Abstract:Generating high-resolution 3D shapes using volumetric representations such as Signed Distance Functions (SDFs) presents substantial computational and memory challenges. We introduce Direct3D-S2, a scalable 3D generation framework based on sparse volumes that achieves superior output quality with dramatically reduced training costs. Our key innovation is the Spatial Sparse Attention (SSA) mechanism, which greatly enhances the efficiency of Diffusion Transformer (DiT) computations on sparse volumetric data. SSA allows the model to effectively process large token sets within sparse volumes, substantially reducing computational overhead and achieving a 3.9x speedup in the forward pass and a 9.6x speedup in the backward pass. Our framework also includes a variational autoencoder (VAE) that maintains a consistent sparse volumetric format across input, latent, and output stages. Compared to previous methods with heterogeneous representations in 3D VAE, this unified design significantly improves training efficiency and stability. Our model is trained on public available datasets, and experiments demonstrate that Direct3D-S2 not only surpasses state-of-the-art methods in generation quality and efficiency, but also enables training at 1024 resolution using only 8 GPUs, a task typically requiring at least 32 GPUs for volumetric representations at 256 resolution, thus making gigascale 3D generation both practical and accessible. Project page: https://www.neural4d.com/research/direct3d-s2.
Abstract:Peptide compounds demonstrate considerable potential as therapeutic agents due to their high target affinity and low toxicity, yet their drug development is constrained by their low membrane permeability. Molecular weight and peptide length have significant effects on the logD of peptides, which in turn influences their ability to cross biological membranes. However, accurate prediction of peptide logD remains challenging due to the complex interplay between sequence, structure, and ionization states. This study introduces LengthLogD, a predictive framework that establishes specialized models through molecular length stratification while innovatively integrating multi-scale molecular representations. We constructed feature spaces across three hierarchical levels: atomic (10 molecular descriptors), structural (1024-bit Morgan fingerprints), and topological (3 graph-based features including Wiener index), optimized through stratified ensemble learning. An adaptive weight allocation mechanism specifically developed for long peptides significantly enhances model generalizability. Experimental results demonstrate superior performance across all categories: short peptides (R^2=0.855), medium peptides (R^2=0.816), and long peptides (R^2=0.882), with a 34.7% reduction in prediction error for long peptides compared to conventional single-model approaches. Ablation studies confirm: 1) The length-stratified strategy contributes 41.2% to performance improvement; 2) Topological features account for 28.5% of predictive importance. Compared to state-of-the-art models, our method maintains short peptide prediction accuracy while achieving a 25.7% increase in the coefficient of determination (R^2) for long peptides. This research provides a precise logD prediction tool for peptide drug development, particularly demonstrating unique value in optimizing long peptide lead compounds.
Abstract:Existing detectors are often trained on biased datasets, leading to the possibility of overfitting on non-causal image attributes that are spuriously correlated with real/synthetic labels. While these biased features enhance performance on the training data, they result in substantial performance degradation when applied to unbiased datasets. One common solution is to perform dataset alignment through generative reconstruction, matching the semantic content between real and synthetic images. However, we revisit this approach and show that pixel-level alignment alone is insufficient. The reconstructed images still suffer from frequency-level misalignment, which can perpetuate spurious correlations. To illustrate, we observe that reconstruction models tend to restore the high-frequency details lost in real images (possibly due to JPEG compression), inadvertently creating a frequency-level misalignment, where synthetic images appear to have richer high-frequency content than real ones. This misalignment leads to models associating high-frequency features with synthetic labels, further reinforcing biased cues. To resolve this, we propose Dual Data Alignment (DDA), which aligns both the pixel and frequency domains. Moreover, we introduce two new test sets: DDA-COCO, containing DDA-aligned synthetic images for testing detector performance on the most aligned dataset, and EvalGEN, featuring the latest generative models for assessing detectors under new generative architectures such as visual auto-regressive generators. Finally, our extensive evaluations demonstrate that a detector trained exclusively on DDA-aligned MSCOCO could improve across 8 diverse benchmarks by a non-trivial margin, showing a +7.2% on in-the-wild benchmarks, highlighting the improved generalizability of unbiased detectors.
Abstract:This paper presents the technical solution proposed by Huawei Translation Service Center (HW-TSC) for the "End-to-End Document Image Machine Translation for Complex Layouts" competition at the 19th International Conference on Document Analysis and Recognition (DIMT25@ICDAR2025). Leveraging state-of-the-art open-source large vision-language model (LVLM), we introduce a training framework that combines multi-task learning with perceptual chain-of-thought to develop a comprehensive end-to-end document translation system. During the inference phase, we apply minimum Bayesian decoding and post-processing strategies to further enhance the system's translation capabilities. Our solution uniquely addresses both OCR-based and OCR-free document image translation tasks within a unified framework. This paper systematically details the training methods, inference strategies, LVLM base models, training data, experimental setups, and results, demonstrating an effective approach to document image machine translation.
Abstract:The rapid advancement of large vision-language models (LVLMs) has significantly propelled applications in document understanding, particularly in optical character recognition (OCR) and multilingual translation. However, current evaluations of LVLMs, like the widely used OCRBench, mainly focus on verifying the correctness of their short-text responses and long-text responses with simple layout, while the evaluation of their ability to understand long texts with complex layout design is highly significant but largely overlooked. In this paper, we propose Menu OCR and Translation Benchmark (MOTBench), a specialized evaluation framework emphasizing the pivotal role of menu translation in cross-cultural communication. MOTBench requires LVLMs to accurately recognize and translate each dish, along with its price and unit items on a menu, providing a comprehensive assessment of their visual understanding and language processing capabilities. Our benchmark is comprised of a collection of Chinese and English menus, characterized by intricate layouts, a variety of fonts, and culturally specific elements across different languages, along with precise human annotations. Experiments show that our automatic evaluation results are highly consistent with professional human evaluation. We evaluate a range of publicly available state-of-the-art LVLMs, and through analyzing their output to identify the strengths and weaknesses in their performance, offering valuable insights to guide future advancements in LVLM development. MOTBench is available at https://github.com/gitwzl/MOTBench.
Abstract:With the widespread adoption of the Internet of Things (IoT) and Industrial IoT (IIoT) technologies, network architectures have become increasingly complex, and the volume of traffic has grown substantially. This evolution poses significant challenges to traditional security mechanisms, particularly in detecting high-frequency, diverse, and highly covert network attacks. To address these challenges, this study proposes a novel network traffic anomaly detection model that integrates a Convolutional Neural Network (CNN) with a Bidirectional Long Short-Term Memory (BiLSTM) network, implemented on the MindSpore framework. Comprehensive experiments were conducted using the NF-BoT-IoT dataset. The results demonstrate that the proposed model achieves 99% across accuracy, precision, recall, and F1-score, indicating its strong performance and robustness in network intrusion detection tasks.




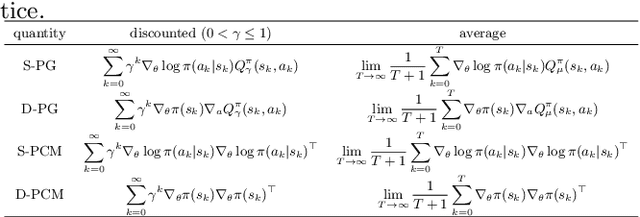
Abstract:Policy optimization algorithms are crucial in many fields but challenging to grasp and implement, often due to complex calculations related to Markov decision processes and varying use of discount and average reward setups. This paper presents a unified framework that applies generalized ergodicity theory and perturbation analysis to clarify and enhance the application of these algorithms. Generalized ergodicity theory sheds light on the steady-state behavior of stochastic processes, aiding understanding of both discounted and average rewards. Perturbation analysis provides in-depth insights into the fundamental principles of policy optimization algorithms. We use this framework to identify common implementation errors and demonstrate the correct approaches. Through a case study on Linear Quadratic Regulator problems, we illustrate how slight variations in algorithm design affect implementation outcomes. We aim to make policy optimization algorithms more accessible and reduce their misuse in practice.
Abstract:The exponential growth of AI-generated images (AIGIs) underscores the urgent need for robust and generalizable detection methods. In this paper, we establish two key principles for AIGI detection through systematic analysis: \textbf{(1) All Patches Matter:} Unlike conventional image classification where discriminative features concentrate on object-centric regions, each patch in AIGIs inherently contains synthetic artifacts due to the uniform generation process, suggesting that every patch serves as an important artifact source for detection. \textbf{(2) More Patches Better}: Leveraging distributed artifacts across more patches improves detection robustness by capturing complementary forensic evidence and reducing over-reliance on specific patches, thereby enhancing robustness and generalization. However, our counterfactual analysis reveals an undesirable phenomenon: naively trained detectors often exhibit a \textbf{Few-Patch Bias}, discriminating between real and synthetic images based on minority patches. We identify \textbf{Lazy Learner} as the root cause: detectors preferentially learn conspicuous artifacts in limited patches while neglecting broader artifact distributions. To address this bias, we propose the \textbf{P}anoptic \textbf{P}atch \textbf{L}earning (PPL) framework, involving: (1) Random Patch Replacement that randomly substitutes synthetic patches with real counterparts to compel models to identify artifacts in underutilized regions, encouraging the broader use of more patches; (2) Patch-wise Contrastive Learning that enforces consistent discriminative capability across all patches, ensuring uniform utilization of all patches. Extensive experiments across two different settings on several benchmarks verify the effectiveness of our approach.
Abstract:To enhance the accuracy and robustness of PM$_{2.5}$ concentration forecasting, this paper introduces FALNet, a Frequency-Aware LSTM Network that integrates frequency-domain decomposition, temporal modeling, and attention-based refinement. The model first applies STL and FFT to extract trend, seasonal, and denoised residual components, effectively filtering out high-frequency noise. The filtered residuals are then fed into a stacked LSTM to capture long-term dependencies, followed by a multi-head attention mechanism that dynamically focuses on key time steps. Experiments conducted on real-world urban air quality datasets demonstrate that FALNet consistently outperforms conventional models across standard metrics such as MAE, RMSE, and $R^2$. The model shows strong adaptability in capturing sharp fluctuations during pollution peaks and non-stationary conditions. These results validate the effectiveness and generalizability of FALNet for real-time air pollution prediction, environmental risk assessment, and decision-making support.
Abstract:Spatial reasoning is an essential problem in embodied AI research. Efforts to enhance spatial reasoning abilities through supplementary spatial data and fine-tuning have proven limited and ineffective when addressing complex embodied tasks, largely due to their dependence on language-based outputs. While some approaches have introduced a point-based action space to mitigate this issue, they fall short in managing more intricate tasks within complex environments. This deficiency arises from their failure to fully exploit the inherent thinking and reasoning capabilities that are fundamental strengths of Vision-Language Models (VLMs). To address these limitations, we propose a novel approach named SpatialCoT, specifically designed to bolster the spatial reasoning capabilities of VLMs. Our approach comprises two stages: spatial coordinate bi-directional alignment, which aligns vision-language inputs with spatial coordinates, and chain-of-thought spatial grounding, which harnesses the reasoning capabilities of language models for advanced spatial reasoning. We evaluate SpatialCoT on challenging navigation and manipulation tasks, both in simulation and real-world settings. Experimental results demonstrate that our method significantly outperforms previous state-of-the-art approaches in both tasks.