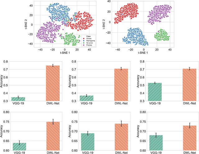
Abstract:Advancements in deep learning are revolutionizing science and engineering. The immense success of deep learning is largely due to its ability to extract essential high-dimensional (HD) features from input data and make inference decisions based on this information. However, current deep neural network (DNN) models face several challenges, such as the requirements of extensive amounts of data and computational resources. Here, we introduce a new learning scheme, referred to as deep-and-wide learning (DWL), to systematically capture features not only within individual input data (intra-data features) but also across the data (inter-data features). Furthermore, we propose a dual-interactive-channel network (D-Net) to realize the DWL, which leverages our Bayesian formulation of low-dimensional (LD) inter-data feature extraction and its synergistic interaction with the conventional HD representation of the dataset, for substantially enhanced computational efficiency and inference. The proposed technique has been applied to data across various disciplines for both classification and regression tasks. Our results demonstrate that DWL surpasses state-of-the-art DNNs in accuracy by a substantial margin with limited training data and improves the computational efficiency by order(s) of magnitude. The proposed DWL strategy dramatically alters the data-driven learning techniques, including emerging large foundation models, and sheds significant insights into the evolving field of AI.




Abstract:Recently, multi-view learning has witnessed a considerable interest on the research of trusted decision-making. Previous methods are mainly inspired from an important paper published by Han et al. in 2021, which formulates a Trusted Multi-view Classification (TMC) framework that aggregates evidence from different views based on Dempster's combination rule. All these methods only consider inter-view aggregation, yet lacking exploitation of intra-view information. In this paper, we propose a generalized trusted multi-view classification framework with hierarchical opinion aggregation. This hierarchical framework includes a two-phase aggregation process: the intra-view and inter-view aggregation hierarchies. In the intra aggregation, we assume that each view is comprised of common information shared with other views, as well as its specific information. We then aggregate both the common and specific information. This aggregation phase is useful to eliminate the feature noise inherent to view itself, thereby improving the view quality. In the inter-view aggregation, we design an attention mechanism at the evidence level to facilitate opinion aggregation from different views. To the best of our knowledge, this is one of the pioneering efforts to formulate a hierarchical aggregation framework in the trusted multi-view learning domain. Extensive experiments show that our model outperforms some state-of-art trust-related baselines.
Abstract:Non-semantic context information is crucial for visual recognition, as the human visual perception system first uses global statistics to process scenes rapidly before identifying specific objects. However, while semantic information is increasingly incorporated into computer vision tasks such as image reconstruction, non-semantic information, such as global spatial structures, is often overlooked. To bridge the gap, we propose a biologically informed non-semantic context descriptor, \textbf{MS-Glance}, along with the Glance Index Measure for comparing two images. A Global Glance vector is formulated by randomly retrieving pixels based on a perception-driven rule from an image to form a vector representing non-semantic global context, while a local Glance vector is a flattened local image window, mimicking a zoom-in observation. The Glance Index is defined as the inner product of two standardized sets of Glance vectors. We evaluate the effectiveness of incorporating Glance supervision in two reconstruction tasks: image fitting with implicit neural representation (INR) and undersampled MRI reconstruction. Extensive experimental results show that MS-Glance outperforms existing image restoration losses across both natural and medical images. The code is available at \url{https://github.com/Z7Gao/MSGlance}.




Abstract:During and after a course of therapy, imaging is routinely used to monitor the disease progression and assess the treatment responses. Despite of its significance, reliably capturing and predicting the spatial-temporal anatomic changes from a sequence of patient-specific image series presents a considerable challenge. Thus, the development of a computational framework becomes highly desirable for a multitude of practical applications. In this context, we propose a strategy of Spatial-Temporal Neural Representation learning with Prior embedding (ST-NeRP) for patient-specific imaging study. Our strategy involves leveraging an Implicit Neural Representation (INR) network to encode the image at the reference time point into a prior embedding. Subsequently, a spatial-temporally continuous deformation function is learned through another INR network. This network is trained using the whole patient-specific image sequence, enabling the prediction of deformation fields at various target time points. The efficacy of the ST-NeRP model is demonstrated through its application to diverse sequential image series, including 4D CT and longitudinal CT datasets within thoracic and abdominal imaging. The proposed ST-NeRP model exhibits substantial potential in enabling the monitoring of anatomical changes within a patient throughout the therapeutic journey.




Abstract:The human brain represents an object by small elements and distinguishes two objects based on the difference in elements. Discovering the distinctive elements of high-dimensional datasets is therefore critical in numerous perception-driven biomedical and clinical studies. However, currently there is no available method for reliable extraction of distinctive elements of high-dimensional biomedical and clinical datasets. Here we present an unsupervised deep learning technique namely distinctive element analysis (DEA), which extracts the distinctive data elements using high-dimensional correlative information of the datasets. DEA at first computes a large number of distinctive parts of the data, then filters and condenses the parts into DEA elements by employing a unique kernel-driven triple-optimization network. DEA has been found to improve the accuracy by up to 45% in comparison to the traditional techniques in applications such as disease detection from medical images, gene ranking and cell recognition from single cell RNA sequence (scRNA-seq) datasets. Moreover, DEA allows user-guided manipulation of the intermediate calculation process and thus offers intermediate results with better interpretability.
Abstract:Multi-modality imaging is widely used in clinical practice and biomedical research to gain a comprehensive understanding of an imaging subject. Currently, multi-modality imaging is accomplished by post hoc fusion of independently reconstructed images under the guidance of mutual information or spatially registered hardware, which limits the accuracy and utility of multi-modality imaging. Here, we investigate a data-driven multi-modality imaging (DMI) strategy for synergetic imaging of CT and MRI. We reveal two distinct types of features in multi-modality imaging, namely intra- and inter-modality features, and present a multi-sensor learning (MSL) framework to utilize the crossover inter-modality features for augmented multi-modality imaging. The MSL imaging approach breaks down the boundaries of traditional imaging modalities and allows for optimal hybridization of CT and MRI, which maximizes the use of sensory data. We showcase the effectiveness of our DMI strategy through synergetic CT-MRI brain imaging. The principle of DMI is quite general and holds enormous potential for various DMI applications across disciplines.




Abstract:With the release of a large amount of astronomical data, an increasing number of close-in hot Jupiters have been discovered. Calculating their evolutionary curves using star-planet interaction models presents a challenge. To expedite the generation of evolutionary curves for these close-in hot Jupiter systems, we utilized tidal interaction models established on MESA to create 15,745 samples of star-planet systems and 7,500 samples of stars. Additionally, we employed a neural network (Multi-Layer Perceptron - MLP) to predict the evolutionary curves of the systems, including stellar effective temperature, radius, stellar rotation period, and planetary orbital period. The median relative errors of the predicted evolutionary curves were found to be 0.15%, 0.43%, 2.61%, and 0.57%, respectively. Furthermore, the speed at which we generate evolutionary curves exceeds that of model-generated curves by more than four orders of magnitude. We also extracted features of planetary migration states and utilized lightGBM to classify the samples into 6 categories for prediction. We found that by combining three types that undergo long-term double synchronization into one label, the classifier effectively recognized these features. Apart from systems experiencing long-term double synchronization, the median relative errors of the predicted evolutionary curves were all below 4%. Our work provides an efficient method to save significant computational resources and time with minimal loss in accuracy. This research also lays the foundation for analyzing the evolutionary characteristics of systems under different migration states, aiding in the understanding of the underlying physical mechanisms of such systems. Finally, to a large extent, our approach could replace the calculations of theoretical models.
Abstract:This paper introduces MedTrinity-25M, a comprehensive, large-scale multimodal dataset for medicine, covering over 25 million images across 10 modalities, with multigranular annotations for more than 65 diseases. These enriched annotations encompass both global textual information, such as disease/lesion type, modality, region-specific descriptions, and inter-regional relationships, as well as detailed local annotations for regions of interest (ROIs), including bounding boxes, segmentation masks. Unlike existing approach which is limited by the availability of image-text pairs, we have developed the first automated pipeline that scales up multimodal data by generating multigranular visual and texual annotations (in the form of image-ROI-description triplets) without the need for any paired text descriptions. Specifically, data from over 90 different sources have been collected, preprocessed, and grounded using domain-specific expert models to identify ROIs related to abnormal regions. We then build a comprehensive knowledge base and prompt multimodal large language models to perform retrieval-augmented generation with the identified ROIs as guidance, resulting in multigranular texual descriptions. Compared to existing datasets, MedTrinity-25M provides the most enriched annotations, supporting a comprehensive range of multimodal tasks such as captioning and report generation, as well as vision-centric tasks like classification and segmentation. Pretraining on MedTrinity-25M, our model achieves state-of-the-art performance on VQA-RAD and PathVQA, surpassing both multimodal large language models and other representative SoTA approaches. This dataset can also be utilized to support large-scale pre-training of multimodal medical AI models, contributing to the development of future foundation models in the medical domain.
Abstract:Radiation therapy (RT) is one of the most effective treatments for cancer, and its success relies on the accurate delineation of targets. However, target delineation is a comprehensive medical decision that currently relies purely on manual processes by human experts. Manual delineation is time-consuming, laborious, and subject to interobserver variations. Although the advancements in artificial intelligence (AI) techniques have significantly enhanced the auto-contouring of normal tissues, accurate delineation of RT target volumes remains a challenge. In this study, we propose a visual language model-based RT target volume auto-delineation network termed Radformer. The Radformer utilizes a hierarichal vision transformer as the backbone and incorporates large language models to extract text-rich features from clinical data. We introduce a visual language attention module (VLAM) for integrating visual and linguistic features for language-aware visual encoding (LAVE). The Radformer has been evaluated on a dataset comprising 2985 patients with head-and-neck cancer who underwent RT. Metrics, including the Dice similarity coefficient (DSC), intersection over union (IOU), and 95th percentile Hausdorff distance (HD95), were used to evaluate the performance of the model quantitatively. Our results demonstrate that the Radformer has superior segmentation performance compared to other state-of-the-art models, validating its potential for adoption in RT practice.




Abstract:Radiotherapy treatment planning is a time-consuming and potentially subjective process that requires the iterative adjustment of model parameters to balance multiple conflicting objectives. Recent advancements in large foundation models offer promising avenues for addressing the challenges in planning and clinical decision-making. This study introduces GPT-RadPlan, a fully automated treatment planning framework that harnesses prior radiation oncology knowledge encoded in multi-modal large language models, such as GPT-4Vision (GPT-4V) from OpenAI. GPT-RadPlan is made aware of planning protocols as context and acts as an expert human planner, capable of guiding a treatment planning process. Via in-context learning, we incorporate clinical protocols for various disease sites as prompts to enable GPT-4V to acquire treatment planning domain knowledge. The resulting GPT-RadPlan agent is integrated into our in-house inverse treatment planning system through an API. The efficacy of the automated planning system is showcased using multiple prostate and head & neck cancer cases, where we compared GPT-RadPlan results to clinical plans. In all cases, GPT-RadPlan either outperformed or matched the clinical plans, demonstrating superior target coverage and organ-at-risk sparing. Consistently satisfying the dosimetric objectives in the clinical protocol, GPT-RadPlan represents the first multimodal large language model agent that mimics the behaviors of human planners in radiation oncology clinics, achieving remarkable results in automating the treatment planning process without the need for additional training.