



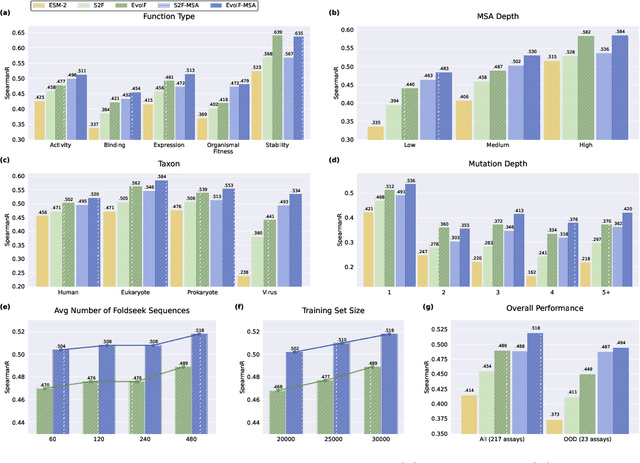
Abstract:Predicting the fitness impact of mutations is central to protein engineering but constrained by limited assays relative to the size of sequence space. Protein language models (pLMs) trained with masked language modeling (MLM) exhibit strong zero-shot fitness prediction; we provide a unifying view by interpreting natural evolution as implicit reward maximization and MLM as inverse reinforcement learning (IRL), in which extant sequences act as expert demonstrations and pLM log-odds serve as fitness estimates. Building on this perspective, we introduce EvoIF, a lightweight model that integrates two complementary sources of evolutionary signal: (i) within-family profiles from retrieved homologs and (ii) cross-family structural-evolutionary constraints distilled from inverse folding logits. EvoIF fuses sequence-structure representations with these profiles via a compact transition block, yielding calibrated probabilities for log-odds scoring. On ProteinGym (217 mutational assays; >2.5M mutants), EvoIF and its MSA-enabled variant achieve state-of-the-art or competitive performance while using only 0.15% of the training data and fewer parameters than recent large models. Ablations confirm that within-family and cross-family profiles are complementary, improving robustness across function types, MSA depths, taxa, and mutation depths. The codes will be made publicly available at https://github.com/aim-uofa/EvoIF.

Abstract:Compositional Zero-Shot Learning (CZSL) aims to recognize unseen attribute-object compositions by learning prior knowledge of seen primitives, \textit{i.e.}, attributes and objects. Learning generalizable compositional representations in CZSL remains challenging due to the entangled nature of attributes and objects as well as the prevalence of long-tailed distributions in real-world data. Inspired by neuroscientific findings that imagination and perception share similar neural processes, we propose a novel approach called Debiased Feature Augmentation (DeFA) to address these challenges. The proposed DeFA integrates a disentangle-and-reconstruct framework for feature augmentation with a debiasing strategy. DeFA explicitly leverages the prior knowledge of seen attributes and objects by synthesizing high-fidelity composition features to support compositional generalization. Extensive experiments on three widely used datasets demonstrate that DeFA achieves state-of-the-art performance in both \textit{closed-world} and \textit{open-world} settings.

Abstract:Diffusion large language models (dLLMs) generate text through iterative denoising, yet current decoding strategies discard rich intermediate predictions in favor of the final output. Our work here reveals a critical phenomenon, temporal oscillation, where correct answers often emerge in the middle process, but are overwritten in later denoising steps. To address this issue, we introduce two complementary methods that exploit temporal consistency: 1) Temporal Self-Consistency Voting, a training-free, test-time decoding strategy that aggregates predictions across denoising steps to select the most consistent output; and 2) a post-training method termed Temporal Consistency Reinforcement, which uses Temporal Semantic Entropy (TSE), a measure of semantic stability across intermediate predictions, as a reward signal to encourage stable generations. Empirical results across multiple benchmarks demonstrate the effectiveness of our approach. Using the negative TSE reward alone, we observe a remarkable average improvement of 24.7% on the Countdown dataset over an existing dLLM. Combined with the accuracy reward, we achieve absolute gains of 2.0% on GSM8K, 4.3% on MATH500, 6.6% on SVAMP, and 25.3% on Countdown, respectively. Our findings underscore the untapped potential of temporal dynamics in dLLMs and offer two simple yet effective tools to harness them.

Abstract:Multimodal Large Language Models (MLLMs) pose unique safety challenges due to their integration of visual and textual data, thereby introducing new dimensions of potential attacks and complex risk combinations. In this paper, we begin with a detailed analysis aimed at disentangling risks through step-by-step reasoning within multimodal inputs. We find that systematic multimodal risk disentanglement substantially enhances the risk awareness of MLLMs. Via leveraging the strong discriminative abilities of multimodal risk disentanglement, we further introduce \textbf{DREAM} (\textit{\textbf{D}isentangling \textbf{R}isks to \textbf{E}nhance Safety \textbf{A}lignment in \textbf{M}LLMs}), a novel approach that enhances safety alignment in MLLMs through supervised fine-tuning and iterative Reinforcement Learning from AI Feedback (RLAIF). Experimental results show that DREAM significantly boosts safety during both inference and training phases without compromising performance on normal tasks (namely oversafety), achieving a 16.17\% improvement in the SIUO safe\&effective score compared to GPT-4V. The data and code are available at https://github.com/Kizna1ver/DREAM.

Abstract:This paper aims to address the challenge of hallucinations in Multimodal Large Language Models (MLLMs) particularly for dense image captioning tasks. To tackle the challenge, we identify the current lack of a metric that finely measures the caption quality in concept level. We hereby introduce HalFscore, a novel metric built upon the language graph and is designed to evaluate both the accuracy and completeness of dense captions at a granular level. Additionally, we identify the root cause of hallucination as the model's over-reliance on its language prior. To address this, we propose PerturboLLaVA, which reduces the model's reliance on the language prior by incorporating adversarially perturbed text during training. This method enhances the model's focus on visual inputs, effectively reducing hallucinations and producing accurate, image-grounded descriptions without incurring additional computational overhead. PerturboLLaVA significantly improves the fidelity of generated captions, outperforming existing approaches in handling multimodal hallucinations and achieving improved performance across general multimodal benchmarks.





Abstract:Compositional Zero-Shot Learning (CZSL) aims to recognize novel compositions of attributes and objects by leveraging knowledge learned from seen compositions. Recent approaches have explored the use of Vision-Language Models (VLMs) to align textual and visual modalities. These methods typically employ prompt engineering, parameter-tuning, and modality fusion to generate rich textual prototypes that serve as class prototypes for CZSL. However, the modality gap results in textual prototypes being unable to fully capture the optimal representations of all class prototypes, particularly those with fine-grained features, which can be directly obtained from the visual modality. In this paper, we propose a novel Dual-Modal Prototype Joint Learning framework for the CZSL task. Our approach, based on VLMs, introduces prototypes in both the textual and visual modalities. The textual prototype is optimized to capture broad conceptual information, aiding the model's generalization across unseen compositions. Meanwhile, the visual prototype is used to mitigate the classification errors caused by the modality gap and capture fine-grained details to distinguish images with similar appearances. To effectively optimize these prototypes, we design specialized decomposition modules and a joint learning strategy that enrich the features from both modalities. These prototypes not only capture key category information during training but also serve as crucial reference targets during inference. Experimental results demonstrate that our approach achieves state-of-the-art performance in the closed-world setting and competitive performance in the open-world setting across three publicly available CZSL benchmarks. These findings validate the effectiveness of our method in advancing compositional generalization.





Abstract:Compositional generalization is the capability of a model to understand novel compositions composed of seen concepts. There are multiple levels of novel compositions including phrase-phrase level, phrase-word level, and word-word level. Existing methods achieve promising compositional generalization, but the consistency of compositional generalization across multiple levels of novel compositions remains unexplored. The consistency refers to that a model should generalize to a phrase-phrase level novel composition, and phrase-word/word-word level novel compositions that can be derived from it simultaneously. In this paper, we propose a meta-learning based framework, for achieving consistent compositional generalization across multiple levels. The basic idea is to progressively learn compositions from simple to complex for consistency. Specifically, we divide the original training set into multiple validation sets based on compositional complexity, and introduce multiple meta-weight-nets to generate sample weights for samples in different validation sets. To fit the validation sets in order of increasing compositional complexity, we optimize the parameters of each meta-weight-net independently and sequentially in a multilevel optimization manner. We build a GQA-CCG dataset to quantitatively evaluate the consistency. Experimental results on visual question answering and temporal video grounding, demonstrate the effectiveness of the proposed framework. We release GQA-CCG at https://github.com/NeverMoreLCH/CCG.

Abstract:Recently, there have been explorations of generalist segmentation models that can effectively tackle a variety of image segmentation tasks within a unified in-context learning framework. However, these methods still struggle with task ambiguity in in-context segmentation, as not all in-context examples can accurately convey the task information. In order to address this issue, we present SINE, a simple image Segmentation framework utilizing in-context examples. Our approach leverages a Transformer encoder-decoder structure, where the encoder provides high-quality image representations, and the decoder is designed to yield multiple task-specific output masks to effectively eliminate task ambiguity. Specifically, we introduce an In-context Interaction module to complement in-context information and produce correlations between the target image and the in-context example and a Matching Transformer that uses fixed matching and a Hungarian algorithm to eliminate differences between different tasks. In addition, we have further perfected the current evaluation system for in-context image segmentation, aiming to facilitate a holistic appraisal of these models. Experiments on various segmentation tasks show the effectiveness of the proposed method.





Abstract:The Diffusion Model has not only garnered noteworthy achievements in the realm of image generation but has also demonstrated its potential as an effective pretraining method utilizing unlabeled data. Drawing from the extensive potential unveiled by the Diffusion Model in both semantic correspondence and open vocabulary segmentation, our work initiates an investigation into employing the Latent Diffusion Model for Few-shot Semantic Segmentation. Recently, inspired by the in-context learning ability of large language models, Few-shot Semantic Segmentation has evolved into In-context Segmentation tasks, morphing into a crucial element in assessing generalist segmentation models. In this context, we concentrate on Few-shot Semantic Segmentation, establishing a solid foundation for the future development of a Diffusion-based generalist model for segmentation. Our initial focus lies in understanding how to facilitate interaction between the query image and the support image, resulting in the proposal of a KV fusion method within the self-attention framework. Subsequently, we delve deeper into optimizing the infusion of information from the support mask and simultaneously re-evaluating how to provide reasonable supervision from the query mask. Based on our analysis, we establish a simple and effective framework named DiffewS, maximally retaining the original Latent Diffusion Model's generative framework and effectively utilizing the pre-training prior. Experimental results demonstrate that our method significantly outperforms the previous SOTA models in multiple settings.





Abstract:Large vision-language models (LVLMs) are ignorant of the up-to-date knowledge, such as LLaVA series, because they cannot be updated frequently due to the large amount of resources required, and therefore fail in many cases. For example, if a LVLM was released on January 2024, and it wouldn't know the detailed plot of the new movie Dune 2, which wasn't released until February 2024. To solve the problem, a promising solution is to provide LVLMs with up-to-date knowledge via internet search during inference, i.e., internet-augmented generation (IAG), which is already integrated in some closed-source commercial LVLMs such as GPT-4V. However, the specific mechanics underpinning them remain a mystery. In this paper, we propose a plug-and-play framework, for augmenting existing LVLMs in handling visual question answering (VQA) about up-to-date knowledge, dubbed UDKAG. A hierarchical filtering model is trained to effectively and efficiently find the most helpful content from the websites returned by a search engine to prompt LVLMs with up-to-date knowledge. To train the model and evaluate our framework's performance, we propose a pipeline to automatically generate news-related VQA samples to construct a dataset, dubbed UDK-VQA. A multi-model voting mechanism is introduced to label the usefulness of website/content for VQA samples to construct the training set. Experimental results demonstrate the effectiveness of our framework, outperforming GPT-4V by about 25% in accuracy.
