Abstract:We present Ring-1T, the first open-source, state-of-the-art thinking model with a trillion-scale parameter. It features 1 trillion total parameters and activates approximately 50 billion per token. Training such models at a trillion-parameter scale introduces unprecedented challenges, including train-inference misalignment, inefficiencies in rollout processing, and bottlenecks in the RL system. To address these, we pioneer three interconnected innovations: (1) IcePop stabilizes RL training via token-level discrepancy masking and clipping, resolving instability from training-inference mismatches; (2) C3PO++ improves resource utilization for long rollouts under a token budget by dynamically partitioning them, thereby obtaining high time efficiency; and (3) ASystem, a high-performance RL framework designed to overcome the systemic bottlenecks that impede trillion-parameter model training. Ring-1T delivers breakthrough results across critical benchmarks: 93.4 on AIME-2025, 86.72 on HMMT-2025, 2088 on CodeForces, and 55.94 on ARC-AGI-v1. Notably, it attains a silver medal-level result on the IMO-2025, underscoring its exceptional reasoning capabilities. By releasing the complete 1T parameter MoE model to the community, we provide the research community with direct access to cutting-edge reasoning capabilities. This contribution marks a significant milestone in democratizing large-scale reasoning intelligence and establishes a new baseline for open-source model performance.
Abstract:Oral and maxillofacial radiology plays a vital role in dental healthcare, but radiographic image interpretation is limited by a shortage of trained professionals. While AI approaches have shown promise, existing dental AI systems are restricted by their single-modality focus, task-specific design, and reliance on costly labeled data, hindering their generalization across diverse clinical scenarios. To address these challenges, we introduce DentVFM, the first family of vision foundation models (VFMs) designed for dentistry. DentVFM generates task-agnostic visual representations for a wide range of dental applications and uses self-supervised learning on DentVista, a large curated dental imaging dataset with approximately 1.6 million multi-modal radiographic images from various medical centers. DentVFM includes 2D and 3D variants based on the Vision Transformer (ViT) architecture. To address gaps in dental intelligence assessment and benchmarks, we introduce DentBench, a comprehensive benchmark covering eight dental subspecialties, more diseases, imaging modalities, and a wide geographical distribution. DentVFM shows impressive generalist intelligence, demonstrating robust generalization to diverse dental tasks, such as disease diagnosis, treatment analysis, biomarker identification, and anatomical landmark detection and segmentation. Experimental results indicate DentVFM significantly outperforms supervised, self-supervised, and weakly supervised baselines, offering superior generalization, label efficiency, and scalability. Additionally, DentVFM enables cross-modality diagnostics, providing more reliable results than experienced dentists in situations where conventional imaging is unavailable. DentVFM sets a new paradigm for dental AI, offering a scalable, adaptable, and label-efficient model to improve intelligent dental healthcare and address critical gaps in global oral healthcare.
Abstract:Non-Intrusive Load Monitoring (NILM) offers a cost-effective method to obtain fine-grained appliance-level energy consumption in smart homes and building applications. However, the increasing adoption of behind-the-meter energy sources, such as solar panels and battery storage, poses new challenges for conventional NILM methods that rely solely on at-the-meter data. The injected energy from the behind-the-meter sources can obscure the power signatures of individual appliances, leading to a significant decline in NILM performance. To address this challenge, we present DualNILM, a deep multi-task learning framework designed for the dual tasks of appliance state recognition and injected energy identification in NILM. By integrating sequence-to-point and sequence-to-sequence strategies within a Transformer-based architecture, DualNILM can effectively capture multi-scale temporal dependencies in the aggregate power consumption patterns, allowing for accurate appliance state recognition and energy injection identification. We conduct validation of DualNILM using both self-collected and synthesized open NILM datasets that include both appliance-level energy consumption and energy injection. Extensive experimental results demonstrate that DualNILM maintains an excellent performance for the dual tasks in NILM, much outperforming conventional methods.
Abstract:Continual video instance segmentation demands both the plasticity to absorb new object categories and the stability to retain previously learned ones, all while preserving temporal consistency across frames. In this work, we introduce Contrastive Residual Injection and Semantic Prompting (CRISP), an earlier attempt tailored to address the instance-wise, category-wise, and task-wise confusion in continual video instance segmentation. For instance-wise learning, we model instance tracking and construct instance correlation loss, which emphasizes the correlation with the prior query space while strengthening the specificity of the current task query. For category-wise learning, we build an adaptive residual semantic prompt (ARSP) learning framework, which constructs a learnable semantic residual prompt pool generated by category text and uses an adjustive query-prompt matching mechanism to build a mapping relationship between the query of the current task and the semantic residual prompt. Meanwhile, a semantic consistency loss based on the contrastive learning is introduced to maintain semantic coherence between object queries and residual prompts during incremental training. For task-wise learning, to ensure the correlation at the inter-task level within the query space, we introduce a concise yet powerful initialization strategy for incremental prompts. Extensive experiments on YouTube-VIS-2019 and YouTube-VIS-2021 datasets demonstrate that CRISP significantly outperforms existing continual segmentation methods in the long-term continual video instance segmentation task, avoiding catastrophic forgetting and effectively improving segmentation and classification performance. The code is available at https://github.com/01upup10/CRISP.
Abstract:This work proposes a framework LGKDE that learns kernel density estimation for graphs. The key challenge in graph density estimation lies in effectively capturing both structural patterns and semantic variations while maintaining theoretical guarantees. Combining graph kernels and kernel density estimation (KDE) is a standard approach to graph density estimation, but has unsatisfactory performance due to the handcrafted and fixed features of kernels. Our method LGKDE leverages graph neural networks to represent each graph as a discrete distribution and utilizes maximum mean discrepancy to learn the graph metric for multi-scale KDE, where all parameters are learned by maximizing the density of graphs relative to the density of their well-designed perturbed counterparts. The perturbations are conducted on both node features and graph spectra, which helps better characterize the boundary of normal density regions. Theoretically, we establish consistency and convergence guarantees for LGKDE, including bounds on the mean integrated squared error, robustness, and complexity. We validate LGKDE by demonstrating its effectiveness in recovering the underlying density of synthetic graph distributions and applying it to graph anomaly detection across diverse benchmark datasets. Extensive empirical evaluation shows that LGKDE demonstrates superior performance compared to state-of-the-art baselines on most benchmark datasets.
Abstract:Non-intrusive Load Monitoring (NILM) aims to disaggregate aggregate household electricity consumption into individual appliance usage, enabling more effective energy management. While deep learning has advanced NILM, it remains limited by its dependence on labeled data, restricted generalization, and lack of interpretability. In this paper, we introduce the first prompt-based NILM framework that leverages Large Language Models (LLMs) with in-context learning. We design and evaluate prompt strategies that integrate appliance features, timestamps and contextual information, as well as representative time-series examples, using the REDD dataset. With optimized prompts, LLMs achieve competitive state detection accuracy, reaching an average F1-score of 0.676 on unseen households, and demonstrate robust generalization without the need for fine-tuning. LLMs also enhance interpretability by providing clear, human-readable explanations for their predictions. Our results show that LLMs can reduce data requirements, improve adaptability, and provide transparent energy disaggregation in NILM applications.
Abstract:The burgeoning presence of multimodal content-sharing platforms propels the development of personalized recommender systems. Previous works usually suffer from data sparsity and cold-start problems, and may fail to adequately explore semantic user-product associations from multimodal data. To address these issues, we propose a novel Multi-Modal Hypergraph Contrastive Learning (MMHCL) framework for user recommendation. For a comprehensive information exploration from user-product relations, we construct two hypergraphs, i.e. a user-to-user (u2u) hypergraph and an item-to-item (i2i) hypergraph, to mine shared preferences among users and intricate multimodal semantic resemblance among items, respectively. This process yields denser second-order semantics that are fused with first-order user-item interaction as complementary to alleviate the data sparsity issue. Then, we design a contrastive feature enhancement paradigm by applying synergistic contrastive learning. By maximizing/minimizing the mutual information between second-order (e.g. shared preference pattern for users) and first-order (information of selected items for users) embeddings of the same/different users and items, the feature distinguishability can be effectively enhanced. Compared with using sparse primary user-item interaction only, our MMHCL obtains denser second-order hypergraphs and excavates more abundant shared attributes to explore the user-product associations, which to a certain extent alleviates the problems of data sparsity and cold-start. Extensive experiments have comprehensively demonstrated the effectiveness of our method. Our code is publicly available at: https://github.com/Xu107/MMHCL.




Abstract:Chain-of-Thought (CoT) prompting enhances the reasoning of large language models (LLMs) by decomposing problems into sequential steps, mimicking human logic and reducing errors. However, complex tasks with vast solution spaces and vague constraints often exceed the capacity of a single reasoning chain. Inspired by Minimal Free Resolution (MFR) in commutative algebra and algebraic geometry, we propose Syzygy of Thoughts (SoT)-a novel framework that extends CoT by introducing auxiliary, interrelated reasoning paths. SoT captures deeper logical dependencies, enabling more robust and structured problem-solving. MFR decomposes a module into a sequence of free modules with minimal rank, providing a structured analytical approach to complex systems. This method introduces the concepts of "Module", "Betti numbers","Freeness", "Mapping", "Exactness" and "Minimality", enabling the systematic decomposition of the original complex problem into logically complete minimal subproblems while preserving key problem features and reducing reasoning length. We tested SoT across diverse datasets (e.g., GSM8K, MATH) and models (e.g., GPT-4o-mini, Qwen2.5), achieving inference accuracy that matches or surpasses mainstream CoTs standards. Additionally, by aligning the sampling process with algebraic constraints, our approach enhances the scalability of inference time in LLMs, ensuring both transparent reasoning and high performance. Our code will be publicly available at https://github.com/dlMARiA/Syzygy-of-thoughts.




Abstract:The burgeoning presence of Large Language Models (LLM) is propelling the development of personalized recommender systems. Most existing LLM-based methods fail to sufficiently explore the multi-view graph structure correlations inherent in recommendation scenarios. To this end, we propose a novel framework, Hypergraph Enhanced LLM Learning for multimodal Recommendation (HeLLM), designed to equip LLMs with the capability to capture intricate higher-order semantic correlations by fusing graph-level contextual signals with sequence-level behavioral patterns. In the recommender pre-training phase, we design a user hypergraph to uncover shared interest preferences among users and an item hypergraph to capture correlations within multimodal similarities among items. The hypergraph convolution and synergistic contrastive learning mechanism are introduced to enhance the distinguishability of learned representations. In the LLM fine-tuning phase, we inject the learned graph-structured embeddings directly into the LLM's architecture and integrate sequential features capturing each user's chronological behavior. This process enables hypergraphs to leverage graph-structured information as global context, enhancing the LLM's ability to perceive complex relational patterns and integrate multimodal information, while also modeling local temporal dynamics. Extensive experiments demonstrate the superiority of our proposed method over state-of-the-art baselines, confirming the advantages of fusing hypergraph-based context with sequential user behavior in LLMs for recommendation.




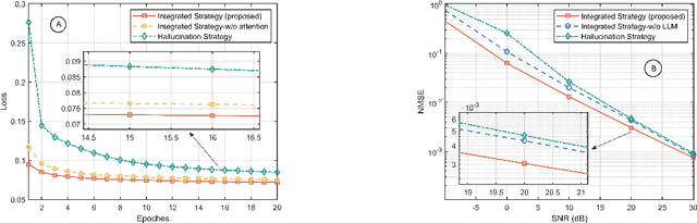
Abstract:Generative AI (GenAI) is driving the intelligence of wireless communications. Due to data limitations, random generation, and dynamic environments, GenAI may generate channel information or optimization strategies that violate physical laws or deviate from actual real-world requirements. We refer to this phenomenon as wireless hallucination, which results in invalid channel information, spectrum wastage, and low communication reliability but remains underexplored. To address this gap, this article provides a comprehensive concept of wireless hallucinations in GenAI-driven communications, focusing on hallucination mitigation. Specifically, we first introduce the fundamental, analyze its causes based on the GenAI workflow, and propose mitigation solutions at the data, model, and post-generation levels. Then, we systematically examines representative hallucination scenarios in GenAI-enabled communications and their corresponding solutions. Finally, we propose a novel integrated mitigation solution for GenAI-based channel estimation. At the data level, we establish a channel estimation hallucination dataset and employ generative adversarial networks (GANs)-based data augmentation. Additionally, we incorporate attention mechanisms and large language models (LLMs) to enhance both training and inference performance. Experimental results demonstrate that the proposed hybrid solutions reduce the normalized mean square error (NMSE) by 0.19, effectively reducing wireless hallucinations.