Sherman
Abstract:This paper introduces a sensing-centric joint communication and millimeter-wave radar paradigm to facilitate collaboration among intelligent vehicles. We first propose a chirp waveform-based delay-Doppler quadrature amplitude modulation (DD-QAM) that modulates data across delay, Doppler, and amplitude dimensions. Building upon this modulation scheme, we derive its achievable rate to quantify the communication performance. We then introduce an extended Kalman filter-based scheme for four-dimensional (4D) parameter estimation in dynamic environments, enabling the active vehicles to accurately estimate orientation and tangential-velocity beyond traditional 4D radar systems. Furthermore, in terms of communication, we propose a dual-compensation-based demodulation and tracking scheme that allows the passive vehicles to effectively demodulate data without compromising their sensing functions. Simulation results underscore the feasibility and superior performance of our proposed methods, marking a significant advancement in the field of autonomous vehicles. Simulation codes are provided to reproduce the results in this paper: \href{https://github.com/LiZhuoRan0/2026-IEEE-TWC-ChirpDelayDopplerModulationISAC}{https://github.com/LiZhuoRan0}.
Abstract:The pervasive threat of jamming attacks, particularly from adaptive jammers capable of optimizing their strategies, poses a significant challenge to the security and reliability of wireless communications. This paper addresses this issue by investigating anti-jamming communications empowered by an active reconfigurable intelligent surface. The strategic interaction between the legitimate system and the adaptive jammer is modeled as a Stackelberg game, where the legitimate user, acting as the leader, proactively designs its strategy while anticipating the jammer's optimal response. We prove the existence of the Stackelberg equilibrium and derive it using a backward induction method. Particularly, the jammer's optimal strategy is embedded into the leader's problem, resulting in a bi-level optimization that jointly considers legitimate transmit power, transmit/receive beamformers, and active reflection. We tackle this complex, non-convex problem by using a block coordinate descent framework, wherein subproblems are iteratively solved via convex relaxation and successive convex approximation techniques. Simulation results demonstrate the significant superiority of the proposed active RIS-assisted scheme in enhancing legitimate transmissions and degrading jamming effects compared to baseline schemes across various scenarios. These findings highlight the effectiveness of combining active RIS technology with a strategic game-theoretic framework for anti-jamming communications.




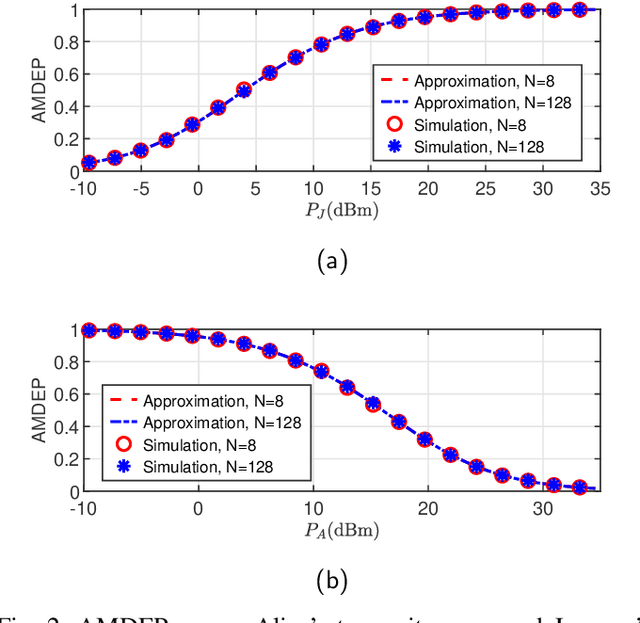
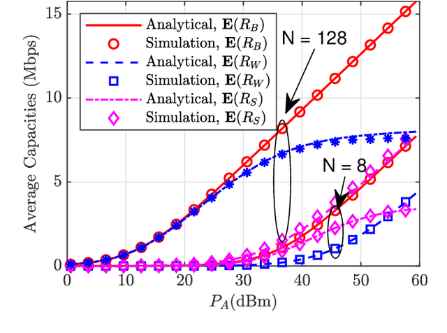
Abstract:In this paper, we propose a simultaneous secrecy and covert communications (SSACC) scheme in a reconfigurable intelligent surface (RIS)-aided network with a cooperative jammer. The scheme enhances communication security by maximizing the secrecy capacity and the detection error probability (DEP). Under a worst-case scenario for covert communications, we consider that the eavesdropper can optimally adjust the detection threshold to minimize the DEP. Accordingly, we derive closedform expressions for both average minimum DEP (AMDEP) and average secrecy capacity (ASC). To balance AMDEP and ASC, we propose a new performance metric and design an algorithm based on generative diffusion models (GDM) and deep reinforcement learning (DRL). The algorithm maximizes data rates under user mobility while ensuring high AMDEP and ASC by optimizing power allocation. Simulation results demonstrate that the proposed algorithm achieves faster convergence and superior performance compared to conventional deep deterministic policy gradient (DDPG) methods, thereby validating its effectiveness in balancing security and capacity performance.




Abstract:Integrated sensing and communication (ISAC) has emerged as a key development direction in the sixth-generation (6G) era, which provides essential support for the collaborative sensing and communication of future intelligent networks. However, as wireless environments become increasingly dynamic and complex, ISAC systems require more intelligent processing and more autonomous operation to maintain efficiency and adaptability. Meanwhile, agentic artificial intelligence (AI) offers a feasible solution to address these challenges by enabling continuous perception-reasoning-action loops in dynamic environments to support intelligent, autonomous, and efficient operation for ISAC systems. As such, we delve into the application value and prospects of agentic AI in ISAC systems in this work. Firstly, we provide a comprehensive review of agentic AI and ISAC systems to demonstrate their key characteristics. Secondly, we show several common optimization approaches for ISAC systems and highlight the significant advantages of generative artificial intelligence (GenAI)-based agentic AI. Thirdly, we propose a novel agentic ISAC framework and prensent a case study to verify its superiority in optimizing ISAC performance. Finally, we clarify future research directions for agentic AI-based ISAC systems.
Abstract:Accurate Channel State Information (CSI) is critical for Hybrid Beamforming (HBF) tasks. However, obtaining high-resolution CSI remains challenging in practical wireless communication systems. To address this issue, we propose to utilize Graph Neural Networks (GNNs) and score-based generative models to enable robust HBF under imperfect CSI conditions. Firstly, we develop the Hybrid Message Graph Attention Network (HMGAT) which updates both node and edge features through node-level and edge-level message passing. Secondly, we design a Bidirectional Encoder Representations from Transformers (BERT)-based Noise Conditional Score Network (NCSN) to learn the distribution of high-resolution CSI, facilitating CSI generation and data augmentation to further improve HMGAT's performance. Finally, we present a Denoising Score Network (DSN) framework and its instantiation, termed DeBERT, which can denoise imperfect CSI under arbitrary channel error levels, thereby facilitating robust HBF. Experiments on DeepMIMO urban datasets demonstrate the proposed models' superior generalization, scalability, and robustness across various HBF tasks with perfect and imperfect CSI.
Abstract:The increasing saturation of terrestrial resources has driven economic activities into low-altitude airspace. These activities, such as air taxis, rely on low-altitude wireless networks, and one key enabling technology is integrated sensing and communication (ISAC). However, in low-altitude airspace, ISAC is vulnerable to channel-access attacks, thereby degrading performance and threatening safety. To address this, we propose a defense framework based on a Stackelberg game. Specifically, we first model the system under attack, deriving metrics for the communication and the sensing to quantify performance. Then, we formulate the interaction as a three-player game where a malicious attacker acts as the leader, while the legitimate drone and ground base station act as followers. Using a backward induction algorithm, we obtain the Stackelberg equilibrium, allowing the defenders to dynamically adjust their strategies to mitigate the attack. Simulation results verify that the proposed algorithm converges to a stable solution and outperforms existing baselines, ensuring reliable ISAC performance for critical low-altitude applications.
Abstract:In next-generation wireless systems, providing location-based mobile computing services for energy-neutral devices has become a crucial objective for the provision of sustainable Internet of Things (IoT). Visible light positioning (VLP) has gained great research attention as a complementary method to radio frequency (RF) solutions since it can leverage ubiquitous lighting infrastructure. However, conventional VLP receivers often rely on photodetectors or cameras that are power-hungry, complex, and expensive. To address this challenge, we propose a hybrid indoor asset tracking system that integrates visible light communication (VLC) and backscatter communication (BC) within a simultaneous lightwave information and power transfer (SLIPT) framework. We design a low-complexity and energy-neutral IoT node, namely backscatter device (BD) which harvests energy from light-emitting diode (LED) access points, and then modulates and reflects ambient RF carriers to indicate its location within particular VLC cells. We present a multi-cell VLC deployment with frequency division multiplexing (FDM) method that mitigates interference among LED access points by assigning them distinct frequency pairs based on a four-color map scheduling principle. We develop a lightweight particle filter (PF) tracking algorithm at an edge RF reader, where the fusion of proximity reports and the received backscatter signal strength are employed to track the BD. Experimental results show that this approach achieves the positioning error of 0.318 m at 50th percentile and 0.634 m at 90th percentile, while avoiding the use of complex photodetectors and active RF synthesizing components at the energy-neutral IoT node. By demonstrating robust performance in multiple indoor trajectories, the proposed solution enables scalable, cost-effective, and energy-neutral indoor tracking for pervasive and edge-assisted IoT applications.




Abstract:The proliferation of Internet of Things (IoT) networks has created an urgent need for sustainable energy solutions, particularly for the battery-constrained spatially distributed IoT nodes. While low-altitude uncrewed aerial vehicles (UAVs) employed with wireless power transfer (WPT) capabilities offer a promising solution, the line-of-sight channels that facilitate efficient energy delivery also expose sensitive operational data to adversaries. This paper proposes a novel low-altitude UAV-carried movable antenna-enhanced transmission system joint WPT and covert communications, which simultaneously performs energy supplements to IoT nodes and establishes transmission links with a covert user by leveraging wireless energy signals as a natural cover. Then, we formulate a multi-objective optimization problem that jointly maximizes the total harvested energy of IoT nodes and sum achievable rate of the covert user, while minimizing the propulsion energy consumption of the low-altitude UAV. To address the non-convex and temporally coupled optimization problem, we propose a mixture-of-experts-augmented soft actor-critic (MoE-SAC) algorithm that employs a sparse Top-K gated mixture-of-shallow-experts architecture to represent multimodal policy distributions arising from the conflicting optimization objectives. We also incorporate an action projection module that explicitly enforces per-time-slot power budget constraints and antenna position constraints. Simulation results demonstrate that the proposed approach significantly outperforms some baseline approaches and other state-of-the-art deep reinforcement learning algorithms.
Abstract:This paper investigates a novel computation and communication co-design framework for large-scale split learning in intelligent reflecting surface (IRS)-assisted internet of things (IoT) networks integrated with digital twin (DT) technique. The considered system consists of a multi-antenna access point (AP), multiple heterogeneous user devices (UDs), and an deployed IRS to enhance both uplink and downlink transmission. The training process of a deep neural network is partitioned between devices and the AP, where a DT replica is activated to replace UDs with insufficient local computation capabilities. We formulate a delay-optimal split learning problem, which optimizes five key variables: layer partitioning points, DT assignment decisions, IRS phase shift matrix, AP downlink power allocation, and DT frequency adjustment, aiming to minimize the overall end-to-end delay under communication and computation. The proposed optimization problem is a highly coupled non-convex mixed-integer problem. Therefore, we solve using an alternating optimization approach combining closed-form updates, semidefinite relaxation (SDR), and low-complexity heuristics. Extensive simulations demonstrate that the proposed scheme significantly reduces training delay compared to conventional baselines and achieves up to 35\% delay improvement, especially under high UD density and stringent power constraints.
Abstract:Gaussian splatting (GS) struggles with degraded rendering quality on low-cost devices. To address this issue, we present edge collaborative GS (ECO-GS), where each user can switch between a local small GS model to guarantee timeliness and a remote large GS model to guarantee fidelity. However, deciding how to engage the large GS model is nontrivial, due to the interdependency between rendering requirements and resource conditions. To this end, we propose integrated rendering and communication (IRAC), which jointly optimizes collaboration status (i.e., deciding whether to engage large GS) and edge power allocation (i.e., enabling remote rendering) under communication constraints across different users by minimizing a newly-derived GS switching function. Despite the nonconvexity of the problem, we propose an efficient penalty majorization minimization (PMM) algorithm to obtain the critical point solution. Furthermore, we develop an imitation learning optimization (ILO) algorithm, which reduces the computational time by over 100x compared to PMM. Experiments demonstrate the superiority of PMM and the real-time execution capability of ILO.