Abstract:Non-Intrusive Load Monitoring (NILM) offers a cost-effective method to obtain fine-grained appliance-level energy consumption in smart homes and building applications. However, the increasing adoption of behind-the-meter energy sources, such as solar panels and battery storage, poses new challenges for conventional NILM methods that rely solely on at-the-meter data. The injected energy from the behind-the-meter sources can obscure the power signatures of individual appliances, leading to a significant decline in NILM performance. To address this challenge, we present DualNILM, a deep multi-task learning framework designed for the dual tasks of appliance state recognition and injected energy identification in NILM. By integrating sequence-to-point and sequence-to-sequence strategies within a Transformer-based architecture, DualNILM can effectively capture multi-scale temporal dependencies in the aggregate power consumption patterns, allowing for accurate appliance state recognition and energy injection identification. We conduct validation of DualNILM using both self-collected and synthesized open NILM datasets that include both appliance-level energy consumption and energy injection. Extensive experimental results demonstrate that DualNILM maintains an excellent performance for the dual tasks in NILM, much outperforming conventional methods.




Abstract:This work focuses on training graph foundation models (GFMs) that have strong generalization ability in graph-level tasks such as graph classification. Effective GFM training requires capturing information consistent across different domains. We discover that graph structures provide more consistent cross-domain information compared to node features and graph labels. However, traditional GFMs primarily focus on transferring node features from various domains into a unified representation space but often lack structural cross-domain generalization. To address this, we introduce GraphProp, which emphasizes structural generalization. The training process of GraphProp consists of two main phases. First, we train a structural GFM by predicting graph invariants. Since graph invariants are properties of graphs that depend only on the abstract structure, not on particular labellings or drawings of the graph, this structural GFM has a strong ability to capture the abstract structural information and provide discriminative graph representations comparable across diverse domains. In the second phase, we use the representations given by the structural GFM as positional encodings to train a comprehensive GFM. This phase utilizes domain-specific node attributes and graph labels to further improve cross-domain node feature generalization. Our experiments demonstrate that GraphProp significantly outperforms the competitors in supervised learning and few-shot learning, especially in handling graphs without node attributes.
Abstract:This work proposes a framework LGKDE that learns kernel density estimation for graphs. The key challenge in graph density estimation lies in effectively capturing both structural patterns and semantic variations while maintaining theoretical guarantees. Combining graph kernels and kernel density estimation (KDE) is a standard approach to graph density estimation, but has unsatisfactory performance due to the handcrafted and fixed features of kernels. Our method LGKDE leverages graph neural networks to represent each graph as a discrete distribution and utilizes maximum mean discrepancy to learn the graph metric for multi-scale KDE, where all parameters are learned by maximizing the density of graphs relative to the density of their well-designed perturbed counterparts. The perturbations are conducted on both node features and graph spectra, which helps better characterize the boundary of normal density regions. Theoretically, we establish consistency and convergence guarantees for LGKDE, including bounds on the mean integrated squared error, robustness, and complexity. We validate LGKDE by demonstrating its effectiveness in recovering the underlying density of synthetic graph distributions and applying it to graph anomaly detection across diverse benchmark datasets. Extensive empirical evaluation shows that LGKDE demonstrates superior performance compared to state-of-the-art baselines on most benchmark datasets.




Abstract:Feature selection is important for high-dimensional data analysis and is non-trivial in unsupervised learning problems such as dimensionality reduction and clustering. The goal of unsupervised feature selection is finding a subset of features such that the data points from different clusters are well separated. This paper presents a novel method called K-means Derived Unsupervised Feature Selection (K-means UFS). Unlike most existing spectral analysis based unsupervised feature selection methods, we select features using the objective of K-means. We develop an alternating direction method of multipliers (ADMM) to solve the NP-hard optimization problem of our K-means UFS model. Extensive experiments on real datasets show that our K-means UFS is more effective than the baselines in selecting features for clustering.
Abstract:Fuzzy K-Means clustering is a critical technique in unsupervised data analysis. However, the performance of popular Fuzzy K-Means algorithms is sensitive to the selection of initial cluster centroids and is also affected by noise when updating mean cluster centroids. To address these challenges, this paper proposes a novel Fuzzy K-Means clustering algorithm that entirely eliminates the reliance on cluster centroids, obtaining membership matrices solely through distance matrix computation. This innovation enhances flexibility in distance measurement between sample points, thus improving the algorithm's performance and robustness. The paper also establishes theoretical connections between the proposed model and popular Fuzzy K-Means clustering techniques. Experimental results on several real datasets demonstrate the effectiveness of the algorithm.




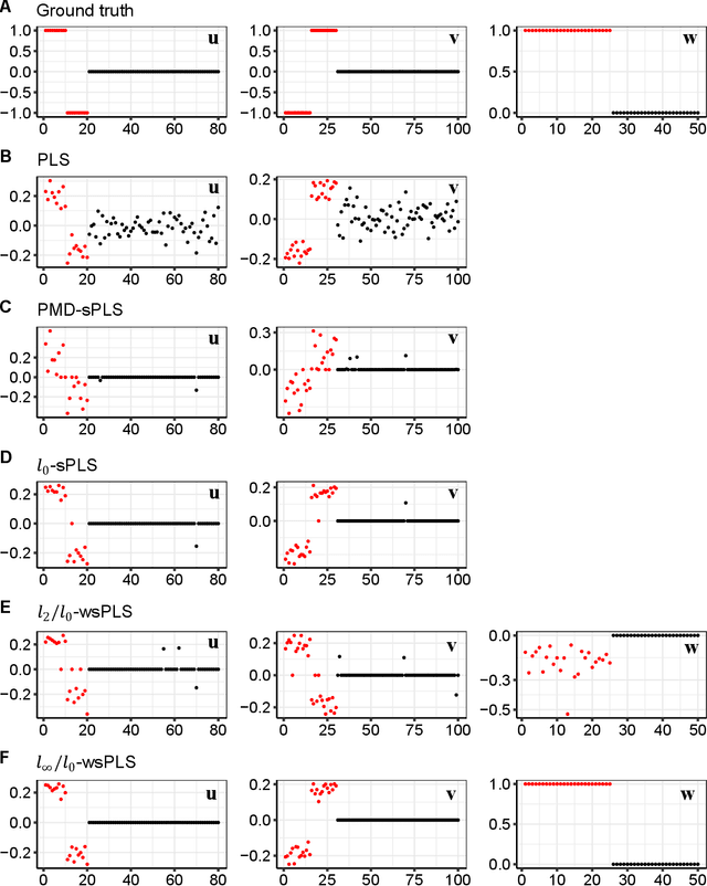
Abstract:Sparse Partial Least Squares (sPLS) is a common dimensionality reduction technique for data fusion, which projects data samples from two views by seeking linear combinations with a small number of variables with the maximum variance. However, sPLS extracts the combinations between two data sets with all data samples so that it cannot detect latent subsets of samples. To extend the application of sPLS by identifying a specific subset of samples and remove outliers, we propose an $\ell_\infty/\ell_0$-norm constrained weighted sparse PLS ($\ell_\infty/\ell_0$-wsPLS) method for joint sample and feature selection, where the $\ell_\infty/\ell_0$-norm constrains are used to select a subset of samples. We prove that the $\ell_\infty/\ell_0$-norm constrains have the Kurdyka-\L{ojasiewicz}~property so that a globally convergent algorithm is developed to solve it. Moreover, multi-view data with a same set of samples can be available in various real problems. To this end, we extend the $\ell_\infty/\ell_0$-wsPLS model and propose two multi-view wsPLS models for multi-view data fusion. We develop an efficient iterative algorithm for each multi-view wsPLS model and show its convergence property. As well as numerical and biomedical data experiments demonstrate the efficiency of the proposed methods.




Abstract:This paper introduces a novel explainable image quality evaluation approach called X-IQE, which leverages visual large language models (LLMs) to evaluate text-to-image generation methods by generating textual explanations. X-IQE utilizes a hierarchical Chain of Thought (CoT) to enable MiniGPT-4 to produce self-consistent, unbiased texts that are highly correlated with human evaluation. It offers several advantages, including the ability to distinguish between real and generated images, evaluate text-image alignment, and assess image aesthetics without requiring model training or fine-tuning. X-IQE is more cost-effective and efficient compared to human evaluation, while significantly enhancing the transparency and explainability of deep image quality evaluation models. We validate the effectiveness of our method as a benchmark using images generated by prevalent diffusion models. X-IQE demonstrates similar performance to state-of-the-art (SOTA) evaluation methods on COCO Caption, while overcoming the limitations of previous evaluation models on DrawBench, particularly in handling ambiguous generation prompts and text recognition in generated images. Project website: https://github.com/Schuture/Benchmarking-Awesome-Diffusion-Models
Abstract:Deep transfer learning (DTL) has formed a long-term quest toward enabling deep neural networks (DNNs) to reuse historical experiences as efficiently as humans. This ability is named knowledge transferability. A commonly used paradigm for DTL is firstly learning general knowledge (pre-training) and then reusing (fine-tuning) them for a specific target task. There are two consensuses of transferability of pre-trained DNNs: (1) a larger domain gap between pre-training and downstream data brings lower transferability; (2) the transferability gradually decreases from lower layers (near input) to higher layers (near output). However, these consensuses were basically drawn from the experiments based on natural images, which limits their scope of application. This work aims to study and complement them from a broader perspective by proposing a method to measure the transferability of pre-trained DNN parameters. Our experiments on twelve diverse image classification datasets get similar conclusions to the previous consensuses. More importantly, two new findings are presented, i.e., (1) in addition to the domain gap, a larger data amount and huge dataset diversity of downstream target task also prohibit the transferability; (2) although the lower layers learn basic image features, they are usually not the most transferable layers due to their domain sensitivity.




Abstract:The permutation flow shop scheduling (PFSS), aiming at finding the optimal permutation of jobs, is widely used in manufacturing systems. When solving the large-scale PFSS problems, traditional optimization algorithms such as heuristics could hardly meet the demands of both solution accuracy and computational efficiency. Thus learning-based methods have recently garnered more attention. Some work attempts to solve the problems by reinforcement learning methods, which suffer from slow convergence issues during training and are still not accurate enough regarding the solutions. To that end, we train the model via expert-driven imitation learning, which accelerates the convergence more stably and accurately. Moreover, in order to extract better feature representations of input jobs, we incorporate the graph structure as the encoder. The extensive experiments reveal that our proposed model obtains significant promotion and presents excellent generalizability in large-scale problems with up to 1000 jobs. Compared to the state-of-the-art reinforcement learning method, our model's network parameters are reduced to only 37\% of theirs, and the solution gap of our model towards the expert solutions decreases from 6.8\% to 1.3\% on average.




Abstract:When applying transfer learning for medical image analysis, downstream tasks often have significant gaps with the pre-training tasks. Previous methods mainly focus on improving the transferabilities of the pre-trained models to bridge the gaps. In fact, model fine-tuning can also play a very important role in tackling this problem. A conventional fine-tuning method is updating all deep neural networks (DNNs) layers by a single learning rate (LR), which ignores the unique transferabilities of different layers. In this work, we explore the behaviors of different layers in the fine-tuning stage. More precisely, we first hypothesize that lower-level layers are more domain-specific while higher-level layers are more task-specific, which is verified by a simple bi-directional fine-tuning scheme. It is harder for the pre-trained specific layers to transfer to new tasks than general layers. On this basis, to make different layers better co-adapt to the downstream tasks according to their transferabilities, a meta-learning-based LR learner, namely MetaLR, is proposed to assign LRs for each layer automatically. Extensive experiments on various medical applications (i.e., POCUS, BUSI, Chest X-ray, and LiTS) well confirm our hypothesis and show the superior performance of the proposed methods to previous state-of-the-art fine-tuning methods.