



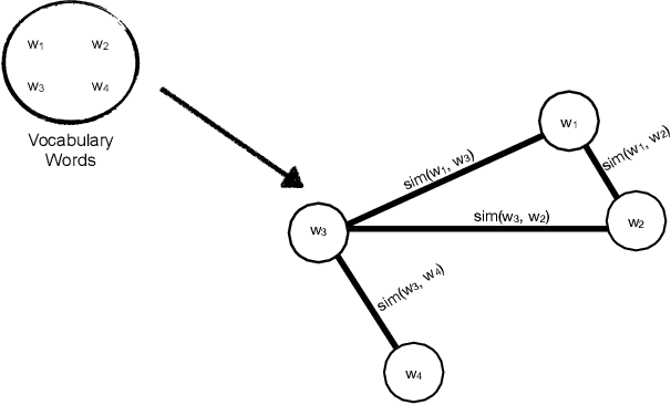
Abstract:In today's assistant landscape, personalisation enhances interactions, fosters long-term relationships, and deepens engagement. However, many systems struggle with retaining user preferences, leading to repetitive user requests and disengagement. Furthermore, the unregulated and opaque extraction of user preferences in industry applications raises significant concerns about privacy and trust, especially in regions with stringent regulations like Europe. In response to these challenges, we propose a long-term memory system for voice assistants, structured around predefined categories. This approach leverages Large Language Models to efficiently extract, store, and retrieve preferences within these categories, ensuring both personalisation and transparency. We also introduce a synthetic multi-turn, multi-session conversation dataset (CarMem), grounded in real industry data, tailored to an in-car voice assistant setting. Benchmarked on the dataset, our system achieves an F1-score of .78 to .95 in preference extraction, depending on category granularity. Our maintenance strategy reduces redundant preferences by 95% and contradictory ones by 92%, while the accuracy of optimal retrieval is at .87. Collectively, the results demonstrate the system's suitability for industrial applications.




Abstract:The Multimodal Sentiment Analysis Challenge (MuSe) 2024 addresses two contemporary multimodal affect and sentiment analysis problems: In the Social Perception Sub-Challenge (MuSe-Perception), participants will predict 16 different social attributes of individuals such as assertiveness, dominance, likability, and sincerity based on the provided audio-visual data. The Cross-Cultural Humor Detection Sub-Challenge (MuSe-Humor) dataset expands upon the Passau Spontaneous Football Coach Humor (Passau-SFCH) dataset, focusing on the detection of spontaneous humor in a cross-lingual and cross-cultural setting. The main objective of MuSe 2024 is to unite a broad audience from various research domains, including multimodal sentiment analysis, audio-visual affective computing, continuous signal processing, and natural language processing. By fostering collaboration and exchange among experts in these fields, the MuSe 2024 endeavors to advance the understanding and application of sentiment analysis and affective computing across multiple modalities. This baseline paper provides details on each sub-challenge and its corresponding dataset, extracted features from each data modality, and discusses challenge baselines. For our baseline system, we make use of a range of Transformers and expert-designed features and train Gated Recurrent Unit (GRU)-Recurrent Neural Network (RNN) models on them, resulting in a competitive baseline system. On the unseen test datasets of the respective sub-challenges, it achieves a mean Pearson's Correlation Coefficient ($\rho$) of 0.3573 for MuSe-Perception and an Area Under the Curve (AUC) value of 0.8682 for MuSe-Humor.



Abstract:Professional athletes increasingly use automated analysis of meta- and signal data to improve their training and game performance. As in other related human-to-human research fields, signal data, in particular, contain important performance- and mood-specific indicators for automated analysis. In this paper, we introduce the novel data set SCORE! to investigate the performance of several features and machine learning paradigms in the prediction of the sex and immediate stroke success in tennis matches, based only on vocal expression through players' grunts. The data was gathered from YouTube, labelled under the exact same definition, and the audio processed for modelling. We extract several widely used basic, expert-knowledge, and deep acoustic features of the audio samples and evaluate their effectiveness in combination with various machine learning approaches. In a binary setting, the best system, using spectrograms and a Convolutional Recurrent Neural Network, achieves an unweighted average recall (UAR) of 84.0 % for the player sex prediction task, and 60.3 % predicting stroke success, based only on acoustic cues in players' grunts of both sexes. Further, we achieve a UAR of 58.3 %, and 61.3 %, when the models are exclusively trained on female or male grunts, respectively.




Abstract:The COVID-19 pandemic has caused massive humanitarian and economic damage. Teams of scientists from a broad range of disciplines have searched for methods to help governments and communities combat the disease. One avenue from the machine learning field which has been explored is the prospect of a digital mass test which can detect COVID-19 from infected individuals' respiratory sounds. We present a summary of the results from the INTERSPEECH 2021 Computational Paralinguistics Challenges: COVID-19 Cough, (CCS) and COVID-19 Speech, (CSS).




Abstract:Emotion is an inherently subjective psychophysiological human-state and to produce an agreed-upon representation (gold standard) for continuous emotion requires a time-consuming and costly training procedure of multiple human annotators. There is strong evidence in the literature that physiological signals are sufficient objective markers for states of emotion, particularly arousal. In this contribution, we utilise a dataset which includes continuous emotion and physiological signals - Heartbeats per Minute (BPM), Electrodermal Activity (EDA), and Respiration-rate - captured during a stress inducing scenario (Trier Social Stress Test). We utilise a Long Short-Term Memory, Recurrent Neural Network to explore the benefit of fusing these physiological signals with arousal as the target, learning from various audio, video, and textual based features. We utilise the state-of-the-art MuSe-Toolbox to consider both annotation delay and inter-rater agreement weighting when fusing the target signals. An improvement in Concordance Correlation Coefficient (CCC) is seen across features sets when fusing EDA with arousal, compared to the arousal only gold standard results. Additionally, BERT-based textual features' results improved for arousal plus all physiological signals, obtaining up to .3344 CCC compared to .2118 CCC for arousal only. Multimodal fusion also improves overall CCC with audio plus video features obtaining up to .6157 CCC to recognize arousal plus EDA and BPM.




Abstract:We introduce the MuSe-Toolbox - a Python-based open-source toolkit for creating a variety of continuous and discrete emotion gold standards. In a single framework, we unify a wide range of fusion methods and propose the novel Rater Aligned Annotation Weighting (RAAW), which aligns the annotations in a translation-invariant way before weighting and fusing them based on the inter-rater agreements between the annotations. Furthermore, discrete categories tend to be easier for humans to interpret than continuous signals. With this in mind, the MuSe-Toolbox provides the functionality to run exhaustive searches for meaningful class clusters in the continuous gold standards. To our knowledge, this is the first toolkit that provides a wide selection of state-of-the-art emotional gold standard methods and their transformation to discrete classes. Experimental results indicate that MuSe-Toolbox can provide promising and novel class formations which can be better predicted than hard-coded classes boundaries with minimal human intervention. The implementation (1) is out-of-the-box available with all dependencies using a Docker container (2).




Abstract:Portraying emotion and trustworthiness is known to increase the appeal of video content. However, the causal relationship between these signals and online user engagement is not well understood. This limited understanding is partly due to a scarcity in emotionally annotated data and the varied modalities which express user engagement online. In this contribution, we utilise a large dataset of YouTube review videos which includes ca. 600 hours of dimensional arousal, valence and trustworthiness annotations. We investigate features extracted from these signals against various user engagement indicators including views, like/dislike ratio, as well as the sentiment of comments. In doing so, we identify the positive and negative influences which single features have, as well as interpretable patterns in each dimension which relate to user engagement. Our results demonstrate that smaller boundary ranges and fluctuations for arousal lead to an increase in user engagement. Furthermore, the extracted time-series features reveal significant (p<0.05) correlations for each dimension, such as, count below signal mean (arousal), number of peaks (valence), and absolute energy (trustworthiness). From this, an effective combination of features is outlined for approaches aiming to automatically predict several user engagement indicators. In a user engagement prediction paradigm we compare all features against semi-automatic (cross-task), and automatic (task-specific) feature selection methods. These selected feature sets appear to outperform the usage of all features, e.g., using all features achieves 1.55 likes per day (Lp/d) mean absolute error from valence; this improves through semi-automatic and automatic selection to 1.33 and 1.23 Lp/d, respectively (data mean 9.72 Lp/d with a std. 28.75 Lp/d).




Abstract:To unfold the tremendous amount of audiovisual data uploaded daily to social media platforms, effective topic modelling techniques are needed. Existing work tends to apply variants of topic models on text data sets. In this paper, we aim at developing a topic extractor on video transcriptions. The model improves coherence by exploiting neural word embeddings through a graph-based clustering method. Unlike typical topic models, this approach works without knowing the true number of topics. Experimental results on the real-life multimodal data set MuSe-CaR demonstrates that our approach extracts coherent and meaningful topics, outperforming baseline methods. Furthermore, we successfully demonstrate the generalisability of our approach on a pure text review data set.




Abstract:Multimodal Sentiment Analysis (MuSe) 2021 is a challenge focusing on the tasks of sentiment and emotion, as well as physiological-emotion and emotion-based stress recognition through more comprehensively integrating the audio-visual, language, and biological signal modalities. The purpose of MuSe 2021 is to bring together communities from different disciplines; mainly, the audio-visual emotion recognition community (signal-based), the sentiment analysis community (symbol-based), and the health informatics community. We present four distinct sub-challenges: MuSe-Wilder and MuSe-Stress which focus on continuous emotion (valence and arousal) prediction; MuSe-Sent, in which participants recognise five classes each for valence and arousal; and MuSe-Physio, in which the novel aspect of `physiological-emotion' is to be predicted. For this years' challenge, we utilise the MuSe-CaR dataset focusing on user-generated reviews and introduce the Ulm-TSST dataset, which displays people in stressful depositions. This paper also provides detail on the state-of-the-art feature sets extracted from these datasets for utilisation by our baseline model, a Long Short-Term Memory-Recurrent Neural Network. For each sub-challenge, a competitive baseline for participants is set; namely, on test, we report a Concordance Correlation Coefficient (CCC) of .4616 CCC for MuSe-Wilder; .4717 CCC for MuSe-Stress, and .4606 CCC for MuSe-Physio. For MuSe-Sent an F1 score of 32.82 % is obtained.



Abstract:The INTERSPEECH 2021 Computational Paralinguistics Challenge addresses four different problems for the first time in a research competition under well-defined conditions: In the COVID-19 Cough and COVID-19 Speech Sub-Challenges, a binary classification on COVID-19 infection has to be made based on coughing sounds and speech; in the Escalation SubChallenge, a three-way assessment of the level of escalation in a dialogue is featured; and in the Primates Sub-Challenge, four species vs background need to be classified. We describe the Sub-Challenges, baseline feature extraction, and classifiers based on the 'usual' COMPARE and BoAW features as well as deep unsupervised representation learning using the AuDeep toolkit, and deep feature extraction from pre-trained CNNs using the Deep Spectrum toolkit; in addition, we add deep end-to-end sequential modelling, and partially linguistic analysis.