



Abstract:This work examines the findings of the NTIRE 2025 Shadow Removal Challenge. A total of 306 participants have registered, with 17 teams successfully submitting their solutions during the final evaluation phase. Following the last two editions, this challenge had two evaluation tracks: one focusing on reconstruction fidelity and the other on visual perception through a user study. Both tracks were evaluated with images from the WSRD+ dataset, simulating interactions between self- and cast-shadows with a large number of diverse objects, textures, and materials.
Abstract:This paper reports on the NTIRE 2025 challenge on HR Depth From images of Specular and Transparent surfaces, held in conjunction with the New Trends in Image Restoration and Enhancement (NTIRE) workshop at CVPR 2025. This challenge aims to advance the research on depth estimation, specifically to address two of the main open issues in the field: high-resolution and non-Lambertian surfaces. The challenge proposes two tracks on stereo and single-image depth estimation, attracting about 177 registered participants. In the final testing stage, 4 and 4 participating teams submitted their models and fact sheets for the two tracks.
Abstract:This paper reports on the NTIRE 2025 challenge on Text to Image (T2I) generation model quality assessment, which will be held in conjunction with the New Trends in Image Restoration and Enhancement Workshop (NTIRE) at CVPR 2025. The aim of this challenge is to address the fine-grained quality assessment of text-to-image generation models. This challenge evaluates text-to-image models from two aspects: image-text alignment and image structural distortion detection, and is divided into the alignment track and the structural track. The alignment track uses the EvalMuse-40K, which contains around 40K AI-Generated Images (AIGIs) generated by 20 popular generative models. The alignment track has a total of 371 registered participants. A total of 1,883 submissions are received in the development phase, and 507 submissions are received in the test phase. Finally, 12 participating teams submitted their models and fact sheets. The structure track uses the EvalMuse-Structure, which contains 10,000 AI-Generated Images (AIGIs) with corresponding structural distortion mask. A total of 211 participants have registered in the structure track. A total of 1155 submissions are received in the development phase, and 487 submissions are received in the test phase. Finally, 8 participating teams submitted their models and fact sheets. Almost all methods have achieved better results than baseline methods, and the winning methods in both tracks have demonstrated superior prediction performance on T2I model quality assessment.
Abstract:This paper presents an overview of NTIRE 2025 the First Challenge on Event-Based Image Deblurring, detailing the proposed methodologies and corresponding results. The primary goal of the challenge is to design an event-based method that achieves high-quality image deblurring, with performance quantitatively assessed using Peak Signal-to-Noise Ratio (PSNR). Notably, there are no restrictions on computational complexity or model size. The task focuses on leveraging both events and images as inputs for single-image deblurring. A total of 199 participants registered, among whom 15 teams successfully submitted valid results, offering valuable insights into the current state of event-based image deblurring. We anticipate that this challenge will drive further advancements in event-based vision research.




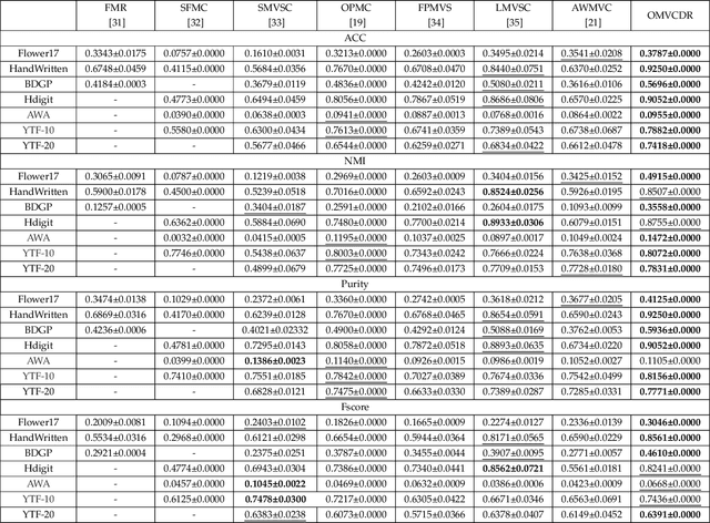
Abstract:Multi-view clustering has attracted broad attention due to its capacity to utilize consistent and complementary information among views. Although tremendous progress has been made recently, most existing methods undergo high complexity, preventing them from being applied to large-scale tasks. Multi-view clustering via matrix factorization is a representative to address this issue. However, most of them map the data matrices into a fixed dimension, limiting the model's expressiveness. Moreover, a range of methods suffers from a two-step process, i.e., multimodal learning and the subsequent $k$-means, inevitably causing a sub-optimal clustering result. In light of this, we propose a one-step multi-view clustering with diverse representation method, which incorporates multi-view learning and $k$-means into a unified framework. Specifically, we first project original data matrices into various latent spaces to attain comprehensive information and auto-weight them in a self-supervised manner. Then we directly use the information matrices under diverse dimensions to obtain consensus discrete clustering labels. The unified work of representation learning and clustering boosts the quality of the final results. Furthermore, we develop an efficient optimization algorithm with proven convergence to solve the resultant problem. Comprehensive experiments on various datasets demonstrate the promising clustering performance of our proposed method.
Abstract:The misuse of real photographs with conflicting image captions in news items is an example of the out-of-context (OOC) misuse of media. In order to detect OOC media, individuals must determine the accuracy of the statement and evaluate whether the triplet (~\textit{i.e.}, the image and two captions) relates to the same event. This paper presents a novel learnable approach for detecting OOC media in ICME'23 Grand Challenge on Detecting Cheapfakes. The proposed method is based on the COSMOS structure, which assesses the coherence between an image and captions, as well as between two captions. We enhance the baseline algorithm by incorporating a Large Language Model (LLM), GPT3.5, as a feature extractor. Specifically, we propose an innovative approach to feature extraction utilizing prompt engineering to develop a robust and reliable feature extractor with GPT3.5 model. The proposed method captures the correlation between two captions and effectively integrates this module into the COSMOS baseline model, which allows for a deeper understanding of the relationship between captions. By incorporating this module, we demonstrate the potential for significant improvements in cheap-fakes detection performance. The proposed methodology holds promising implications for various applications such as natural language processing, image captioning, and text-to-image synthesis. Docker for submission is available at https://hub.docker.com/repository/docker/mulns/ acmmmcheapfakes.