Abstract:Shape measures have emerged as promising descriptors of white matter tractography, offering complementary insights into anatomical variability and associations with cognitive and clinical phenotypes. However, conventional methods for computing shape measures are computationally expensive and time-consuming for large-scale datasets due to reliance on voxel-based representations. We propose Tract2Shape, a novel multimodal deep learning framework that leverages geometric (point cloud) and scalar (tabular) features to predict ten white matter tractography shape measures. To enhance model efficiency, we utilize a dimensionality reduction algorithm for the model to predict five primary shape components. The model is trained and evaluated on two independently acquired datasets, the HCP-YA dataset, and the PPMI dataset. We evaluate the performance of Tract2Shape by training and testing it on the HCP-YA dataset and comparing the results with state-of-the-art models. To further assess its robustness and generalization ability, we also test Tract2Shape on the unseen PPMI dataset. Tract2Shape outperforms SOTA deep learning models across all ten shape measures, achieving the highest average Pearson's r and the lowest nMSE on the HCP-YA dataset. The ablation study shows that both multimodal input and PCA contribute to performance gains. On the unseen testing PPMI dataset, Tract2Shape maintains a high Pearson's r and low nMSE, demonstrating strong generalizability in cross-dataset evaluation. Tract2Shape enables fast, accurate, and generalizable prediction of white matter shape measures from tractography data, supporting scalable analysis across datasets. This framework lays a promising foundation for future large-scale white matter shape analysis.




Abstract:Brain nuclei are clusters of anatomically distinct neurons that serve as important hubs for processing and relaying information in various neural circuits. Fine-scale parcellation of the brain nuclei is vital for a comprehensive understanding of its anatomico-functional correlations. Diffusion MRI tractography is an advanced imaging technique that can estimate the brain's white matter structural connectivity to potentially reveal the topography of the nuclei of interest for studying its subdivisions. In this work, we present a deep clustering pipeline, namely DeepNuParc, to perform automated, fine-scale parcellation of brain nuclei using diffusion MRI tractography. First, we incorporate a newly proposed deep learning approach to enable accurate segmentation of the nuclei of interest directly on the dMRI data. Next, we design a novel streamline clustering-based structural connectivity feature for a robust representation of voxels within the nuclei. Finally, we improve the popular joint dimensionality reduction and k-means clustering approach to enable nuclei parcellation at a finer scale. We demonstrate DeepNuParc on two important brain structures, i.e. the amygdala and the thalamus, that are known to have multiple anatomically and functionally distinct nuclei subdivisions. Experimental results show that DeepNuParc enables consistent parcellation of the nuclei into multiple parcels across multiple subjects and achieves good correspondence with the widely used coarse-scale atlases. Our codes are available at https://github.com/HarlandZZC/deep_nuclei_parcellation.
Abstract:Tractography parcellation classifies streamlines reconstructed from diffusion MRI into anatomically defined fiber tracts for clinical and research applications. However, clinical scans often have incomplete fields of view (FOV) where brain regions are partially imaged, leading to partial or truncated fiber tracts. To address this challenge, we introduce TractCloud-FOV, a deep learning framework that robustly parcellates tractography under conditions of incomplete FOV. We propose a novel training strategy, FOV-Cut Augmentation (FOV-CA), in which we synthetically cut tractograms to simulate a spectrum of real-world inferior FOV cutoff scenarios. This data augmentation approach enriches the training set with realistic truncated streamlines, enabling the model to achieve superior generalization. We evaluate the proposed TractCloud-FOV on both synthetically cut tractography and two real-life datasets with incomplete FOV. TractCloud-FOV significantly outperforms several state-of-the-art methods on all testing datasets in terms of streamline classification accuracy, generalization ability, tract anatomical depiction, and computational efficiency. Overall, TractCloud-FOV achieves efficient and consistent tractography parcellation in diffusion MRI with incomplete FOV.




Abstract:Brain imaging studies have demonstrated that diffusion MRI tractography geometric shape descriptors can inform the study of the brain's white matter pathways and their relationship to brain function. In this work, we investigate the possibility of utilizing a deep learning model to compute shape measures of the brain's white matter connections. We introduce a novel framework, TractShapeNet, that leverages a point cloud representation of tractography to compute five shape measures: length, span, volume, total surface area, and irregularity. We assess the performance of the method on a large dataset including 1065 healthy young adults. Experiments for shape measure computation demonstrate that our proposed TractShapeNet outperforms other point cloud-based neural network models in both the Pearson correlation coefficient and normalized error metrics. We compare the inference runtime results with the conventional shape computation tool DSI-Studio. Our results demonstrate that a deep learning approach enables faster and more efficient shape measure computation. We also conduct experiments on two downstream language cognition prediction tasks, showing that shape measures from TractShapeNet perform similarly to those computed by DSI-Studio. Our code will be available at: https://github.com/SlicerDMRI/TractShapeNet.




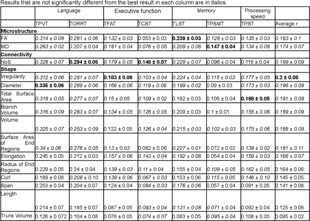
Abstract:The shape of the brain's white matter connections is relatively unexplored in diffusion MRI tractography analysis. While it is known that tract shape varies in populations and across the human lifespan, it is unknown if the variability in dMRI tractography-derived shape may relate to the brain's functional variability across individuals. This work explores the potential of leveraging tractography fiber cluster shape measures to predict subject-specific cognitive performance. We implement machine learning models to predict individual cognitive performance scores. We study a large-scale database from the HCP-YA study. We apply an atlas-based fiber cluster parcellation to the dMRI tractography of each individual. We compute 15 shape, microstructure, and connectivity features for each fiber cluster. Using these features as input, we train a total of 210 models to predict 7 different NIH Toolbox cognitive performance assessments. We apply an explainable AI technique, SHAP, to assess the importance of each fiber cluster for prediction. Our results demonstrate that shape measures are predictive of individual cognitive performance. The studied shape measures, such as irregularity, diameter, total surface area, volume, and branch volume, are as effective for prediction as microstructure and connectivity measures. The overall best-performing feature is a shape feature, irregularity, which describes how different a cluster's shape is from an idealized cylinder. Further interpretation using SHAP values suggest that fiber clusters with features highly predictive of cognitive ability are widespread throughout the brain, including fiber clusters from the superficial association, deep association, cerebellar, striatal, and projection pathways. This study demonstrates the strong potential of shape descriptors to enhance the study of the brain's white matter and its relationship to cognitive function.




Abstract:Parcellation of white matter tractography provides anatomical features for disease prediction, anatomical tract segmentation, surgical brain mapping, and non-imaging phenotype classifications. However, parcellation does not always reach 100% accuracy due to various factors, including inter-individual anatomical variability and the quality of neuroimaging scan data. The failure to identify parcels causes a problem of missing microstructure data values, which is especially challenging for downstream tasks that analyze large brain datasets. In this work, we propose a novel deep-learning model to impute tissue microstructure: the White Matter Geometry-guided Diffusion (WMG-Diff) model. Specifically, we first propose a deep score-based guided diffusion model to impute tissue microstructure for diffusion magnetic resonance imaging (dMRI) tractography fiber clusters. Second, we propose a white matter atlas geometric relationship-guided denoising function to guide the reverse denoising process at the subject-specific level. Third, we train and evaluate our model on a large dataset with 9342 subjects. Comprehensive experiments for tissue microstructure imputation and a downstream non-imaging phenotype prediction task demonstrate that our proposed WMG-Diff outperforms state-of-the-art methods.




Abstract:Parcellation of human cerebellar pathways is essential for advancing our understanding of the human brain. Existing diffusion MRI tractography parcellation methods have been successful in defining major cerebellar fibre tracts, while relying solely on fibre tract structure. However, each fibre tract may relay information related to multiple cognitive and motor functions of the cerebellum. Hence, it may be beneficial for parcellation to consider the potential importance of the fibre tracts for individual motor and cognitive functional performance measures. In this work, we propose a multimodal data-driven method for cerebellar pathway parcellation, which incorporates both measures of microstructure and connectivity, and measures of individual functional performance. Our method involves first training a multitask deep network to predict various cognitive and motor measures from a set of fibre tract structural features. The importance of each structural feature for predicting each functional measure is then computed, resulting in a set of structure-function saliency values that are clustered to parcellate cerebellar pathways. We refer to our method as Deep Multimodal Saliency Parcellation (DeepMSP), as it computes the saliency of structural measures for predicting cognitive and motor functional performance, with these saliencies being applied to the task of parcellation. Applying DeepMSP we found that it was feasible to identify multiple cerebellar pathway parcels with unique structure-function saliency patterns that were stable across training folds.




Abstract:Shape plays an important role in computer graphics, offering informative features to convey an object's morphology and functionality. Shape analysis in brain imaging can help interpret structural and functionality correlations of the human brain. In this work, we investigate the shape of the brain's 3D white matter connections and its potential predictive relationship to human cognitive function. We reconstruct brain connections as sequences of 3D points using diffusion magnetic resonance imaging (dMRI) tractography. To describe each connection, we extract 12 shape descriptors in addition to traditional dMRI connectivity and tissue microstructure features. We introduce a novel framework, Shape--fused Fiber Cluster Transformer (SFFormer), that leverages a multi-head cross-attention feature fusion module to predict subject-specific language performance based on dMRI tractography. We assess the performance of the method on a large dataset including 1065 healthy young adults. The results demonstrate that both the transformer-based SFFormer model and its inter/intra feature fusion with shape, microstructure, and connectivity are informative, and together, they improve the prediction of subject-specific language performance scores. Overall, our results indicate that the shape of the brain's connections is predictive of human language function.
Abstract:Large datasets often contain multiple distinct feature sets, or views, that offer complementary information that can be exploited by multi-view learning methods to improve results. We investigate anatomical multi-view data, where each brain anatomical structure is described with multiple feature sets. In particular, we focus on sets of white matter microstructure and connectivity features from diffusion MRI, as well as sets of gray matter area and thickness features from structural MRI. We investigate machine learning methodology that applies multi-view approaches to improve the prediction of non-imaging phenotypes, including demographics (age), motor (strength), and cognition (picture vocabulary). We present an explainable multi-view network (EMV-Net) that can use different anatomical views to improve prediction performance. In this network, each individual anatomical view is processed by a view-specific feature extractor and the extracted information from each view is fused using a learnable weight. This is followed by a wavelet transform-based module to obtain complementary information across views which is then applied to calibrate the view-specific information. Additionally, the calibrator produces an attention-based calibration score to indicate anatomical structures' importance for interpretation.




Abstract:The amygdala plays a vital role in emotional processing and exhibits structural diversity that necessitates fine-scale parcellation for a comprehensive understanding of its anatomico-functional correlations. Diffusion MRI tractography is an advanced imaging technique that can estimate the brain's white matter structural connectivity to potentially reveal the topography of the amygdala for studying its subdivisions. In this work, we present a deep clustering pipeline to perform automated, fine-scale parcellation of the amygdala using diffusion MRI tractography. First, we incorporate a newly proposed deep learning approach to enable accurate segmentation of the amygdala directly on the dMRI data. Next, we design a novel streamline clustering-based structural connectivity feature for a robust representation of voxels within the amygdala. Finally, we improve the popular joint dimensionality reduction and k-means clustering approach to enable amygdala parcellation at a finer scale. With the proposed method, we obtain nine unique amygdala parcels. Experiments show that these parcels can be consistently identified across subjects and have good correspondence to the widely used coarse-scale amygdala parcellation.