Abstract:Effectively applying Vision-Language Models (VLMs) to Video Question Answering (VideoQA) hinges on selecting a concise yet comprehensive set of frames, as processing entire videos is computationally infeasible. However, current frame selection methods face a critical trade-off: approaches relying on lightweight similarity models, such as CLIP, often fail to capture the nuances of complex queries, resulting in inaccurate similarity scores that cannot reflect the authentic query-frame relevance, which further undermines frame selection. Meanwhile, methods that leverage a VLM for deeper analysis achieve higher accuracy but incur prohibitive computational costs. To address these limitations, we propose A.I.R., a training-free approach for Adaptive, Iterative, and Reasoning-based frame selection. We leverage a powerful VLM to perform deep, semantic analysis on complex queries, and this analysis is deployed within a cost-effective iterative loop that processes only a small batch of the most high-potential frames at a time. Extensive experiments on various VideoQA benchmarks demonstrate that our approach outperforms existing frame selection methods, significantly boosts the performance of the foundation VLM, and achieves substantial gains in computational efficiency over other VLM-based techniques.




Abstract:Temporal awareness is essential for video large language models (LLMs) to understand and reason about events within long videos, enabling applications like dense video captioning and temporal video grounding in a unified system. However, the scarcity of long videos with detailed captions and precise temporal annotations limits their temporal awareness. In this paper, we propose Seq2Time, a data-oriented training paradigm that leverages sequences of images and short video clips to enhance temporal awareness in long videos. By converting sequence positions into temporal annotations, we transform large-scale image and clip captioning datasets into sequences that mimic the temporal structure of long videos, enabling self-supervised training with abundant time-sensitive data. To enable sequence-to-time knowledge transfer, we introduce a novel time representation that unifies positional information across image sequences, clip sequences, and long videos. Experiments demonstrate the effectiveness of our method, achieving a 27.6% improvement in F1 score and 44.8% in CIDEr on the YouCook2 benchmark and a 14.7% increase in recall on the Charades-STA benchmark compared to the baseline.




Abstract:In this paper, we introduce Motion-Grounded Video Reasoning, a new motion understanding task that requires generating visual answers (video segmentation masks) according to the input question, and hence needs implicit spatiotemporal reasoning and grounding. This task extends existing spatiotemporal grounding work focusing on explicit action/motion grounding, to a more general format by enabling implicit reasoning via questions. To facilitate the development of the new task, we collect a large-scale dataset called GROUNDMORE, which comprises 1,715 video clips, 249K object masks that are deliberately designed with 4 question types (Causal, Sequential, Counterfactual, and Descriptive) for benchmarking deep and comprehensive motion reasoning abilities. GROUNDMORE uniquely requires models to generate visual answers, providing a more concrete and visually interpretable response than plain texts. It evaluates models on both spatiotemporal grounding and reasoning, fostering to address complex challenges in motion-related video reasoning, temporal perception, and pixel-level understanding. Furthermore, we introduce a novel baseline model named Motion-Grounded Video Reasoning Assistant (MORA). MORA incorporates the multimodal reasoning ability from the Multimodal LLM, the pixel-level perception capability from the grounding model (SAM), and the temporal perception ability from a lightweight localization head. MORA achieves respectable performance on GROUNDMORE outperforming the best existing visual grounding baseline model by an average of 21.5% relatively. We hope this novel and challenging task will pave the way for future advancements in robust and general motion understanding via video reasoning segmentation




Abstract:Interactive segmentation aims to accurately segment target objects with minimal user interactions. However, current methods often fail to accurately separate target objects from the background, due to a limited understanding of order, the relative depth between objects in a scene. To address this issue, we propose OIS: order-aware interactive segmentation, where we explicitly encode the relative depth between objects into order maps. We introduce a novel order-aware attention, where the order maps seamlessly guide the user interactions (in the form of clicks) to attend to the image features. We further present an object-aware attention module to incorporate a strong object-level understanding to better differentiate objects with similar order. Our approach allows both dense and sparse integration of user clicks, enhancing both accuracy and efficiency as compared to prior works. Experimental results demonstrate that OIS achieves state-of-the-art performance, improving mIoU after one click by 7.61 on the HQSeg44K dataset and 1.32 on the DAVIS dataset as compared to the previous state-of-the-art SegNext, while also doubling inference speed compared to current leading methods. The project page is https://ukaukaaaa.github.io/projects/OIS/index.html
Abstract:Reasoning over sports videos for question answering is an important task with numerous applications, such as player training and information retrieval. However, this task has not been explored due to the lack of relevant datasets and the challenging nature it presents. Most datasets for video question answering (VideoQA) focus mainly on general and coarse-grained understanding of daily-life videos, which is not applicable to sports scenarios requiring professional action understanding and fine-grained motion analysis. In this paper, we introduce the first dataset, named Sports-QA, specifically designed for the sports VideoQA task. The Sports-QA dataset includes various types of questions, such as descriptions, chronologies, causalities, and counterfactual conditions, covering multiple sports. Furthermore, to address the characteristics of the sports VideoQA task, we propose a new Auto-Focus Transformer (AFT) capable of automatically focusing on particular scales of temporal information for question answering. We conduct extensive experiments on Sports-QA, including baseline studies and the evaluation of different methods. The results demonstrate that our AFT achieves state-of-the-art performance.
Abstract:Cross-modal distillation has been widely used to transfer knowledge across different modalities, enriching the representation of the target unimodal one. Recent studies highly relate the temporal synchronization between vision and sound to the semantic consistency for cross-modal distillation. However, such semantic consistency from the synchronization is hard to guarantee in unconstrained videos, due to the irrelevant modality noise and differentiated semantic correlation. To this end, we first propose a \textit{Modality Noise Filter} (MNF) module to erase the irrelevant noise in teacher modality with cross-modal context. After this purification, we then design a \textit{Contrastive Semantic Calibration} (CSC) module to adaptively distill useful knowledge for target modality, by referring to the differentiated sample-wise semantic correlation in a contrastive fashion. Extensive experiments show that our method could bring a performance boost compared with other distillation methods in both visual action recognition and video retrieval task. We also extend to the audio tagging task to prove the generalization of our method. The source code is available at \href{https://github.com/GeWu-Lab/cross-modal-distillation}{https://github.com/GeWu-Lab/cross-modal-distillation}.




Abstract:The goal of building a benchmark (suite of datasets) is to provide a unified protocol for fair evaluation and thus facilitate the evolution of a specific area. Nonetheless, we point out that existing protocols of action recognition could yield partial evaluations due to several limitations. To comprehensively probe the effectiveness of spatiotemporal representation learning, we introduce BEAR, a new BEnchmark on video Action Recognition. BEAR is a collection of 18 video datasets grouped into 5 categories (anomaly, gesture, daily, sports, and instructional), which covers a diverse set of real-world applications. With BEAR, we thoroughly evaluate 6 common spatiotemporal models pre-trained by both supervised and self-supervised learning. We also report transfer performance via standard finetuning, few-shot finetuning, and unsupervised domain adaptation. Our observation suggests that current state-of-the-art cannot solidly guarantee high performance on datasets close to real-world applications, and we hope BEAR can serve as a fair and challenging evaluation benchmark to gain insights on building next-generation spatiotemporal learners. Our dataset, code, and models are released at: https://github.com/AndongDeng/BEAR




Abstract:Correctly recognizing the behaviors of children with Autism Spectrum Disorder (ASD) is of vital importance for the diagnosis of Autism and timely early intervention. However, the observation and recording during the treatment from the parents of autistic children may not be accurate and objective. In such cases, automatic recognition systems based on computer vision and machine learning (in particular deep learning) technology can alleviate this issue to a large extent. Existing human action recognition models can now achieve persuasive performance on challenging activity datasets, e.g. daily activity, and sports activity. However, problem behaviors in children with ASD are very different from these general activities, and recognizing these problem behaviors via computer vision is less studied. In this paper, we first evaluate a strong baseline for action recognition, i.e. Video Swin Transformer, on two autism behaviors datasets (SSBD and ESBD) and show that it can achieve high accuracy and outperform the previous methods by a large margin, demonstrating the feasibility of vision-based problem behaviors recognition. Moreover, we propose language-assisted training to further enhance the action recognition performance. Specifically, we develop a two-branch multimodal deep learning framework by incorporating the "freely available" language description for each type of problem behavior. Experimental results demonstrate that incorporating additional language supervision can bring an obvious performance boost for the autism problem behaviors recognition task as compared to using the video information only (i.e. 3.49% improvement on ESBD and 1.46% on SSBD).




Abstract:Multimodal learning helps to comprehensively understand the world, by integrating different senses. Accordingly, multiple input modalities are expected to boost model performance, but we actually find that they are not fully exploited even when the multimodal model outperforms its uni-modal counterpart. Specifically, in this paper we point out that existing multimodal discriminative models, in which uniform objective is designed for all modalities, could remain under-optimized uni-modal representations, caused by another dominated modality in some scenarios, e.g., sound in blowing wind event, vision in drawing picture event, etc. To alleviate this optimization imbalance, we propose on-the-fly gradient modulation to adaptively control the optimization of each modality, via monitoring the discrepancy of their contribution towards the learning objective. Further, an extra Gaussian noise that changes dynamically is introduced to avoid possible generalization drop caused by gradient modulation. As a result, we achieve considerable improvement over common fusion methods on different multimodal tasks, and this simple strategy can also boost existing multimodal methods, which illustrates its efficacy and versatility. The source code is available at \url{https://github.com/GeWu-Lab/OGM-GE_CVPR2022}.




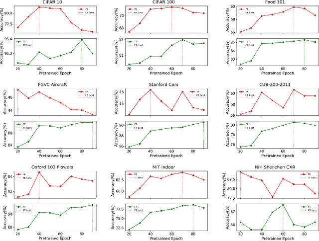
Abstract:Pre-training has been a popular learning paradigm in deep learning era, especially in annotation-insufficient scenario. Better ImageNet pre-trained models have been demonstrated, from the perspective of architecture, by previous research to have better transferability to downstream tasks. However, in this paper, we found that during the same pre-training process, models at middle epochs, which is inadequately pre-trained, can outperform fully trained models when used as feature extractors (FE), while the fine-tuning (FT) performance still grows with the source performance. This reveals that there is not a solid positive correlation between top-1 accuracy on ImageNet and the transferring result on target data. Based on the contradictory phenomenon between FE and FT that better feature extractor fails to be fine-tuned better accordingly, we conduct comprehensive analyses on features before softmax layer to provide insightful explanations. Our discoveries suggest that, during pre-training, models tend to first learn spectral components corresponding to large singular values and the residual components contribute more when fine-tuning.