tokens, and this can be efficiently achieved via a simple routing mechanism. Different from conventional early stopping techniques where tokens can early exit at only early layers, we propose a more general method that dynamically skips the execution of a layer (or module) for any input token with a binary router. In our extensive evaluation across 24 NLP tasks, we demonstrate that the proposed method can significantly improve the 1-shot performance compared to other competitive baselines only at mild extra cost for inference.




Abstract:Transformers are central to recent successes in natural language processing and computer vision. Transformers have a mostly uniform backbone where layers alternate between feed-forward and self-attention in order to build a deep network. Here we investigate this design choice and find that more complex blocks that have different permutations of layer primitives can be more efficient. Using this insight, we develop a complex block, named Brainformer, that consists of a diverse sets of layers such as sparsely gated feed-forward layers, dense feed-forward layers, attention layers, and various forms of layer normalization and activation functions. Brainformer consistently outperforms the state-of-the-art dense and sparse Transformers, in terms of both quality and efficiency. A Brainformer model with 8 billion activated parameters per token demonstrates 2x faster training convergence and 5x faster step time compared to its GLaM counterpart. In downstream task evaluation, Brainformer also demonstrates a 3% higher SuperGLUE score with fine-tuning compared to GLaM with a similar number of activated parameters. Finally, Brainformer largely outperforms a Primer dense model derived with NAS with similar computation per token on fewshot evaluations.




Abstract:The development of language models have moved from encoder-decoder to decoder-only designs. In addition, the common knowledge has it that the two most popular multimodal tasks, the generative and contrastive tasks, tend to conflict with one another, are hard to accommodate in one architecture, and further need complex adaptations for downstream tasks. We propose a novel paradigm of training with a decoder-only model for multimodal tasks, which is surprisingly effective in jointly learning of these disparate vision-language tasks. This is done with a simple model, called MaMMUT. It consists of a single vision encoder and a text decoder, and is able to accommodate contrastive and generative learning by a novel two-pass approach on the text decoder. We demonstrate that joint learning of these diverse objectives is simple, effective, and maximizes the weight-sharing of the model across these tasks. Furthermore, the same architecture enables straightforward extensions to open-vocabulary object detection and video-language tasks. The model tackles a diverse range of tasks, while being modest in capacity. Our model achieves the state of the art on image-text and text-image retrieval, video question answering and open-vocabulary detection tasks, outperforming much larger and more extensively trained foundational models. It shows very competitive results on VQA and Video Captioning, especially considering its capacity. Ablations confirm the flexibility and advantages of our approach.




Abstract:Successful and effective communication between humans and AI relies on a shared experience of the world. By training solely on written text, current language models (LMs) miss the grounded experience of humans in the real-world -- their failure to relate language to the physical world causes knowledge to be misrepresented and obvious mistakes in their reasoning. We present Mind's Eye, a paradigm to ground language model reasoning in the physical world. Given a physical reasoning question, we use a computational physics engine (DeepMind's MuJoCo) to simulate the possible outcomes, and then use the simulation results as part of the input, which enables language models to perform reasoning. Experiments on 39 tasks in a physics alignment benchmark demonstrate that Mind's Eye can improve reasoning ability by a large margin (27.9% zero-shot, and 46.0% few-shot absolute accuracy improvement on average). Smaller language models armed with Mind's Eye can obtain similar performance to models that are 100x larger. Finally, we confirm the robustness of Mind's Eye through ablation studies.




Abstract:We present LaMDA: Language Models for Dialog Applications. LaMDA is a family of Transformer-based neural language models specialized for dialog, which have up to 137B parameters and are pre-trained on 1.56T words of public dialog data and web text. While model scaling alone can improve quality, it shows less improvements on safety and factual grounding. We demonstrate that fine-tuning with annotated data and enabling the model to consult external knowledge sources can lead to significant improvements towards the two key challenges of safety and factual grounding. The first challenge, safety, involves ensuring that the model's responses are consistent with a set of human values, such as preventing harmful suggestions and unfair bias. We quantify safety using a metric based on an illustrative set of human values, and we find that filtering candidate responses using a LaMDA classifier fine-tuned with a small amount of crowdworker-annotated data offers a promising approach to improving model safety. The second challenge, factual grounding, involves enabling the model to consult external knowledge sources, such as an information retrieval system, a language translator, and a calculator. We quantify factuality using a groundedness metric, and we find that our approach enables the model to generate responses grounded in known sources, rather than responses that merely sound plausible. Finally, we explore the use of LaMDA in the domains of education and content recommendations, and analyze their helpfulness and role consistency.




Abstract:Scaling language models with more data, compute and parameters has driven significant progress in natural language processing. For example, thanks to scaling, GPT-3 was able to achieve strong results on in-context learning tasks. However, training these large dense models requires significant amounts of computing resources. In this paper, we propose and develop a family of language models named GLaM (Generalist Language Model), which uses a sparsely activated mixture-of-experts architecture to scale the model capacity while also incurring substantially less training cost compared to dense variants. The largest GLaM has 1.2 trillion parameters, which is approximately 7x larger than GPT-3. It consumes only 1/3 of the energy used to train GPT-3 and requires half of the computation flops for inference, while still achieving better overall zero-shot and one-shot performance across 29 NLP tasks.




Abstract:Despite deep neural network (DNN)'s impressive prediction performance in various domains, it is well known now that a set of DNN models trained with the same model specification and the same data can produce very different prediction results. Ensemble method is one state-of-the-art benchmark for prediction uncertainty estimation. However, ensembles are expensive to train and serve for web-scale traffic. In this paper, we seek to advance the understanding of prediction variation estimated by the ensemble method. Through empirical experiments on two widely used benchmark datasets MovieLens and Criteo in recommender systems, we observe that prediction variations come from various randomness sources, including training data shuffling, and parameter random initialization. By introducing more randomness into model training, we notice that ensemble's mean predictions tend to be more accurate while the prediction variations tend to be higher. Moreover, we propose to infer prediction variation from neuron activation strength and demonstrate the strong prediction power from activation strength features. Our experiment results show that the average R squared on MovieLens is as high as 0.56 and on Criteo is 0.81. Our method performs especially well when detecting the lowest and highest variation buckets, with 0.92 AUC and 0.89 AUC respectively. Our approach provides a simple way for prediction variation estimation, which opens up new opportunities for future work in many interesting areas (e.g.,model-based reinforcement learning) without relying on serving expensive ensemble models.


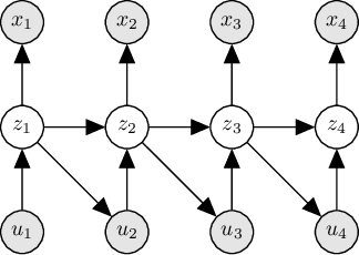
Abstract:Clinical forecasting based on electronic medical records (EMR) can uncover the temporal correlations between patients' conditions and outcomes from sequences of longitudinal clinical measurements. In this work, we propose an intervention-augmented deep state space generative model to capture the interactions among clinical measurements and interventions by explicitly modeling the dynamics of patients' latent states. Based on this model, we are able to make a joint prediction of the trajectories of future observations and interventions. Empirical evaluations show that our proposed model compares favorably to several state-of-the-art methods on real EMR data.