Abstract:Multi-token generation has emerged as a promising paradigm for accelerating transformer-based large model inference. Recent efforts primarily explore diffusion Large Language Models (dLLMs) for parallel decoding to reduce inference latency. To achieve AR-level generation quality, many techniques adapt AR models into dLLMs to enable parallel decoding. However, they suffer from limited speedup compared to AR models due to a pretrain-to-posttrain mismatch. Specifically, the masked data distribution in post-training deviates significantly from the real-world data distribution seen during pretraining, and dLLMs rely on bidirectional attention, which conflicts with the causal prior learned during pretraining and hinders the integration of exact KV cache reuse. To address this, we introduce Jacobi Forcing, a progressive distillation paradigm where models are trained on their own generated parallel decoding trajectories, smoothly shifting AR models into efficient parallel decoders while preserving their pretrained causal inference property. The models trained under this paradigm, Jacobi Forcing Model, achieves 3.8x wall-clock speedup on coding and math benchmarks with minimal loss in performance. Based on Jacobi Forcing Models' trajectory characteristics, we introduce multi-block decoding with rejection recycling, which enables up to 4.5x higher token acceptance count per iteration and nearly 4.0x wall-clock speedup, effectively trading additional compute for lower inference latency. Our code is available at https://github.com/hao-ai-lab/JacobiForcing.




Abstract:We propose a novel method that leverages sparse autoencoders (SAEs) and clustering techniques to analyze the internal token representations of large language models (LLMs) and guide generations in mathematical reasoning tasks. Our approach first trains an SAE to generate sparse vector representations for training tokens, then applies k-means clustering to construct a graph where vertices represent token clusters and weighted edges capture sequential token transitions. Using this graph, we define an edge-weight based reward function to quantify adherence to established reasoning traces, thereby identifying exploitative reasoning trajectories. Additionally, we measure generation diversity from clustering to assess the extent of exploration. Our findings indicate that balancing both exploitation and exploration is crucial for achieving high accuracy in mathematical reasoning tasks. During generation, the SAE can serve as a scalable reward model to guide generations, ensuring a balanced trade-off between exploitation and exploration. This prevents extreme behaviors in either direction, ultimately fostering a higher-quality reasoning process in LLMs.
Abstract:Clo-HDnn is an on-device learning (ODL) accelerator designed for emerging continual learning (CL) tasks. Clo-HDnn integrates hyperdimensional computing (HDC) along with low-cost Kronecker HD Encoder and weight clustering feature extraction (WCFE) to optimize accuracy and efficiency. Clo-HDnn adopts gradient-free CL to efficiently update and store the learned knowledge in the form of class hypervectors. Its dual-mode operation enables bypassing costly feature extraction for simpler datasets, while progressive search reduces complexity by up to 61% by encoding and comparing only partial query hypervectors. Achieving 4.66 TFLOPS/W (FE) and 3.78 TOPS/W (classifier), Clo-HDnn delivers 7.77x and 4.85x higher energy efficiency compared to SOTA ODL accelerators.
Abstract:Playing video games requires perception, memory, and planning, exactly the faculties modern large language model (LLM) agents are expected to master. We study the major challenges in using popular video games to evaluate modern LLMs and find that directly dropping LLMs into games cannot make an effective evaluation, for three reasons -- brittle vision perception, prompt sensitivity, and potential data contamination. We introduce lmgame-Bench to turn games into reliable evaluations. lmgame-Bench features a suite of platformer, puzzle, and narrative games delivered through a unified Gym-style API and paired with lightweight perception and memory scaffolds, and is designed to stabilize prompt variance and remove contamination. Across 13 leading models, we show lmgame-Bench is challenging while still separating models well. Correlation analysis shows that every game probes a unique blend of capabilities often tested in isolation elsewhere. More interestingly, performing reinforcement learning on a single game from lmgame-Bench transfers both to unseen games and to external planning tasks. Our evaluation code is available at https://github.com/lmgame-org/GamingAgent/lmgame-bench.




Abstract:Hyperdimensional Computing (HDC) is emerging as a promising approach for edge AI, offering a balance between accuracy and efficiency. However, current HDC-based applications often rely on high-precision models and/or encoding matrices to achieve competitive performance, which imposes significant computational and memory demands, especially for ultra-low power devices. While recent efforts use techniques like precision reduction and pruning to increase the efficiency, most require retraining to maintain performance, making them expensive and impractical. To address this issue, we propose a novel Post Training Compression algorithm, Decomposition-Pruning-Quantization (DPQ-HD), which aims at compressing the end-to-end HDC system, achieving near floating point performance without the need of retraining. DPQ-HD reduces computational and memory overhead by uniquely combining the above three compression techniques and efficiently adapts to hardware constraints. Additionally, we introduce an energy-efficient inference approach that progressively evaluates similarity scores such as cosine similarity and performs early exit to reduce the computation, accelerating prediction inference while maintaining accuracy. We demonstrate that DPQ-HD achieves up to 20-100x reduction in memory for image and graph classification tasks with only a 1-2% drop in accuracy compared to uncompressed workloads. Lastly, we show that DPQ-HD outperforms the existing post-training compression methods and performs better or at par with retraining-based state-of-the-art techniques, requiring significantly less overall optimization time (up to 100x) and faster inference (up to 56x) on a microcontroller




Abstract:Federated learning (FL) is a distributed machine learning paradigm where multiple clients conduct local training based on their private data, then the updated models are sent to a central server for global aggregation. The practical convergence of FL is challenged by multiple factors, with the primary hurdle being the heterogeneity among clients. This heterogeneity manifests as data heterogeneity concerning local data distribution and latency heterogeneity during model transmission to the server. While prior research has introduced various efficient client selection methods to alleviate the negative impacts of either of these heterogeneities individually, efficient methods to handle real-world settings where both these heterogeneities exist simultaneously do not exist. In this paper, we propose two novel theoretically optimal client selection schemes that can handle both these heterogeneities. Our methods involve solving simple optimization problems every round obtained by minimizing the theoretical runtime to convergence. Empirical evaluations on 9 datasets with non-iid data distributions, 2 practical delay distributions, and non-convex neural network models demonstrate that our algorithms are at least competitive to and at most 20 times better than best existing baselines.




Abstract:Minimizing computational overhead in time-series classification, particularly in deep learning models, presents a significant challenge. This challenge is further compounded by adversarial attacks, emphasizing the need for resilient methods that ensure robust performance and efficient model selection. We introduce ReLATE, a framework that identifies robust learners based on dataset similarity, reduces computational overhead, and enhances resilience. ReLATE maintains multiple deep learning models in well-known adversarial attack scenarios, capturing model performance. ReLATE identifies the most analogous dataset to a given target using a similarity metric, then applies the optimal model from the most similar dataset. ReLATE reduces computational overhead by an average of 81.2%, enhancing adversarial resilience and streamlining robust model selection, all without sacrificing performance, within 4.2% of Oracle.




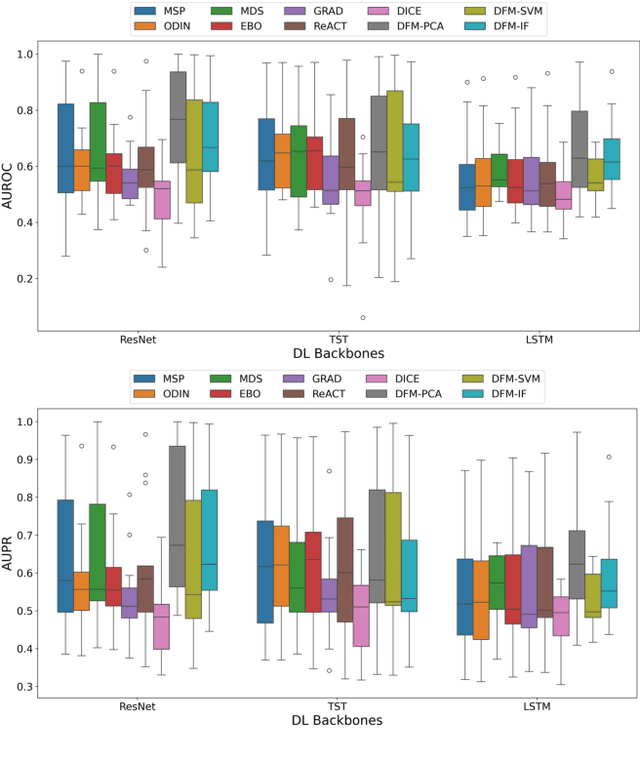
Abstract:Detecting out-of-distribution (OOD) data is a fundamental challenge in the deployment of machine learning models. From a security standpoint, this is particularly important because OOD test data can result in misleadingly confident yet erroneous predictions, which undermine the reliability of the deployed model. Although numerous models for OOD detection have been developed in computer vision and language, their adaptability to the time-series data domain remains limited and under-explored. Yet, time-series data is ubiquitous across manufacturing and security applications for which OOD is essential. This paper seeks to address this research gap by conducting a comprehensive analysis of modality-agnostic OOD detection algorithms. We evaluate over several multivariate time-series datasets, deep learning architectures, time-series specific data augmentations, and loss functions. Our results demonstrate that: 1) the majority of state-of-the-art OOD methods exhibit limited performance on time-series data, and 2) OOD methods based on deep feature modeling may offer greater advantages for time-series OOD detection, highlighting a promising direction for future time-series OOD detection algorithm development.




Abstract:Learning-based environmental sound recognition has emerged as a crucial method for ultra-low-power environmental monitoring in biological research and city-scale sensing systems. These systems usually operate under limited resources and are often powered by harvested energy in remote areas. Recent efforts in on-device sound recognition suffer from low accuracy due to resource constraints, whereas cloud offloading strategies are hindered by high communication costs. In this work, we introduce ORCA, a novel resource-efficient cloud-assisted environmental sound recognition system on batteryless devices operating over the Low-Power Wide-Area Networks (LPWANs), targeting wide-area audio sensing applications. We propose a cloud assistance strategy that remedies the low accuracy of on-device inference while minimizing the communication costs for cloud offloading. By leveraging a self-attention-based cloud sub-spectral feature selection method to facilitate efficient on-device inference, ORCA resolves three key challenges for resource-constrained cloud offloading over LPWANs: 1) high communication costs and low data rates, 2) dynamic wireless channel conditions, and 3) unreliable offloading. We implement ORCA on an energy-harvesting batteryless microcontroller and evaluate it in a real world urban sound testbed. Our results show that ORCA outperforms state-of-the-art methods by up to $80 \times$ in energy savings and $220 \times$ in latency reduction while maintaining comparable accuracy.
Abstract:Intrusion detection systems (IDS) play a crucial role in IoT and network security by monitoring system data and alerting to suspicious activities. Machine learning (ML) has emerged as a promising solution for IDS, offering highly accurate intrusion detection. However, ML-IDS solutions often overlook two critical aspects needed to build reliable systems: continually changing data streams and a lack of attack labels. Streaming network traffic and associated cyber attacks are continually changing, which can degrade the performance of deployed ML models. Labeling attack data, such as zero-day attacks, in real-world intrusion scenarios may not be feasible, making the use of ML solutions that do not rely on attack labels necessary. To address both these challenges, we propose CND-IDS, a continual novelty detection IDS framework which consists of (i) a learning-based feature extractor that continuously updates new feature representations of the system data, and (ii) a novelty detector that identifies new cyber attacks by leveraging principal component analysis (PCA) reconstruction. Our results on realistic intrusion datasets show that CND-IDS achieves up to 6.1x F-score improvement, and up to 6.5x improved forward transfer over the SOTA unsupervised continual learning algorithm. Our code will be released upon acceptance.