Zhengzhou University
Abstract:Multi-task and few-shot time series forecasting tasks are commonly encountered in scenarios such as the launch of new products in different cities. However, traditional time series forecasting methods suffer from insufficient historical data, which stems from a disregard for the generalized and specific features among different tasks. For the aforementioned challenges, we propose the Feature-Adaptive Time Series Forecasting Framework (FAF), which consists of three key components: the Generalized Knowledge Module (GKM), the Task-Specific Module (TSM), and the Rank Module (RM). During training phase, the GKM is updated through a meta-learning mechanism that enables the model to extract generalized features across related tasks. Meanwhile, the TSM is trained to capture diverse local dynamics through multiple functional regions, each of which learns specific features from individual tasks. During testing phase, the RM dynamically selects the most relevant functional region from the TSM based on input sequence features, which is then combined with the generalized knowledge learned by the GKM to generate accurate forecasts. This design enables FAF to achieve robust and personalized forecasting even with sparse historical observations We evaluate FAF on five diverse real-world datasets under few-shot time series forecasting settings. Experimental results demonstrate that FAF consistently outperforms baselines that include three categories of time series forecasting methods. In particular, FAF achieves a 41.81\% improvement over the best baseline, iTransformer, on the CO$_2$ emissions dataset.

Abstract:Cross-Domain Few-Shot Object Detection (CD-FSOD) poses significant challenges to existing object detection and few-shot detection models when applied across domains. In conjunction with NTIRE 2025, we organized the 1st CD-FSOD Challenge, aiming to advance the performance of current object detectors on entirely novel target domains with only limited labeled data. The challenge attracted 152 registered participants, received submissions from 42 teams, and concluded with 13 teams making valid final submissions. Participants approached the task from diverse perspectives, proposing novel models that achieved new state-of-the-art (SOTA) results under both open-source and closed-source settings. In this report, we present an overview of the 1st NTIRE 2025 CD-FSOD Challenge, highlighting the proposed solutions and summarizing the results submitted by the participants.

Abstract:Despite significant progress in AI and decision-making technologies in safety-critical fields, challenges remain in verifying the correctness of decision output schemes and verification-result driven design. We propose correctness learning (CL) to enhance human-AI collaboration integrating deductive verification methods and insights from historical high-quality schemes. The typical pattern hidden in historical high-quality schemes, such as change of task priorities in shared resources, provides critical guidance for intelligent agents in learning and decision-making. By utilizing deductive verification methods, we proposed patten-driven correctness learning (PDCL), formally modeling and reasoning the adaptive behaviors-or 'correctness pattern'-of system agents based on historical high-quality schemes, capturing the logical relationships embedded within these schemes. Using this logical information as guidance, we establish a correctness judgment and feedback mechanism to steer the intelligent decision model toward the 'correctness pattern' reflected in historical high-quality schemes. Extensive experiments across multiple working conditions and core parameters validate the framework's components and demonstrate its effectiveness in improving decision-making and resource optimization.





Abstract:Deep learning is currently reaching outstanding performances on different tasks, including image classification, especially when using large neural networks. The success of these models is tributary to the availability of large collections of labeled training data. In many real-world scenarios, labeled data are scarce, and their hand-labeling is time, effort and cost demanding. Active learning is an alternative paradigm that mitigates the effort in hand-labeling data, where only a small fraction is iteratively selected from a large pool of unlabeled data, and annotated by an expert (a.k.a oracle), and eventually used to update the learning models. However, existing active learning solutions are dependent on handcrafted strategies that may fail in highly variable learning environments (datasets, scenarios, etc). In this work, we devise an adaptive active learning method based on Markov Decision Process (MDP). Our framework leverages deep reinforcement learning and active learning together with a Deep Deterministic Policy Gradient (DDPG) in order to dynamically adapt sample selection strategies to the oracle's feedback and the learning environment. Extensive experiments conducted on three different image classification benchmarks show superior performances against several existing active learning strategies.





Abstract:Trajectory prediction is a pivotal component of autonomous driving systems, enabling the application of accumulated movement experience to current scenarios. Although most existing methods concentrate on learning continuous representations to gain valuable experience, they often suffer from computational inefficiencies and struggle with unfamiliar situations. To address this issue, we propose the Fragmented-Memory-based Trajectory Prediction (FMTP) model, inspired by the remarkable learning capabilities of humans, particularly their ability to leverage accumulated experience and recall relevant memories in unfamiliar situations. The FMTP model employs discrete representations to enhance computational efficiency by reducing information redundancy while maintaining the flexibility to utilize past experiences. Specifically, we design a learnable memory array by consolidating continuous trajectory representations from the training set using defined quantization operations during the training phase. This approach further eliminates redundant information while preserving essential features in discrete form. Additionally, we develop an advanced reasoning engine based on language models to deeply learn the associative rules among these discrete representations. Our method has been evaluated on various public datasets, including ETH-UCY, inD, SDD, nuScenes, Waymo, and VTL-TP. The extensive experimental results demonstrate that our approach achieves significant performance and extracts more valuable experience from past trajectories to inform the current state.

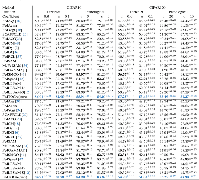
Abstract:Federated Learning (FL) can be coordinated under the orchestration of a central server to collaboratively build a privacy-preserving model without the need for data exchange. However, participant data heterogeneity leads to local optima divergence, subsequently affecting convergence outcomes. Recent research has focused on global sharpness-aware minimization (SAM) and dynamic regularization techniques to enhance consistency between global and local generalization and optimization objectives. Nonetheless, the estimation of global SAM introduces additional computational and memory overhead, while dynamic regularization suffers from bias in the local and global dual variables due to training isolation. In this paper, we propose a novel FL algorithm, FedTOGA, designed to consider optimization and generalization objectives while maintaining minimal uplink communication overhead. By linking local perturbations to global updates, global generalization consistency is improved. Additionally, global updates are used to correct local dynamic regularizers, reducing dual variables bias and enhancing optimization consistency. Global updates are passively received by clients, reducing overhead. We also propose neighborhood perturbation to approximate local perturbation, analyzing its strengths and limitations. Theoretical analysis shows FedTOGA achieves faster convergence $O(1/T)$ under non-convex functions. Empirical studies demonstrate that FedTOGA outperforms state-of-the-art algorithms, with a 1\% accuracy increase and 30\% faster convergence, achieving state-of-the-art.





Abstract:Large language models (LLMs) have garnered increasing attention owing to their powerful logical reasoning capabilities. Generally, larger LLMs (L-LLMs) that require paid interfaces exhibit significantly superior performance compared to smaller LLMs (S-LLMs) that can be deployed on a variety of devices. Knowledge distillation (KD) aims to empower S-LLMs with the capabilities of L-LLMs, while S-LLMs merely mimic the outputs of L-LLMs, failing to get the powerful logical reasoning capabilities. Consequently, S-LLMs are helpless when it comes to planning and decision-making tasks that require logical reasoning capabilities. To tackle the identified challenges, we propose a novel framework called Logic Distillation (LD). Initially, LD employs L-LLMs to instantiate complex instructions into discrete functions and illustrates their usage to establish a function base. Subsequently, based on the function base, LD fine-tunes S-LLMs to learn the logic employed by L-LLMs in planning and decision-making. During testing, LD utilizes a retriever to identify the top-$K$ relevant functions based on instructions and current states, which will be selected and invoked by S-LLMs. Ultimately, S-LLMs yield planning and decision-making outcomes, function by function. Relevant experiments demonstrate that with the assistance of LD, S-LLMs can achieve outstanding results in planning and decision-making tasks, comparable to, or even surpassing, those of L-LLMs.

Abstract:Pretrained large models (PLMs), such as ChatGPT, have demonstrated remarkable performance across diverse tasks. However, the significant computational requirements of PLMs have discouraged most product teams from running or fine-tuning them. In such cases, to harness the exceptional performance of PLMs, one must rely on expensive APIs, thereby exacerbating the economic burden. Despite the overall inferior performance of small models, in specific distributions, they can achieve comparable or even superior results. Consequently, some input can be processed exclusively by small models. On the other hand, certain tasks can be broken down into multiple subtasks, some of which can be completed without powerful capabilities. Under these circumstances, small models can handle the simple subtasks, allowing large models to focus on challenging subtasks, thus improving the performance. We propose Data Shunt$^+$ (DS$^+$), a general paradigm for collaboration of small and large models. DS$^+$ not only substantially reduces the cost associated with querying large models but also effectively improves large models' performance. For instance, ChatGPT achieves an accuracy of $94.43\%$ on Amazon Product sentiment analysis, and DS$^+$ achieves an accuracy of $95.64\%$, while the cost has been reduced to only $31.18\%$. Besides, experiments also prove that the proposed collaborative-based paradigm can better inject specific task knowledge into PLMs compared to fine-tuning.





Abstract:Few-shot detection is a major task in pattern recognition which seeks to localize objects using models trained with few labeled data. One of the mainstream few-shot methods is transfer learning which consists in pretraining a detection model in a source domain prior to its fine-tuning in a target domain. However, it is challenging for fine-tuned models to effectively identify new classes in the target domain, particularly when the underlying labeled training data are scarce. In this paper, we devise a novel sparse context transformer (SCT) that effectively leverages object knowledge in the source domain, and automatically learns a sparse context from only few training images in the target domain. As a result, it combines different relevant clues in order to enhance the discrimination power of the learned detectors and reduce class confusion. We evaluate the proposed method on two challenging few-shot object detection benchmarks, and empirical results show that the proposed method obtains competitive performance compared to the related state-of-the-art.

Abstract:Surface defect inspection plays an important role in the process of industrial manufacture and production. Though Convolutional Neural Network (CNN) based defect inspection methods have made huge leaps, they still confront a lot of challenges such as defect scale variation, complex background, low contrast, and so on. To address these issues, we propose a joint attention-guided feature fusion network (JAFFNet) for saliency detection of surface defects based on the encoder-decoder network. JAFFNet mainly incorporates a joint attention-guided feature fusion (JAFF) module into decoding stages to adaptively fuse low-level and high-level features. The JAFF module learns to emphasize defect features and suppress background noise during feature fusion, which is beneficial for detecting low-contrast defects. In addition, JAFFNet introduces a dense receptive field (DRF) module following the encoder to capture features with rich context information, which helps detect defects of different scales. The JAFF module mainly utilizes a learned joint channel-spatial attention map provided by high-level semantic features to guide feature fusion. The attention map makes the model pay more attention to defect features. The DRF module utilizes a sequence of multi-receptive-field (MRF) units with each taking as inputs all the preceding MRF feature maps and the original input. The obtained DRF features capture rich context information with a large range of receptive fields. Extensive experiments conducted on SD-saliency-900, Magnetic tile, and DAGM 2007 indicate that our method achieves promising performance in comparison with other state-of-the-art methods. Meanwhile, our method reaches a real-time defect detection speed of 66 FPS.
