Abstract:Accurate indoor localization is crucial in industrial environments. Visible Light Communication (VLC) has emerged as a promising solution, offering high accuracy, energy efficiency, and minimal electromagnetic interference. However, VLC-based indoor localization faces challenges due to environmental variability, such as lighting fluctuations and obstacles. To address these challenges, we propose a Transfer Learning (TL)-based approach for VLC-based indoor localization. Using real-world data collected at a BOSCH factory, the TL framework integrates a deep neural network (DNN) to improve localization accuracy by 47\%, reduce energy consumption by 32\%, and decrease computational time by 40\% compared to the conventional models. The proposed solution is highly adaptable under varying environmental conditions and achieves similar accuracy with only 30\% of the dataset, making it a cost-efficient and scalable option for industrial applications in Industry 4.0.
Abstract:Location information serves as the fundamental element for numerous Internet of Things (IoT) applications. Traditional indoor localization techniques often produce significant errors and raise privacy concerns due to centralized data collection. In response, Machine Learning (ML) techniques offer promising solutions by capturing indoor environment variations. However, they typically require central data aggregation, leading to privacy, bandwidth, and server reliability issues. To overcome these challenges, in this paper, we propose a Federated Learning (FL)-based approach for dynamic indoor localization using a Deep Neural Network (DNN) model. Experimental results show that FL has the nearby performance to Centralized Model (CL) while keeping the data privacy, bandwidth efficiency and server reliability. This research demonstrates that our proposed FL approach provides a viable solution for privacy-enhanced indoor localization, paving the way for advancements in secure and efficient indoor localization systems.
Abstract:Evaluating and iterating upon recommender systems is crucial, yet traditional A/B testing is resource-intensive, and offline methods struggle with dynamic user-platform interactions. While agent-based simulation is promising, existing platforms often lack a mechanism for user actions to dynamically reshape the environment. To bridge this gap, we introduce RecInter, a novel agent-based simulation platform for recommender systems featuring a robust interaction mechanism. In RecInter platform, simulated user actions (e.g., likes, reviews, purchases) dynamically update item attributes in real-time, and introduced Merchant Agents can reply, fostering a more realistic and evolving ecosystem. High-fidelity simulation is ensured through Multidimensional User Profiling module, Advanced Agent Architecture, and LLM fine-tuned on Chain-of-Thought (CoT) enriched interaction data. Our platform achieves significantly improved simulation credibility and successfully replicates emergent phenomena like Brand Loyalty and the Matthew Effect. Experiments demonstrate that this interaction mechanism is pivotal for simulating realistic system evolution, establishing our platform as a credible testbed for recommender systems research.
Abstract:We present a hardware-integrated security framework for LiFi networks through device fingerprint extraction within the IEEE 802.15.7 protocol. Our Optic Fingerprint (OFP) model utilizes inherent LED nonlinearities to generate amplitude-based feature vectors in time and frequency domains, specifically designed for optical wireless systems. Experimental results with 39 commercial LEDs demonstrate 90.36% classification accuracy across SNR 10-30 dB while maintaining standard compliance, offering a practical physical-layer authentication solution for visible light communication.
Abstract:Zero-shot Learning(ZSL) attains knowledge transfer from seen classes to unseen classes by exploring auxiliary category information, which is a promising yet difficult research topic. In this field, Audio-Visual Generalized Zero-Shot Learning~(AV-GZSL) has aroused researchers' great interest in which intricate relations within triple modalities~(audio, video, and natural language) render this task quite challenging but highly research-worthy. However, both existing embedding-based and generative-based AV-GZSL methods tend to suffer from domain shift problem a lot and we propose an extremely simple Out-of-distribution~(OOD) detection based AV-GZSL method~(EZ-AVOOD) to further mitigate bias problem by differentiating seen and unseen samples at the initial beginning. EZ-AVOOD accomplishes effective seen-unseen separation by exploiting the intrinsic discriminative information held in class-specific logits and class-agnostic feature subspace without training an extra OOD detector network. Followed by seen-unseen binary classification, we employ two expert models to classify seen samples and unseen samples separately. Compared to existing state-of-the-art methods, our model achieves superior ZSL and GZSL performances on three audio-visual datasets and becomes the new SOTA, which comprehensively demonstrates the effectiveness of the proposed EZ-AVOOD.
Abstract:EEG-based fatigue monitoring can effectively reduce the incidence of related traffic accidents. In the past decade, with the advancement of deep learning, convolutional neural networks (CNN) have been increasingly used for EEG signal processing. However, due to the data's non-Euclidean characteristics, existing CNNs may lose important spatial information from EEG, specifically channel correlation. Thus, we propose the node-holistic graph convolutional network (NHGNet), a model that uses graphic convolution to dynamically learn each channel's features. With exact fit attention optimization, the network captures inter-channel correlations through a trainable adjacency matrix. The interpretability is enhanced by revealing critical areas of brain activity and their interrelations in various mental states. In validations on two public datasets, NHGNet outperforms the SOTAs. Specifically, in the intra-subject, NHGNet improved detection accuracy by at least 2.34% and 3.42%, and in the inter-subjects, it improved by at least 2.09% and 15.06%. Visualization research on the model revealed that the central parietal area plays an important role in detecting fatigue levels, whereas the frontal and temporal lobes are essential for maintaining vigilance.




Abstract:Large language models (LLMs), endowed with exceptional reasoning capabilities, are adept at discerning profound user interests from historical behaviors, thereby presenting a promising avenue for the advancement of recommendation systems. However, a notable discrepancy persists between the sparse collaborative semantics typically found in recommendation systems and the dense token representations within LLMs. In our study, we propose a novel framework that harmoniously merges traditional recommendation models with the prowess of LLMs. We initiate this integration by transforming ItemIDs into sequences that align semantically with the LLMs space, through the proposed Alignment Tokenization module. Additionally, we design a series of specialized supervised learning tasks aimed at aligning collaborative signals with the subtleties of natural language semantics. To ensure practical applicability, we optimize online inference by pre-caching the top-K results for each user, reducing latency and improving effciency. Extensive experimental evidence indicates that our model markedly improves recall metrics and displays remarkable scalability of recommendation systems.




Abstract:The development of multimodal large language models (MLLMs) enables the evaluation of image quality through natural language descriptions. This advancement allows for more detailed assessments. However, these MLLM-based IQA methods primarily rely on general contextual descriptions, sometimes limiting fine-grained quality assessment. To address this limitation, we introduce a new image quality assessment (IQA) task paradigm, grounding-IQA. This paradigm integrates multimodal referring and grounding with IQA to realize more fine-grained quality perception. Specifically, grounding-IQA comprises two subtasks: grounding-IQA-description (GIQA-DES) and visual question answering (GIQA-VQA). GIQA-DES involves detailed descriptions with precise locations (e.g., bounding boxes), while GIQA-VQA focuses on quality QA for local regions. To realize grounding-IQA, we construct a corresponding dataset, GIQA-160K, through our proposed automated annotation pipeline. Furthermore, we develop a well-designed benchmark, GIQA-Bench. The benchmark comprehensively evaluates the model grounding-IQA performance from three perspectives: description quality, VQA accuracy, and grounding precision. Experiments demonstrate that our proposed task paradigm, dataset, and benchmark facilitate the more fine-grained IQA application. Code: https://github.com/zhengchen1999/Grounding-IQA.




Abstract:Binary feature descriptors have been widely used in various visual measurement tasks, particularly those with limited computing resources and storage capacities. Existing binary descriptors may not perform well for long-term visual measurement tasks due to their sensitivity to illumination variations. It can be observed that when image illumination changes dramatically, the relative relationship among local patches mostly remains intact. Based on the observation, consequently, this study presents an illumination-insensitive binary (IIB) descriptor by leveraging the local inter-patch invariance exhibited in multiple spatial granularities to deal with unfavorable illumination variations. By taking advantage of integral images for local patch feature computation, a highly efficient IIB descriptor is achieved. It can encode scalable features in multiple spatial granularities, thus facilitating a computationally efficient hierarchical matching from coarse to fine. Moreover, the IIB descriptor can also apply to other types of image data, such as depth maps and semantic segmentation results, when available in some applications. Numerical experiments on both natural and synthetic datasets reveal that the proposed IIB descriptor outperforms state-of-the-art binary descriptors and some testing float descriptors. The proposed IIB descriptor has also been successfully employed in a demo system for long-term visual localization. The code of the IIB descriptor will be publicly available.




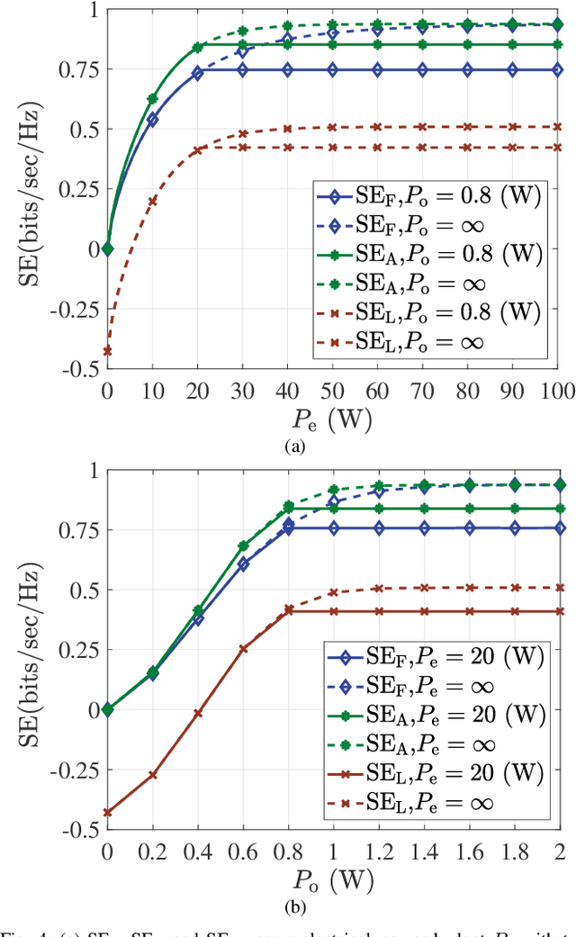
Abstract:The bound of the information transmission rate of direct current biased optical orthogonal frequency division multiplexing (DCO-OFDM) for visible light communication (VLC) with finite-alphabet inputs is yet unknown, where the corresponding spectral efficiency (SE) and energy efficiency (EE) stems out as the open research problems. In this paper, we derive the exact achievable rate of {the} DCO-OFDM system with finite-alphabet inputs for the first time. Furthermore, we investigate SE maximization problems of {the} DCO-OFDM system subject to both electrical and optical power constraints. By exploiting the relationship between the mutual information and the minimum mean-squared error, we propose a multi-level mercury-water-filling power allocation scheme to achieve the maximum SE. Moreover, the EE maximization problems of {the} DCO-OFDM system are studied, and the Dinkelbach-type power allocation scheme is developed for the maximum EE. Numerical results verify the effectiveness of the proposed theories and power allocation schemes.