Abstract:Self-Supervised Learning (SSL) has emerged as a key technique in machine learning, tackling challenges such as limited labeled data, high annotation costs, and variable wireless channel conditions. It is essential for developing Channel Foundation Models (CFMs), which extract latent features from channel state information (CSI) and adapt to different wireless settings. Yet, existing CFMs have notable drawbacks: heavy reliance on scenario-specific data hinders generalization, they focus on single/dual tasks, and lack zero-shot learning ability. In this paper, we propose CSI-MAE, a generalized CFM leveraging masked autoencoder for cross-scenario generalization. Trained on 3GPP channel model datasets, it integrates sensing and communication via CSI perception and generation, proven effective across diverse tasks. A lightweight decoder finetuning strategy cuts training costs while maintaining competitive performance. Under this approach, CSI-MAE matches or surpasses supervised models. With full-parameter finetuning, it achieves the state-of-the-art performance. Its exceptional zero-shot transferability also rivals supervised techniques in cross-scenario applications, driving wireless communication innovation.




Abstract:Linguistic steganography enables covert communication through embedding secret messages into innocuous texts; however, current methods face critical limitations in payload capacity and security. Traditional modification-based methods introduce detectable anomalies, while retrieval-based strategies suffer from low embedding capacity. Modern generative steganography leverages language models to generate natural stego text but struggles with limited entropy in token predictions, further constraining capacity. To address these issues, we propose an entropy-driven framework called RTMStega that integrates rank-based adaptive coding and context-aware decompression with normalized entropy. By mapping secret messages to token probability ranks and dynamically adjusting sampling via context-aware entropy-based adjustments, RTMStega achieves a balance between payload capacity and imperceptibility. Experiments across diverse datasets and models demonstrate that RTMStega triples the payload capacity of mainstream generative steganography, reduces processing time by over 50%, and maintains high text quality, offering a trustworthy solution for secure and efficient covert communication.




Abstract:Next-generation mobile networks are set to utilize integrated sensing and communication (ISAC) as a critical technology, providing significant support for sectors like the industrial Internet of Things (IIoT), extended reality (XR), and smart home applications. A key challenge in ISAC implementation is the extraction of sensing parameters from radio signals, a task that conventional methods struggle to achieve due to the complexity of acquiring sensing channel data. In this paper, we introduce a novel auto-encoder (AE)-based framework to acquire sensing information using channel state information (CSI). Specifically, our framework, termed C2S (CSI to sensing)-AE, learns the relationship between CSI and the delay power spectrum (DPS), from which the range information can be readily accessed. To validate our framework's performance, we conducted measurements of DPS and CSI in real-world scenarios and introduced the dataset 'SHU7'. Our extensive experiments demonstrate that the framework excels in C2S extrapolation, surpassing existing methods in terms of accuracy for both delay and signal strength of individual paths. This innovative approach holds the potential to greatly enhance sensing capabilities in future mobile networks, paving the way for more robust and versatile ISAC applications.




Abstract:In modern wireless communication systems, the effective processing of Channel State Information (CSI) is crucial for enhancing communication quality and reliability. However, current methods often handle different tasks in isolation, thereby neglecting the synergies among various tasks and leading to extract CSI features inadequately for subsequent analysis. To address these limitations, this paper introduces a novel Multi-Task Channel Analysis framework named MTCA, aimed at improving the performance of wireless communication even sensing. MTCA is designed to handle four critical tasks, including channel prediction, antenna-domain channel extrapolation, channel identification, and scenario classification. Experiments conducted on a multi-scenario, multi-antenna dataset tailored for UAV-based communications demonstrate that the proposed MTCA exhibits superior comprehension of CSI, achieving enhanced performance across all evaluated tasks. Notably, MTCA reached 100% prediction accuracy in channel identification and scenario classification. Compared to the previous state-of-the-art methods, MTCA improved channel prediction performance by 20.1% and antenna-domain extrapolation performance by 54.5%.




Abstract:In the field of artificial intelligence, self-supervised learning has demonstrated superior generalization capabilities by leveraging large-scale unlabeled datasets for pretraining, which is especially critical for wireless communication models to adapt to a variety of scenarios. This paper innovatively treats Channel State Information (CSI) and Channel Impulse Response (CIR) as naturally aligned multi-modal data and proposes the first MIMO wireless channel foundation model, named CSI-CLIP. By effectively capturing the joint representations of both CIR and CSI, CSI-CLIP exhibits remarkable adaptability across scenarios and robust feature extraction capabilities. Experimental results show that in positioning task, CSI-CLIP reduces the mean error distance by 22%; in beam management task, it increases accuracy by 1% compared to traditional supervised methods, as well as in the channel identification task. These improvements not only highlight the potential and value of CSI-CLIP in integrating sensing and communication but also demonstrate its significant advantages over existing techniques. Moreover, viewing CSI and CIR as multi-modal pairs and contrastive learning for wireless channel foundation model open up new research directions in the domain of MIMO wireless communications.




Abstract:Human cancers present a significant public health challenge and require the discovery of novel drugs through translational research. Transcriptomics profiling data that describes molecular activities in tumors and cancer cell lines are widely utilized for predicting anti-cancer drug responses. However, existing AI models face challenges due to noise in transcriptomics data and lack of biological interpretability. To overcome these limitations, we introduce VETE (Variational and Explanatory Transcriptomics Encoder), a novel neural network framework that incorporates a variational component to mitigate noise effects and integrates traceable gene ontology into the neural network architecture for encoding cancer transcriptomics data. Key innovations include a local interpretability-guided method for identifying ontology paths, a visualization tool to elucidate biological mechanisms of drug responses, and the application of centralized large scale hyperparameter optimization. VETE demonstrated robust accuracy in cancer cell line classification and drug response prediction. Additionally, it provided traceable biological explanations for both tasks and offers insights into the mechanisms underlying its predictions. VETE bridges the gap between AI-driven predictions and biologically meaningful insights in cancer research, which represents a promising advancement in the field.




Abstract:Visual programming provides beginner-level programmers with a coding-free experience to build their customized pipelines. Existing systems require users to build a pipeline entirely from scratch, implying that novice users need to set up and link appropriate nodes all by themselves, starting from a blank workspace. We present InstructPipe, an AI assistant that enables users to start prototyping machine learning (ML) pipelines with text instructions. We designed two LLM modules and a code interpreter to execute our solution. LLM modules generate pseudocode of a target pipeline, and the interpreter renders a pipeline in the node-graph editor for further human-AI collaboration. Technical evaluations reveal that InstructPipe reduces user interactions by 81.1% compared to traditional methods. Our user study (N=16) showed that InstructPipe empowers novice users to streamline their workflow in creating desired ML pipelines, reduce their learning curve, and spark innovative ideas with open-ended commands.




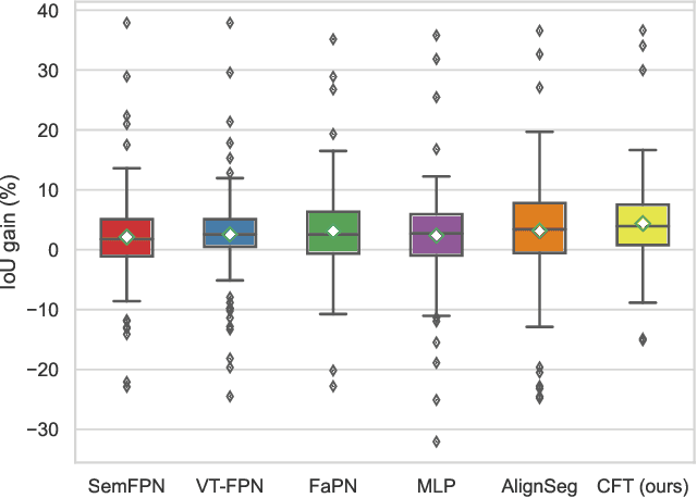
Abstract:Aggregation of multi-stage features has been revealed to play a significant role in semantic segmentation. Unlike previous methods employing point-wise summation or concatenation for feature aggregation, this study proposes the Category Feature Transformer (CFT) that explores the flow of category embedding and transformation among multi-stage features through the prevalent multi-head attention mechanism. CFT learns unified feature embeddings for individual semantic categories from high-level features during each aggregation process and dynamically broadcasts them to high-resolution features. Integrating the proposed CFT into a typical feature pyramid structure exhibits superior performance over a broad range of backbone networks. We conduct extensive experiments on popular semantic segmentation benchmarks. Specifically, the proposed CFT obtains a compelling 55.1% mIoU with greatly reduced model parameters and computations on the challenging ADE20K dataset.
Abstract:It is challenging to remove rain-steaks from a single rainy image because the rain steaks are spatially varying in the rainy image. Although the CNN based methods have reported promising performance recently, there are still some defects, such as data dependency and insufficient interpretation. A single image deraining algorithm based on the combination of data-driven and model-based approaches is proposed. Firstly, an improved weighted guided image filter (iWGIF) is used to extract high-frequency information and learn the rain steaks to avoid interference from other information through the input image. Then, transfering the input image and rain steaks from the image domain to the feature domain adaptively to learn useful features for high-quality image deraining. Finally, networks with attention mechanisms is used to restore high-quality images from the latent features. Experiments show that the proposed algorithm significantly outperforms state-of-the-art methods in terms of both qualitative and quantitative measures.
Abstract:Recovering unknown, missing, damaged, distorted or lost information in DCT coefficients is a common task in multiple applications of digital image processing, including image compression, selective image encryption, and image communications. This paper investigates recovery of a special type of information in DCT coefficients of digital images: sign bits. This problem can be modelled as a mixed integer linear programming (MILP) problem, which is NP-hard in general. To efficiently solve the problem, we propose two approximation methods: 1) a relaxation-based method that convert the MILP problem to a linear programming (LP) problem; 2) a divide-and-conquer method which splits the target image into sufficiently small regions, each of which can be more efficiently solved as an MILP problem, and then conducts a global optimization phase as a smaller MILP problem or an LP problem to maximize smoothness across different regions. To the best of our knowledge, we are the first who considered how to use global optimization to recover sign bits of DCT coefficients. We considered how the proposed methods can be applied to JPEG-encoded images and conducted extensive experiments to validate the performances of our proposed methods. The experimental results showed that the proposed methods worked well, especially when the number of unknown sign bits per DCT block is not too large. Compared with other existing methods, which are all based on simple error-concealment strategies, our proposed methods outperformed them with a substantial margin, both according to objective quality metrics (PSNR and SSIM) and also our subjective evaluation. Our work has a number of profound implications, e.g., more sign bits can be discarded to develop more efficient image compression methods, and image encryption methods based on sign bit encryption can be less secure than we previously understood.