Abstract:We introduce Kimi Linear, a hybrid linear attention architecture that, for the first time, outperforms full attention under fair comparisons across various scenarios -- including short-context, long-context, and reinforcement learning (RL) scaling regimes. At its core lies Kimi Delta Attention (KDA), an expressive linear attention module that extends Gated DeltaNet with a finer-grained gating mechanism, enabling more effective use of limited finite-state RNN memory. Our bespoke chunkwise algorithm achieves high hardware efficiency through a specialized variant of the Diagonal-Plus-Low-Rank (DPLR) transition matrices, which substantially reduces computation compared to the general DPLR formulation while remaining more consistent with the classical delta rule. We pretrain a Kimi Linear model with 3B activated parameters and 48B total parameters, based on a layerwise hybrid of KDA and Multi-Head Latent Attention (MLA). Our experiments show that with an identical training recipe, Kimi Linear outperforms full MLA with a sizeable margin across all evaluated tasks, while reducing KV cache usage by up to 75% and achieving up to 6 times decoding throughput for a 1M context. These results demonstrate that Kimi Linear can be a drop-in replacement for full attention architectures with superior performance and efficiency, including tasks with longer input and output lengths. To support further research, we open-source the KDA kernel and vLLM implementations, and release the pre-trained and instruction-tuned model checkpoints.




Abstract:We introduce Kimi K2, a Mixture-of-Experts (MoE) large language model with 32 billion activated parameters and 1 trillion total parameters. We propose the MuonClip optimizer, which improves upon Muon with a novel QK-clip technique to address training instability while enjoying the advanced token efficiency of Muon. Based on MuonClip, K2 was pre-trained on 15.5 trillion tokens with zero loss spike. During post-training, K2 undergoes a multi-stage post-training process, highlighted by a large-scale agentic data synthesis pipeline and a joint reinforcement learning (RL) stage, where the model improves its capabilities through interactions with real and synthetic environments. Kimi K2 achieves state-of-the-art performance among open-source non-thinking models, with strengths in agentic capabilities. Notably, K2 obtains 66.1 on Tau2-Bench, 76.5 on ACEBench (En), 65.8 on SWE-Bench Verified, and 47.3 on SWE-Bench Multilingual -- surpassing most open and closed-sourced baselines in non-thinking settings. It also exhibits strong capabilities in coding, mathematics, and reasoning tasks, with a score of 53.7 on LiveCodeBench v6, 49.5 on AIME 2025, 75.1 on GPQA-Diamond, and 27.1 on OJBench, all without extended thinking. These results position Kimi K2 as one of the most capable open-source large language models to date, particularly in software engineering and agentic tasks. We release our base and post-trained model checkpoints to facilitate future research and applications of agentic intelligence.




Abstract:Vision-Language Models (VLMs) excel in many direct multimodal tasks but struggle to translate this prowess into effective decision-making within interactive, visually rich environments like games. This ``knowing-doing'' gap significantly limits their potential as autonomous agents, as leading VLMs often performing badly in simple games. To address this, we introduce VLM-Gym, a curated reinforcement learning (RL) environment featuring diverse visual games with unified interfaces and adjustable, compositional difficulty, specifically designed for scalable multi-game parallel training. Leveraging VLM-Gym, we train G0 models using pure RL-driven self-evolution, which demonstrate emergent perception and reasoning patterns. To further mitigate challenges arising from game diversity, we develop G1 models. G1 incorporates a perception-enhanced cold start prior to RL fine-tuning. Our resulting G1 models consistently surpass their teacher across all games and outperform leading proprietary models like Claude-3.7-Sonnet-Thinking. Systematic analysis reveals an intriguing finding: perception and reasoning abilities mutually bootstrap each other throughout the RL training process. Source code including VLM-Gym and RL training are released at https://github.com/chenllliang/G1 to foster future research in advancing VLMs as capable interactive agents.




Abstract:We present Kimi-Audio, an open-source audio foundation model that excels in audio understanding, generation, and conversation. We detail the practices in building Kimi-Audio, including model architecture, data curation, training recipe, inference deployment, and evaluation. Specifically, we leverage a 12.5Hz audio tokenizer, design a novel LLM-based architecture with continuous features as input and discrete tokens as output, and develop a chunk-wise streaming detokenizer based on flow matching. We curate a pre-training dataset that consists of more than 13 million hours of audio data covering a wide range of modalities including speech, sound, and music, and build a pipeline to construct high-quality and diverse post-training data. Initialized from a pre-trained LLM, Kimi-Audio is continual pre-trained on both audio and text data with several carefully designed tasks, and then fine-tuned to support a diverse of audio-related tasks. Extensive evaluation shows that Kimi-Audio achieves state-of-the-art performance on a range of audio benchmarks including speech recognition, audio understanding, audio question answering, and speech conversation. We release the codes, model checkpoints, as well as the evaluation toolkits in https://github.com/MoonshotAI/Kimi-Audio.




Abstract:We present Kimi-VL, an efficient open-source Mixture-of-Experts (MoE) vision-language model (VLM) that offers advanced multimodal reasoning, long-context understanding, and strong agent capabilities - all while activating only 2.8B parameters in its language decoder (Kimi-VL-A3B). Kimi-VL demonstrates strong performance across challenging domains: as a general-purpose VLM, Kimi-VL excels in multi-turn agent tasks (e.g., OSWorld), matching flagship models. Furthermore, it exhibits remarkable capabilities across diverse challenging vision language tasks, including college-level image and video comprehension, OCR, mathematical reasoning, and multi-image understanding. In comparative evaluations, it effectively competes with cutting-edge efficient VLMs such as GPT-4o-mini, Qwen2.5-VL-7B, and Gemma-3-12B-IT, while surpassing GPT-4o in several key domains. Kimi-VL also advances in processing long contexts and perceiving clearly. With a 128K extended context window, Kimi-VL can process diverse long inputs, achieving impressive scores of 64.5 on LongVideoBench and 35.1 on MMLongBench-Doc. Its native-resolution vision encoder, MoonViT, further allows it to see and understand ultra-high-resolution visual inputs, achieving 83.2 on InfoVQA and 34.5 on ScreenSpot-Pro, while maintaining lower computational cost for common tasks. Building upon Kimi-VL, we introduce an advanced long-thinking variant: Kimi-VL-Thinking. Developed through long chain-of-thought (CoT) supervised fine-tuning (SFT) and reinforcement learning (RL), this model exhibits strong long-horizon reasoning capabilities. It achieves scores of 61.7 on MMMU, 36.8 on MathVision, and 71.3 on MathVista while maintaining the compact 2.8B activated LLM parameters, setting a new standard for efficient multimodal thinking models. Code and models are publicly accessible at https://github.com/MoonshotAI/Kimi-VL.
Abstract:Recently, the Muon optimizer based on matrix orthogonalization has demonstrated strong results in training small-scale language models, but the scalability to larger models has not been proven. We identify two crucial techniques for scaling up Muon: (1) adding weight decay and (2) carefully adjusting the per-parameter update scale. These techniques allow Muon to work out-of-the-box on large-scale training without the need of hyper-parameter tuning. Scaling law experiments indicate that Muon achieves $\sim\!2\times$ computational efficiency compared to AdamW with compute optimal training. Based on these improvements, we introduce Moonlight, a 3B/16B-parameter Mixture-of-Expert (MoE) model trained with 5.7T tokens using Muon. Our model improves the current Pareto frontier, achieving better performance with much fewer training FLOPs compared to prior models. We open-source our distributed Muon implementation that is memory optimal and communication efficient. We also release the pretrained, instruction-tuned, and intermediate checkpoints to support future research.




Abstract:Scaling the effective context length is essential for advancing large language models (LLMs) toward artificial general intelligence (AGI). However, the quadratic increase in computational complexity inherent in traditional attention mechanisms presents a prohibitive overhead. Existing approaches either impose strongly biased structures, such as sink or window attention which are task-specific, or radically modify the attention mechanism into linear approximations, whose performance in complex reasoning tasks remains inadequately explored. In this work, we propose a solution that adheres to the ``less structure'' principle, allowing the model to determine where to attend autonomously, rather than introducing predefined biases. We introduce Mixture of Block Attention (MoBA), an innovative approach that applies the principles of Mixture of Experts (MoE) to the attention mechanism. This novel architecture demonstrates superior performance on long-context tasks while offering a key advantage: the ability to seamlessly transition between full and sparse attention, enhancing efficiency without the risk of compromising performance. MoBA has already been deployed to support Kimi's long-context requests and demonstrates significant advancements in efficient attention computation for LLMs. Our code is available at https://github.com/MoonshotAI/MoBA.




Abstract:An event sequence generated by a temporal point process is often associated with a hidden and structured event branching process that captures the triggering relations between its historical and current events. In this study, we design a new plug-and-play module based on the Bregman ADMM (BADMM) algorithm, which infers event branches associated with event sequences in the maximum likelihood estimation framework of temporal point processes (TPPs). Specifically, we formulate the inference of event branches as an optimization problem for the event transition matrix under sparse and low-rank constraints, which is embedded in existing TPP models or their learning paradigms. We can implement this optimization problem based on subspace clustering and sparse group-lasso, respectively, and solve it using the Bregman ADMM algorithm, whose unrolling leads to the proposed BADMM module. When learning a classic TPP (e.g., Hawkes process) by the expectation-maximization algorithm, the BADMM module helps derive structured responsibility matrices in the E-step. Similarly, the BADMM module helps derive low-rank and sparse attention maps for the neural TPPs with self-attention layers. The structured responsibility matrices and attention maps, which work as learned event transition matrices, indicate event branches, e.g., inferring isolated events and those key events triggering many subsequent events. Experiments on both synthetic and real-world data show that plugging our BADMM module into existing TPP models and learning paradigms can improve model performance and provide us with interpretable structured event branches. The code is available at \url{https://github.com/qingmeiwangdaily/BADMM_TPP}.




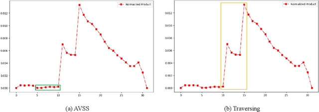
Abstract:Evaluating the importance of different layers in large language models (LLMs) is crucial for optimizing model performance and interpretability. This paper first explores layer importance using the Activation Variance-Sparsity Score (AVSS), which combines normalized activation variance and sparsity to quantify each layer's contribution to overall model performance. By ranking layers based on AVSS and pruning the least impactful 25\%, our experiments on tasks such as question answering, language modeling, and sentiment classification show that over 90\% of the original performance is retained, highlighting potential redundancies in LLM architectures. Building on AVSS, we propose an enhanced version tailored to assess hallucination propensity across layers (EAVSS). This improved approach introduces Hallucination-Specific Activation Variance (HSAV) and Hallucination-Specific Sparsity (HSS) metrics, allowing precise identification of hallucination-prone layers. By incorporating contrastive learning on these layers, we effectively mitigate hallucination generation, contributing to more robust and efficient LLMs(The maximum performance improvement is 12\%). Our results on the NQ, SciQ, TriviaQA, TruthfulQA, and WikiQA datasets demonstrate the efficacy of this method, offering a comprehensive framework for both layer importance evaluation and hallucination mitigation in LLMs.


Abstract:The evaluation of layer importance in deep learning has been an active area of research, with significant implications for model optimization and interpretability. Recently, large language models (LLMs) have gained prominence across various domains, yet limited studies have explored the functional importance and performance contributions of individual layers within LLMs, especially from the perspective of activation distribution. In this work, we propose the Activation Variance-Sparsity Score (AVSS), a novel metric combining normalized activation variance and sparsity to assess each layer's contribution to model performance. By identifying and removing approximately the lowest 25% of layers based on AVSS, we achieve over 90% of original model performance across tasks such as question answering, language modeling, and sentiment classification, indicating that these layers may be non-essential. Our approach provides a systematic method for identifying less critical layers, contributing to efficient large language model architectures.