Abstract:Large language models are computationally expensive due to their deep structures. Prior research has shown that intermediate layers contain sufficient information to generate accurate answers, leading to the development of early-exit algorithms that reduce inference costs by terminating computation at earlier layers. However, these methods often suffer from poor performance due to misalignment between intermediate and output layer representations that lead to decoding inaccuracy. To address these challenges, we propose SPADE (SPace Alignment DEcoding), a novel decoding method that aligns intermediate layer representations with the output layer by propagating a minimally reduced sequence consisting of only the start token and the answer token. We further optimize the early-exit decision-making process by training a linear approximation of SPADE that computes entropy-based confidence metrics. Putting them together, we create a hybrid early-exit algorithm that monitors confidence levels and stops inference at intermediate layers while using SPADE to generate high-quality outputs. This approach significantly reduces inference costs without compromising accuracy, offering a scalable and efficient solution for deploying large language models in real-world applications.
Abstract:Despite impressive advancements in Visual-Language Models (VLMs) for multi-modal tasks, their reliance on RGB inputs limits precise spatial understanding. Existing methods for integrating spatial cues, such as point clouds or depth, either require specialized sensors or fail to effectively exploit depth information for higher-order reasoning. To this end, we propose a novel Spatial Sense and Reasoning method, dubbed SSR, a novel framework that transforms raw depth data into structured, interpretable textual rationales. These textual rationales serve as meaningful intermediate representations to significantly enhance spatial reasoning capabilities. Additionally, we leverage knowledge distillation to compress the generated rationales into compact latent embeddings, which facilitate resource-efficient and plug-and-play integration into existing VLMs without retraining. To enable comprehensive evaluation, we introduce a new dataset named SSR-CoT, a million-scale visual-language reasoning dataset enriched with intermediate spatial reasoning annotations, and present SSRBench, a comprehensive multi-task benchmark. Extensive experiments on multiple benchmarks demonstrate SSR substantially improves depth utilization and enhances spatial reasoning, thereby advancing VLMs toward more human-like multi-modal understanding. Our project page is at https://yliu-cs.github.io/SSR.




Abstract:Instruction Fine-Tuning (IFT) has become an essential method for adapting base Large Language Models (LLMs) into variants for professional and private use. However, researchers have raised concerns over a significant decrease in LLMs' security following IFT, even when the IFT process involves entirely benign instructions (termed Benign IFT). Our study represents a pioneering effort to mitigate the security risks arising from Benign IFT. Specifically, we conduct a Module Robustness Analysis, aiming to investigate how LLMs' internal modules contribute to their security. Based on our analysis, we propose a novel IFT strategy, called the Modular Layer-wise Learning Rate (ML-LR) strategy. In our analysis, we implement a simple security feature classifier that serves as a proxy to measure the robustness of modules (e.g. $Q$/$K$/$V$, etc.). Our findings reveal that the module robustness shows clear patterns, varying regularly with the module type and the layer depth. Leveraging these insights, we develop a proxy-guided search algorithm to identify a robust subset of modules, termed Mods$_{Robust}$. During IFT, the ML-LR strategy employs differentiated learning rates for Mods$_{Robust}$ and the rest modules. Our experimental results show that in security assessments, the application of our ML-LR strategy significantly mitigates the rise in harmfulness of LLMs following Benign IFT. Notably, our ML-LR strategy has little impact on the usability or expertise of LLMs following Benign IFT. Furthermore, we have conducted comprehensive analyses to verify the soundness and flexibility of our ML-LR strategy.




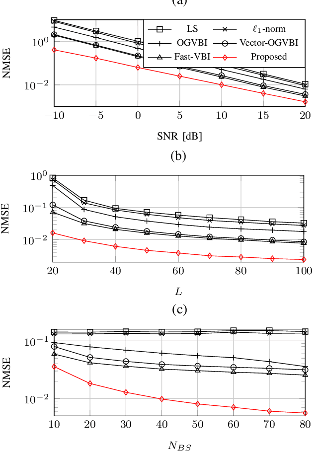
Abstract:Accurate channel estimation in orthogonal time frequency space (OTFS) systems with massive multiple-input multiple-output (MIMO) configurations is challenging due to high-dimensional sparse representation (SR). Existing methods often face performance degradation and/or high computational complexity. To address these issues and exploit intricate channel sparsity structure, this letter first leverages a novel hybrid burst-sparsity prior to capture the burst/common sparse structure in the angle/delay domain, and then utilizes an independent variational Bayesian inference (VBI) factorization technique to efficiently solve the high-dimensional SR problem. Additionally, an angle/Doppler refinement approach is incorporated into the proposed method to automatically mitigate off-grid mismatches.
Abstract:Large Language Models (LLMs) have demonstrated remarkable abilities, one of the most important being In-Context Learning (ICL). With ICL, LLMs can derive the underlying rule from a few demonstrations and provide answers that comply with the rule. Previous work hypothesized that the network creates a "task vector" in specific positions during ICL. Patching the "task vector" allows LLMs to achieve zero-shot performance similar to few-shot learning. However, we discover that such "task vectors" do not exist in tasks where the rule has to be defined through multiple demonstrations. Instead, the rule information provided by each demonstration is first transmitted to its answer position and forms its own rule vector. Importantly, all the rule vectors contribute to the output in a distributed manner. We further show that the rule vectors encode a high-level abstraction of rules extracted from the demonstrations. These results are further validated in a series of tasks that rely on rules dependent on multiple demonstrations. Our study provides novel insights into the mechanism underlying ICL in LLMs, demonstrating how ICL may be achieved through an information aggregation mechanism.




Abstract:Large Language Models (LLMs) are increasingly deployed in various applications. As their usage grows, concerns regarding their safety are rising, especially in maintaining harmless responses when faced with malicious instructions. Many defense strategies have been developed to enhance the safety of LLMs. However, our research finds that existing defense strategies lead LLMs to predominantly adopt a rejection-oriented stance, thereby diminishing the usability of their responses to benign instructions. To solve this problem, we introduce the MoGU framework, designed to enhance LLMs' safety while preserving their usability. Our MoGU framework transforms the base LLM into two variants: the usable LLM and the safe LLM, and further employs dynamic routing to balance their contribution. When encountering malicious instructions, the router will assign a higher weight to the safe LLM to ensure that responses are harmless. Conversely, for benign instructions, the router prioritizes the usable LLM, facilitating usable and helpful responses. On various open-sourced LLMs, we compare multiple defense strategies to verify the superiority of our MoGU framework. Besides, our analysis provides key insights into the effectiveness of MoGU and verifies that our designed routing mechanism can effectively balance the contribution of each variant by assigning weights. Our work released the safer Llama2, Vicuna, Falcon, Dolphin, and Baichuan2.
Abstract:Extensive work has been devoted to improving the safety mechanism of Large Language Models (LLMs). However, in specific scenarios, LLMs still generate harmful responses when faced with malicious instructions, a phenomenon referred to as "Jailbreak Attack". In our research, we introduce a novel jailbreak attack method (\textbf{RADIAL}), which consists of two steps: 1) Inherent Response Tendency Analysis: we analyze the inherent affirmation and rejection tendency of LLMs to react to real-world instructions. 2) Real-World Instructions-Driven Jailbreak: based on our analysis, we strategically choose several real-world instructions and embed malicious instructions into them to amplify the LLM's potential to generate harmful responses. On three open-source human-aligned LLMs, our method achieves excellent jailbreak attack performance for both Chinese and English malicious instructions. Besides, we guided detailed ablation experiments and verified the effectiveness of our core idea "Inherent Response Tendency Analysis". Our exploration also exposes the vulnerability of LLMs to being induced into generating more detailed harmful responses in subsequent rounds of dialogue.




Abstract:Uplift modeling has shown very promising results in online marketing. However, most existing works are prone to the robustness challenge in some practical applications. In this paper, we first present a possible explanation for the above phenomenon. We verify that there is a feature sensitivity problem in online marketing using different real-world datasets, where the perturbation of some key features will seriously affect the performance of the uplift model and even cause the opposite trend. To solve the above problem, we propose a novel robustness-enhanced uplift modeling framework with adversarial feature desensitization (RUAD). Specifically, our RUAD can more effectively alleviate the feature sensitivity of the uplift model through two customized modules, including a feature selection module with joint multi-label modeling to identify a key subset from the input features and an adversarial feature desensitization module using adversarial training and soft interpolation operations to enhance the robustness of the model against this selected subset of features. Finally, we conduct extensive experiments on a public dataset and a real product dataset to verify the effectiveness of our RUAD in online marketing. In addition, we also demonstrate the robustness of our RUAD to the feature sensitivity, as well as the compatibility with different uplift models.




Abstract:Existing differentiable channel pruning methods often attach scaling factors or masks behind channels to prune filters with less importance, and assume uniform contribution of input samples to filter importance. Specifically, the effects of instance complexity on pruning performance are not yet fully investigated. In this paper, we propose a simple yet effective differentiable network pruning method CAP based on instance complexity-aware filter importance scores. We define instance complexity related weight for each sample by giving higher weights to hard samples, and measure the weighted sum of sample-specific soft masks to model non-uniform contribution of different inputs, which encourages hard samples to dominate the pruning process and the model performance to be well preserved. In addition, we introduce a new regularizer to encourage polarization of the masks, such that a sweet spot can be easily found to identify the filters to be pruned. Performance evaluations on various network architectures and datasets demonstrate CAP has advantages over the state-of-the-arts in pruning large networks. For instance, CAP improves the accuracy of ResNet56 on CIFAR-10 dataset by 0.33% aftering removing 65.64% FLOPs, and prunes 87.75% FLOPs of ResNet50 on ImageNet dataset with only 0.89% Top-1 accuracy loss.




Abstract:In the current salient object detection network, the most popular method is using U-shape structure. However, the massive number of parameters leads to more consumption of computing and storage resources which are not feasible to deploy on the limited memory device. Some others shallow layer network will not maintain the same accuracy compared with U-shape structure and the deep network structure with more parameters will not converge to a global minimum loss with great speed. To overcome all of these disadvantages, we proposed a new deep convolution network architecture with three contributions: (1) using smaller convolution neural networks (CNNs) to compress the model in our improved salient object features compression and reinforcement extraction module (ISFCREM) to reduce parameters of the model. (2) introducing channel attention mechanism in ISFCREM to weigh different channels for improving the ability of feature representation. (3) applying a new optimizer to accumulate the long-term gradient information during training to adaptively tune the learning rate. The results demonstrate that the proposed method can compress the model to 1/3 of the original size nearly without losing the accuracy and converging faster and more smoothly on six widely used datasets of salient object detection compared with the others models. Our code is published in https://gitee.com/binzhangbinzhangbin/code-a-novel-attention-based-network-for-fast-salient-object-detection.git