Abstract:Recent advances in multimodal models have demonstrated impressive capabilities in unified image generation and editing. However, many prominent open-source models prioritize scaling model parameters over optimizing training strategies, limiting their efficiency and performance. In this work, we present UniPic2-SD3.5M-Kontext, a 2B-parameter DiT model based on SD3.5-Medium, which achieves state-of-the-art image generation and editing while extending seamlessly into a unified multimodal framework. Our approach begins with architectural modifications to SD3.5-Medium and large-scale pre-training on high-quality data, enabling joint text-to-image generation and editing capabilities. To enhance instruction following and editing consistency, we propose a novel Progressive Dual-Task Reinforcement strategy (PDTR), which effectively strengthens both tasks in a staged manner. We empirically validate that the reinforcement phases for different tasks are mutually beneficial and do not induce negative interference. After pre-training and reinforcement strategies, UniPic2-SD3.5M-Kontext demonstrates stronger image generation and editing capabilities than models with significantly larger generation parameters-including BAGEL (7B) and Flux-Kontext (12B). Furthermore, following the MetaQuery, we connect the UniPic2-SD3.5M-Kontext and Qwen2.5-VL-7B via a connector and perform joint training to launch a unified multimodal model UniPic2-Metaquery. UniPic2-Metaquery integrates understanding, generation, and editing, achieving top-tier performance across diverse tasks with a simple and scalable training paradigm. This consistently validates the effectiveness and generalizability of our proposed training paradigm, which we formalize as Skywork UniPic 2.0.




Abstract:Vision-Language Models (VLMs) have demonstrated remarkable progress in multimodal understanding, yet their capabilities for scientific reasoning remains inadequately assessed. Current multimodal benchmarks predominantly evaluate generic image comprehension or text-driven reasoning, lacking authentic scientific contexts that require domain-specific knowledge integration with visual evidence analysis. To fill this gap, we present CSVQA, a diagnostic multimodal benchmark specifically designed for evaluating scientific reasoning through domain-grounded visual question answering.Our benchmark features 1,378 carefully constructed question-answer pairs spanning diverse STEM disciplines, each demanding domain knowledge, integration of visual evidence, and higher-order reasoning. Compared to prior multimodal benchmarks, CSVQA places greater emphasis on real-world scientific content and complex reasoning.We additionally propose a rigorous evaluation protocol to systematically assess whether model predictions are substantiated by valid intermediate reasoning steps based on curated explanations. Our comprehensive evaluation of 15 VLMs on this benchmark reveals notable performance disparities, as even the top-ranked proprietary model attains only 49.6\% accuracy.This empirical evidence underscores the pressing need for advancing scientific reasoning capabilities in VLMs. Our CSVQA is released at https://huggingface.co/datasets/Skywork/CSVQA.
Abstract:Task and motion planning is a well-established approach for solving long-horizon robot planning problems. However, traditional methods assume that each task-level robot action, or skill, can be reduced to kinematic motion planning. In this work, we address the challenge of planning with both kinematic skills and closed-loop motor controllers that go beyond kinematic considerations. We propose a novel method that integrates these controllers into motion planning using Composable Interaction Primitives (CIPs), enabling the use of diverse, non-composable pre-learned skills in hierarchical robot planning. Toward validating our Task and Skill Planning (TASP) approach, we describe ongoing robot experiments in real-world scenarios designed to demonstrate how CIPs can allow a mobile manipulator robot to effectively combine motion planning with general-purpose skills to accomplish complex tasks.
Abstract:We present Skywork R1V2, a next-generation multimodal reasoning model and a major leap forward from its predecessor, Skywork R1V. At its core, R1V2 introduces a hybrid reinforcement learning paradigm that harmonizes reward-model guidance with rule-based strategies, thereby addressing the long-standing challenge of balancing sophisticated reasoning capabilities with broad generalization. To further enhance training efficiency, we propose the Selective Sample Buffer (SSB) mechanism, which effectively counters the ``Vanishing Advantages'' dilemma inherent in Group Relative Policy Optimization (GRPO) by prioritizing high-value samples throughout the optimization process. Notably, we observe that excessive reinforcement signals can induce visual hallucinations--a phenomenon we systematically monitor and mitigate through calibrated reward thresholds throughout the training process. Empirical results affirm the exceptional capability of R1V2, with benchmark-leading performances such as 62.6 on OlympiadBench, 79.0 on AIME2024, 63.6 on LiveCodeBench, and 74.0 on MMMU. These results underscore R1V2's superiority over existing open-source models and demonstrate significant progress in closing the performance gap with premier proprietary systems, including Gemini 2.5 and OpenAI o4-mini. The Skywork R1V2 model weights have been publicly released to promote openness and reproducibility https://huggingface.co/Skywork/Skywork-R1V2-38B.
Abstract:We introduce Skywork R1V, a multimodal reasoning model extending the an R1-series Large language models (LLM) to visual modalities via an efficient multimodal transfer method. Leveraging a lightweight visual projector, Skywork R1V facilitates seamless multimodal adaptation without necessitating retraining of either the foundational language model or the vision encoder. To strengthen visual-text alignment, we propose a hybrid optimization strategy that combines Iterative Supervised Fine-Tuning (SFT) with Group Relative Policy Optimization (GRPO), significantly enhancing cross-modal integration efficiency. Additionally, we introduce an adaptive-length Chain-of-Thought distillation approach for reasoning data generation. This approach dynamically optimizes reasoning chain lengths, thereby enhancing inference efficiency and preventing excessive reasoning overthinking. Empirical evaluations demonstrate that Skywork R1V, with only 38B parameters, delivers competitive performance, achieving a score of 69.0 on the MMMU benchmark and 67.5 on MathVista. Meanwhile, it maintains robust textual reasoning performance, evidenced by impressive scores of 72.0 on AIME and 94.0 on MATH500. The Skywork R1V model weights have been publicly released to promote openness and reproducibility.
Abstract:Ray tracing is widely employed to model the propagation of radio-frequency (RF) signal in complex environment. The modelling performance greatly depends on how accurately the target scene can be depicted, including the scene geometry and surface material properties. The advances in computer vision and LiDAR make scene geometry estimation increasingly accurate, but there still lacks scalable and efficient approaches to estimate the material reflectivity in real-world environment. In this work, we tackle this problem by learning the material reflectivity efficiently from the path loss of the RF signal from the transmitters to receivers. Specifically, we want the learned material reflection coefficients to minimize the gap between the predicted and measured powers of the receivers. We achieve this by translating the neural reflectance field from optics to RF domain by modelling both the amplitude and phase of RF signals to account for the multipath effects. We further propose a differentiable RF ray tracing framework that optimizes the neural reflectance field to match the signal strength measurements. We simulate a complex real-world environment for experiments and our simulation results show that the neural reflectance field can successfully learn the reflection coefficients for all incident angles. As a result, our approach achieves better accuracy in predicting the powers of receivers with significantly less training data compared to existing approaches.
Abstract:As robots that follow natural language become more capable and prevalent, we need a benchmark to holistically develop and evaluate their ability to solve long-horizon mobile manipulation tasks in large, diverse environments. To tackle this challenge, robots must use visual and language understanding, navigation, and manipulation capabilities. Existing datasets do not integrate all these aspects, restricting their efficacy as benchmarks. To address this gap, we present the Language, Navigation, Manipulation, Perception (LaNMP, pronounced Lamp) dataset and demonstrate the benefits of integrating these four capabilities and various modalities. LaNMP comprises 574 trajectories across eight simulated and real-world environments for long-horizon room-to-room pick-and-place tasks specified by natural language. Every trajectory consists of over 20 attributes, including RGB-D images, segmentations, and the poses of the robot body, end-effector, and grasped objects. We fine-tuned and tested two models in simulation, and evaluated a third on a physical robot, to demonstrate the benchmark's applicability in development and evaluation, as well as making models more sample efficient. The models performed suboptimally compared to humans; however, showed promise in increasing model sample efficiency, indicating significant room for developing more sample efficient multimodal mobile manipulation models using our benchmark.




Abstract:As AI agents leave the lab and venture into the real world as autonomous vehicles, delivery robots, and cooking robots, it is increasingly necessary to design and comprehensively evaluate algorithms that tackle the ``open-world''. To this end, we introduce NovelGym, a flexible and adaptable ecosystem designed to simulate gridworld environments, serving as a robust platform for benchmarking reinforcement learning (RL) and hybrid planning and learning agents in open-world contexts. The modular architecture of NovelGym facilitates rapid creation and modification of task environments, including multi-agent scenarios, with multiple environment transformations, thus providing a dynamic testbed for researchers to develop open-world AI agents.




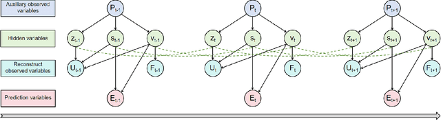
Abstract:Emotion detection is a critical technology extensively employed in diverse fields. While the incorporation of commonsense knowledge has proven beneficial for existing emotion detection methods, dialogue-based emotion detection encounters numerous difficulties and challenges due to human agency and the variability of dialogue content.In dialogues, human emotions tend to accumulate in bursts. However, they are often implicitly expressed. This implies that many genuine emotions remain concealed within a plethora of unrelated words and dialogues.In this paper, we propose a Dynamic Causal Disentanglement Model based on hidden variable separation, which is founded on the separation of hidden variables. This model effectively decomposes the content of dialogues and investigates the temporal accumulation of emotions, thereby enabling more precise emotion recognition. First, we introduce a novel Causal Directed Acyclic Graph (DAG) to establish the correlation between hidden emotional information and other observed elements. Subsequently, our approach utilizes pre-extracted personal attributes and utterance topics as guiding factors for the distribution of hidden variables, aiming to separate irrelevant ones. Specifically, we propose a dynamic temporal disentanglement model to infer the propagation of utterances and hidden variables, enabling the accumulation of emotion-related information throughout the conversation. To guide this disentanglement process, we leverage the ChatGPT-4.0 and LSTM networks to extract utterance topics and personal attributes as observed information.Finally, we test our approach on two popular datasets in dialogue emotion detection and relevant experimental results verified the model's superiority.
Abstract:Unlike most previous HOI methods that focus on learning better human-object features, we propose a novel and complementary approach called category query learning. Such queries are explicitly associated to interaction categories, converted to image specific category representation via a transformer decoder, and learnt via an auxiliary image-level classification task. This idea is motivated by an earlier multi-label image classification method, but is for the first time applied for the challenging human-object interaction classification task. Our method is simple, general and effective. It is validated on three representative HOI baselines and achieves new state-of-the-art results on two benchmarks.