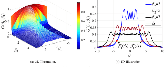
Abstract:In this paper, we propose to leverage rotatable antennas (RAs) for improving the communication performance in mixed near-field and far-field communication systems by exploiting a new spatial degree-of-freedom (DoF) offered by antenna rotation to mitigate complex near-field interference and mixed-field interference. Specifically, we investigate a modular RA-enabled mixed-field downlink communication system, where a base station (BS) consisting of multiple RA subarrays communicates with multiple near-field users in the presence of several legacy far-field users. We formulate an optimization problem to maximize the sum-rate of the near-field users by jointly optimizing the power allocation and rotation angles of all subarrays at the BS. To gain useful insights into the effect of RAs on mixed-field communications, we first analyze a special case where all subarrays share the same rotation angle and obtain closed-form expressions for the rotation-aware normalized near-field interference and the rotation-aware normalized mixed-field interference using the Fresnel integrals. We then analytically reveal that array rotation effectively suppresses both interference types, thereby significantly enhancing mixed-field communication performance. For the general case involving subarray-wise rotation, we propose an efficient double-layer algorithm to obtain a high-quality solution, where the inner layer optimizes power allocation using the successive convex approximation (SCA) technique, while the outer layer determines the rotation angles of all subarrays via particle swarm optimization (PSO). Finally, numerical results highlight the significant performance gains achieved by RAs over conventional fixed-antenna systems and demonstrate the effectiveness of our developed joint design compared to benchmark schemes.



Abstract:In this letter, we propose a joint frequency-space sparse reconstruction method for direction-of-arrival (DOA) estimation, which effectively addresses the issues arising from the existence of coherent sources and array amplitude-phase errors. Specifically, by using an auxiliary source with known angles, we first construct the real steering vectors (RSVs) based on the spectral peaks of received signals in the frequency domain, which serve as a complete basis matrix for compensation for amplitude-phase errors. Then, we leverage the spectral sparsity of snapshot data in the frequency domain and the spatial sparsity of incident directions to perform the DOA estimation according to the sparse reconstruction method. The proposed method does not require iterative optimization, hence exhibiting low computational complexity. Numerical results demonstrate that the proposed DOA estimation method achieves higher estimation accuracy for coherent sources as compared to various benchmark schemes.
Abstract:In this paper, we study a movable antenna (MA) empowered secure transmission scheme for reconfigurable intelligent surface (RIS) aided cell-free symbiotic radio (SR) system. Specifically, the MAs deployed at distributed access points (APs) work collaboratively with the RIS to establish high-quality propagation links for both primary and secondary transmissions, as well as suppressing the risk of eavesdropping on confidential primary information. We consider both continuous and discrete MA position cases and maximize the secrecy rate of primary transmission under the secondary transmission constraints, respectively. For the continuous position case, we propose a two-layer iterative optimization method based on differential evolution with one-in-one representation (DEO), to find a high-quality solution with relatively moderate computational complexity. For the discrete position case, we first extend the DEO based iterative framework by introducing the mapping and determination operations to handle the characteristic of discrete MA positions. To further reduce the computational complexity, we then design an alternating optimization (AO) iterative framework to solve all variables within a single layer. In particular, we develop an efficient strategy to derive the sub-optimal solution for the discrete MA positions, superseding the DEO-based method. Numerical results validate the effectiveness of the proposed MA empowered secure transmission scheme along with its optimization algorithms.



Abstract:In this paper, we propose a new frequency-switching array (FSA) enhanced physical-layer security (PLS) system in terahertz bands, where the carrier frequency can be flexibly switched and small frequency offsets can be imposed on each antenna at Alice, so as to eliminate information wiretapping by undesired eavesdroppers. First, we analytically show that by flexibly controlling the carrier frequency parameters, FSAs can effectively form uniform/non-uniform sparse arrays, hence resembling movable antennas (MAs) in the control of inter-antenna spacing and providing additional degree-of-freedom (DoF) in the beam control. Although the proposed FSA experiences additional path-gain attenuation in the received signals, it can overcome several hardware and signal processing issues incurred by MAs, such as limited positioning accuracy, considerable response latency, and demanding hardware and energy cost. To shed useful insights, we first consider a secrecy-guaranteed problem with a null-steering constraint for which maximum ratio transmission (MRT) beamformer is considered at Alice and the frequency offsets are set as uniform frequency increment. Interestingly, it is shown that the proposed FSA can flexibly realize null-steering over Eve in both the angular domain (by tuning carrier frequency) and range domain (by controlling per-antenna frequency offset), thereby achieving improved PLS performance. Then, for the general case, we propose an efficient algorithm to solve the formulated non-convex problem by using the block coordinate descent (BCD) and projected gradient ascent (PGA) techniques. Finally, numerical results demonstrate the convergence of the proposed optimization algorithm and its superiority over fixed-position arrays (FPAs) in terms of secrecy-rate performance.




Abstract:Extremely large-scale arrays (XL-arrays) have emerged as a promising technology to improve the spectrum efficiency and spatial resolution of future wireless systems. Different from existing works that mostly considered physical layer security (PLS) in either the far-field or near-field, we consider in this paper a new and practical scenario, where legitimate users (Bobs) are located in the far-field of a base station (BS) while eavesdroppers (Eves) are located in the near-field for intercepting confidential information at short distance, referred to as the mixed near-field and far-field PLS. Specifically, we formulate an optimization problem to maximize the sum-secrecy-rate of all Bobs by optimizing the power allocation of the BS, subject to the constraint on the total BS transmit power. To shed useful insights, we first consider a one-Bob-one-Eve system and characterize the insecure-transmission region of the Bob in closed form. Interestingly, we show that the insecure-transmission region is significantly \emph{expanded} as compared to that in conventional far-field PLS systems, due to the energy-spread effect in the mixed-field scenario. Then, we further extend the analysis to a two-Bob-one-Eve system. It is revealed that as compared to the one-Bob system, the interferences from the other Bob can be effectively used to weaken the capability of Eve for intercepting signals of target Bobs, thus leading to enhanced secrecy rates. Furthermore, we propose an efficient algorithm to obtain a high-quality solution to the formulated non-convex problem by leveraging the successive convex approximation (SCA) technique. Finally, numerical results demonstrate that our proposed algorithm achieves a higher sum-secrecy-rate than the benchmark scheme where the power allocation is designed based on the (simplified) far-field channel model.




Abstract:In this paper, we study the deployment optimization for an extremely large-scale intelligent reflecting surface (XL-IRS) assisted multi-user communication system, within which the channels between the XL-IRS and the BS (or user) are modeled by the near-field spherical wavefronts. To draw some valuable insights, we first consider the single-user case, where an alternating optimization (AO) based algorithm is devised to maximize the received signal-to-noise ratio (SNR) at the user. To address the high computational complexity issue incurred by the AO based algorithm, three approximate received SNR expressions are obtained to yield useful insights, corresponding to the upper bound, approximate expression, and closed-form. It is demonstrated that the XL-IRS ought to be positioned near the user (rather than the BS) to obtain a higher beamforming gain. Then, for the multi-user scenario, an efficient algorithm is proposed to obtain a high-quality XL-IRS placement solution by using the AO and successive convex approximation (SCA) techniques. Furthermore, the effective degree of freedom (DoF) of the BS-IRS channel is provided, which indicates that the additional effective DoF can be leveraged to improve multi-user spatial multiplexing. Last, numerical results confirm the existence of a trade-off between near-field beam-focusing gain and multiplexing gain.
Abstract:Integrated sensing and communication (ISAC) is one of the key usage scenarios for future sixth-generation (6G) mobile communication networks, where communication and sensing (C&S) services are simultaneously provided through shared wireless spectrum, signal processing modules, hardware, and network infrastructure. Such an integration is strengthened by the technology trends in 6G, such as denser network nodes, larger antenna arrays, wider bandwidths, higher frequency bands, and more efficient utilization of spectrum and hardware resources, which incentivize and empower enhanced sensing capabilities. As the dominant waveform used in contemporary communication systems, orthogonal frequency division multiplexing (OFDM) is still expected to be a very competitive technology for 6G, rendering it necessary to thoroughly investigate the potential and challenges of OFDM ISAC. Thus, this paper aims to provide a comprehensive tutorial overview of ISAC systems enabled by large-scale multi-input multi-output (MIMO) and OFDM technologies and to discuss their fundamental principles, advantages, and enabling signal processing methods. To this end, a unified MIMO-OFDM ISAC system model is first introduced, followed by four frameworks for estimating parameters across the spatial, delay, and Doppler domains, including parallel one-domain, sequential one-domain, joint two-domain, and joint three-domain parameter estimation. Next, sensing algorithms and performance analyses are presented in detail for far-field scenarios where uniform plane wave (UPW) propagation is valid, followed by their extensions to near-field scenarios where uniform spherical wave (USW) characteristics need to be considered. Finally, this paper points out open challenges and outlines promising avenues for future research on MIMO-OFDM ISAC.




Abstract:In this paper, we propose a super-resolution wideband beam training method for near-field communications, which is able to achieve ultra-low overhead. To this end, we first study the multi-beam characteristic of a sparse uniform linear array (S-ULA) in the wideband. Interestingly, we show that this leads to a new beam pattern property, called rainbow blocks, where the S-ULA generates multiple grating lobes and each grating lobe is further splitted into multiple versions in the wideband due to the well-known beam-split effect. As such, one directional beamformer based on S-ULA is capable of generating multiple rainbow blocks in the wideband, hence significantly extending the beam coverage. Then, by exploiting the beam-split effect in both the frequency and spatial domains, we propose a new three-stage wideband beam training method for extremely large-scale array (XL-array) systems. Specifically, we first sparsely activate a set of antennas at the central of the XL-array and judiciously design the time-delay (TD) parameters to estimate candidate user angles by comparing the received signal powers at the user over subcarriers. Next, to resolve the angular ambiguity introduced by the S-ULA, we activate all antennas in the central subarray and design an efficient subcarrier selection scheme to estimate the true user angle. In the third stage, we resolve the user range at the estimated user angle with high resolution by controlling the splitted beams over subcarriers to simultaneously cover the range domain. Finally, numerical results are provided to demonstrate the effectiveness of proposed wideband beam training scheme, which only needs three pilots in near-field beam training, while achieving near-optimal rate performance.
Abstract:The implementation of the conjugate gradient (CG) method for massive MIMO detection is computationally challenging, especially for a large number of users and correlated channels. In this paper, we propose a low computational complexity CG detection from a finite-precision perspective. First, we develop a finite-precision CG (FP-CG) detection to mitigate the computational bottleneck of each CG iteration and provide the attainable accuracy, convergence, and computational complexity analysis to reveal the impact of finite-precision arithmetic. A practical heuristic is presented to select suitable precisions. Then, to further reduce the number of iterations, we propose a joint finite-precision and block-Jacobi preconditioned CG (FP-BJ-CG) detection. The corresponding performance analysis is also provided. Finally, simulation results validate the theoretical insights and demonstrate the superiority of the proposed detection.
Abstract:In this paper, the problem of maximization of the minimum equivalent rate in a unmanned-aerial-vehicle (UAV)-based multi-user semantic communication system is investigated. In the considered model, a multi-antenna UAV employs semantic extraction techniques to compress the data ready to be sent to the users, which are equipped with fluid antennas. Our aim is to jointly optimize the trajectory of the UAV, the transmit beamforming and the semantic compression rate at the UAV, as well as the selection of activated ports in fluid antenna system (FAS), to maximize the minimum equivalent transmission rate among all user. An alternating algorithm is designed to solve the problem. Simulation results validate the effectiveness of the proposed algorithm.