



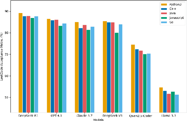
Abstract:This study presents a comprehensive empirical evaluation of six state-of-the-art large language models (LLMs) for code generation, including both general-purpose and code-specialized models. Using a dataset of 944 real-world LeetCode problems across five programming languages, we assess model performance using rigorous metrics: compile-time errors, runtime errors, functional failures, and algorithmic suboptimalities. The results reveal significant performance variations, with DeepSeek-R1 and GPT-4.1 consistently outperform others in terms of correctness, efficiency, and robustness. Through detailed case studies, we identify common failure scenarios such as syntax errors, logical flaws, and suboptimal algorithms, highlighting the critical role of prompt engineering and human oversight in improving results. Based on these findings, we provide actionable recommendations for developers and practitioners, emphasizing that successful LLM deployment depends on careful model selection, effective prompt design, and context-aware usage to ensure reliable code generation in real-world software development tasks.
Abstract:The emergence of foundation models has substantially advanced zero-shot generalization in monocular depth estimation (MDE), as exemplified by the Depth Anything series. However, given access to some data from downstream tasks, a natural question arises: can the performance of these models be further improved? To this end, we propose WeSTAR, a parameter-efficient framework that performs Weakly supervised Self-Training Adaptation with Regularization, designed to enhance the robustness of MDE foundation models in unseen and diverse domains. We first adopt a dense self-training objective as the primary source of structural self-supervision. To further improve robustness, we introduce semantically-aware hierarchical normalization, which exploits instance-level segmentation maps to perform more stable and multi-scale structural normalization. Beyond dense supervision, we introduce a cost-efficient weak supervision in the form of pairwise ordinal depth annotations to further guide the adaptation process, which enforces informative ordinal constraints to mitigate local topological errors. Finally, a weight regularization loss is employed to anchor the LoRA updates, ensuring training stability and preserving the model's generalizable knowledge. Extensive experiments on both realistic and corrupted out-of-distribution datasets under diverse and challenging scenarios demonstrate that WeSTAR consistently improves generalization and achieves state-of-the-art performance across a wide range of benchmarks.
Abstract:Despite the recent advances in the video understanding ability of multimodal large language models (MLLMs), long video understanding remains a challenge. One of the main issues is that the number of vision tokens grows linearly with video length, which causes an explosion in attention cost, memory, and latency. To solve this challenge, we present Query-aware Token Selector (\textbf{QTSplus}), a lightweight yet powerful visual token selection module that serves as an information gate between the vision encoder and LLMs. Given a text query and video tokens, QTSplus dynamically selects the most important visual evidence for the input text query by (i) scoring visual tokens via cross-attention, (ii) \emph{predicting} an instance-specific retention budget based on the complexity of the query, and (iii) \emph{selecting} Top-$n$ tokens with a differentiable straight-through estimator during training and a hard gate at inference. Furthermore, a small re-encoder preserves temporal order using absolute time information, enabling second-level localization while maintaining global coverage. Integrated into Qwen2.5-VL, QTSplus compresses the vision stream by up to \textbf{89\%} and reduces end-to-end latency by \textbf{28\%} on long videos. The evaluation on eight long video understanding benchmarks shows near-parity accuracy overall when compared with the original Qwen models and outperforms the original model by \textbf{+20.5} and \textbf{+5.6} points respectively on TempCompass direction and order accuracies. These results show that QTSplus is an effective, general mechanism for scaling MLLMs to real-world long-video scenarios while preserving task-relevant evidence. We will make all code, data, and trained models' weights publicly available.
Abstract:Large annotated datasets are vital for training segmentation models, but pixel-level labeling is time-consuming, error-prone, and often requires scarce expert annotators, especially in medical imaging. In contrast, coarse annotations are quicker, cheaper, and easier to produce, even by non-experts. In this paper, we propose to use coarse drawings from both positive (target) and negative (background) classes in the image, even with noisy pixels, to train a convolutional neural network (CNN) for semantic segmentation. We present a method for learning the true segmentation label distributions from purely noisy coarse annotations using two coupled CNNs. The separation of the two CNNs is achieved by high fidelity with the characters of the noisy training annotations. We propose to add a complementary label learning that encourages estimating negative label distribution. To illustrate the properties of our method, we first use a toy segmentation dataset based on MNIST. We then present the quantitative results of experiments using publicly available datasets: Cityscapes dataset for multi-class segmentation, and retinal images for medical applications. In all experiments, our method outperforms state-of-the-art methods, particularly in the cases where the ratio of coarse annotations is small compared to the given dense annotations.




Abstract:Magnetic resonance imaging (MRI) provides detailed soft-tissue characteristics that assist in disease diagnosis and screening. However, the accuracy of clinical practice is often hindered by missing or unusable slices due to various factors. Volumetric MRI synthesis methods have been developed to address this issue by imputing missing slices from available ones. The inherent 3D nature of volumetric MRI data, such as cardiac magnetic resonance (CMR), poses significant challenges for missing slice imputation approaches, including (1) the difficulty of modeling local inter-slice correlations and dependencies of volumetric slices, and (2) the limited exploration of crucial 3D spatial information and global context. In this study, to mitigate these issues, we present Spatial-Aware Graph Completion Network (SAGCNet) to overcome the dependency on complete volumetric data, featuring two main innovations: (1) a volumetric slice graph completion module that incorporates the inter-slice relationships into a graph structure, and (2) a volumetric spatial adapter component that enables our model to effectively capture and utilize various forms of 3D spatial context. Extensive experiments on cardiac MRI datasets demonstrate that SAGCNet is capable of synthesizing absent CMR slices, outperforming competitive state-of-the-art MRI synthesis methods both quantitatively and qualitatively. Notably, our model maintains superior performance even with limited slice data.
Abstract:We developed a pipeline for registering pre-surgery Magnetic Resonance (MR) images and post-resection Ultrasound (US) images. Our approach leverages unpaired style transfer using 3D CycleGAN to generate synthetic T1 images, thereby enhancing registration performance. Additionally, our registration process employs both affine and local deformable transformations for a coarse-to-fine registration. The results demonstrate that our approach improves the consistency between MR and US image pairs in most cases.
Abstract:Recent advancements in deep neural networks have driven significant progress in image enhancement (IE). However, deploying deep learning models on resource-constrained platforms, such as mobile devices, remains challenging due to high computation and memory demands. To address these challenges and facilitate real-time IE on mobile, we introduce an extremely lightweight Convolutional Neural Network (CNN) framework with around 4K parameters. Our approach integrates reparameterization with an Incremental Weight Optimization strategy to ensure efficiency. Additionally, we enhance performance with a Feature Self-Transform module and a Hierarchical Dual-Path Attention mechanism, optimized with a Local Variance-Weighted loss. With this efficient framework, we are the first to achieve real-time IE inference at up to 1,100 frames per second (FPS) while delivering competitive image quality, achieving the best trade-off between speed and performance across multiple IE tasks. The code will be available at https://github.com/AVC2-UESTC/MobileIE.git.
Abstract:We present REARANK, a large language model (LLM)-based listwise reasoning reranking agent. REARANK explicitly reasons before reranking, significantly improving both performance and interpretability. Leveraging reinforcement learning and data augmentation, REARANK achieves substantial improvements over baseline models across popular information retrieval benchmarks, notably requiring only 179 annotated samples. Built on top of Qwen2.5-7B, our REARANK-7B demonstrates performance comparable to GPT-4 on both in-domain and out-of-domain benchmarks and even surpasses GPT-4 on reasoning-intensive BRIGHT benchmarks. These results underscore the effectiveness of our approach and highlight how reinforcement learning can enhance LLM reasoning capabilities in reranking.




Abstract:Assessing the visual quality of video game graphics presents unique challenges due to the absence of reference images and the distinct types of distortions, such as aliasing, texture blur, and geometry level of detail (LOD) issues, which differ from those in natural images or user-generated content. Existing no-reference image and video quality assessment (NR-IQA/VQA) methods fail to generalize to gaming environments as they are primarily designed for distortions like compression artifacts. This study introduces a semantically-aware NR-IQA model tailored to gaming. The model employs a knowledge-distilled Game distortion feature extractor (GDFE) to detect and quantify game-specific distortions, while integrating semantic gating via CLIP embeddings to dynamically weight feature importance based on scene content. Training on gameplay data recorded across graphical quality presets enables the model to produce quality scores that align with human perception. Our results demonstrate that the GDFE, trained through knowledge distillation from binary classifiers, generalizes effectively to intermediate distortion levels unseen during training. Semantic gating further improves contextual relevance and reduces prediction variance. In the absence of in-domain NR-IQA baselines, our model outperforms out-of-domain methods and exhibits robust, monotonic quality trends across unseen games in the same genre. This work establishes a foundation for automated graphical quality assessment in gaming, advancing NR-IQA methods in this domain.
Abstract:In this work, we enable gamers to share their gaming experience on social media by automatically generating eye-catching highlight reels from their gameplay session Our automation will save time for gamers while increasing audience engagement. We approach the highlight generation problem by first identifying intervals in the video where interesting events occur and then concatenate them. We developed an in-house gameplay event detection dataset containing interesting events annotated by humans using VIA video annotator. Traditional techniques for highlight detection such as game engine integration requires expensive collaboration with game developers. OCR techniques which detect patches of specific images or texts require expensive per game engineering and may not generalize across game UI and different language. We finetuned a multimodal general purpose video understanding model such as X-CLIP using our dataset which generalizes across multiple games in a genre without per game engineering. Prompt engineering was performed to improve the classification performance of this multimodal model. Our evaluation showed that such a finetuned model can detect interesting events in first person shooting games from unseen gameplay footage with more than 90% accuracy. Moreover, our model performed significantly better on low resource games (small dataset) when trained along with high resource games, showing signs of transfer learning. To make the model production ready, we used ONNX libraries to enable cross platform inference. These libraries also provide post training quantization tools to reduce model size and inference time for deployment. ONNX runtime libraries with DirectML backend were used to perform efficient inference on Windows OS. We show that natural language supervision in the X-CLIP model leads to data efficient and highly performant video recognition models.