Abstract:The rapidly growing demand for high-quality data in Large Language Models (LLMs) has intensified the need for scalable, reliable, and semantically rich data preparation pipelines. However, current practices remain dominated by ad-hoc scripts and loosely specified workflows, which lack principled abstractions, hinder reproducibility, and offer limited support for model-in-the-loop data generation. To address these challenges, we present DataFlow, a unified and extensible LLM-driven data preparation framework. DataFlow is designed with system-level abstractions that enable modular, reusable, and composable data transformations, and provides a PyTorch-style pipeline construction API for building debuggable and optimizable dataflows. The framework consists of nearly 200 reusable operators and six domain-general pipelines spanning text, mathematical reasoning, code, Text-to-SQL, agentic RAG, and large-scale knowledge extraction. To further improve usability, we introduce DataFlow-Agent, which automatically translates natural-language specifications into executable pipelines via operator synthesis, pipeline planning, and iterative verification. Across six representative use cases, DataFlow consistently improves downstream LLM performance. Our math, code, and text pipelines outperform curated human datasets and specialized synthetic baselines, achieving up to +3\% execution accuracy in Text-to-SQL over SynSQL, +7\% average improvements on code benchmarks, and 1--3 point gains on MATH, GSM8K, and AIME. Moreover, a unified 10K-sample dataset produced by DataFlow enables base models to surpass counterparts trained on 1M Infinity-Instruct data. These results demonstrate that DataFlow provides a practical and high-performance substrate for reliable, reproducible, and scalable LLM data preparation, and establishes a system-level foundation for future data-centric AI development.
Abstract:Natural disasters such as hurricanes and wildfires increasingly introduce unusual disturbance on economic activities, which are especially likely to reshape commercial land use pattern given their sensitive to customer visitation. However, current modeling approaches are limited in capturing such complex interplay between human activities and commercial land use change under and following disturbances. Such interactions have been more effectively captured in current resilient urban planning theories. This study designs and calibrates a Urban Theory-Informed Spatio-Temporal Attention Model for Predicting Post-Disaster Commercial Land Use Change (Urban-STA4CLC) to predict both the yearly decline and expansion of commercial land use at census block level under cumulative impact of disasters on human activities over two years. Guided by urban theories, Urban-STA4CLC integrates both spatial and temporal attention mechanisms with three theory-informed modules. Resilience theory guides a disaster-aware temporal attention module that captures visitation dynamics. Spatial economic theory informs a multi-relational spatial attention module for inter-block representation. Diffusion theory contributes a regularization term that constrains land use transitions. The model performs significantly better than non-theoretical baselines in predicting commercial land use change under the scenario of recurrent hurricanes, with around 19% improvement in F1 score (0.8763). The effectiveness of the theory-guided modules was further validated through ablation studies. The research demonstrates that embedding urban theory into commercial land use modeling models may substantially enhance the capacity to capture its gains and losses. These advances in commercial land use modeling contribute to land use research that accounts for cumulative impacts of recurrent disasters and shifts in economic activity patterns.



Abstract:The annotation of polarimetric synthetic aperture radar (PolSAR) images is a labor-intensive and time-consuming process. Therefore, classifying PolSAR images with limited labels is a challenging task in remote sensing domain. In recent years, self-supervised learning approaches have proven effective in PolSAR image classification with sparse labels. However, we observe a lack of research on generative selfsupervised learning in the studied task. Motivated by this, we propose a dual-branch classification model based on generative self-supervised learning in this paper. The first branch is a superpixel-branch, which learns superpixel-level polarimetric representations using a generative self-supervised graph masked autoencoder. To acquire finer classification results, a convolutional neural networks-based pixel-branch is further incorporated to learn pixel-level features. Classification with fused dual-branch features is finally performed to obtain the predictions. Experimental results on the benchmark Flevoland dataset demonstrate that our approach yields promising classification results.
Abstract:We proposed Precomputed RadianceTransfer of GaussianSplats (PRTGS), a real-time high-quality relighting method for Gaussian splats in low-frequency lighting environments that captures soft shadows and interreflections by precomputing 3D Gaussian splats' radiance transfer. Existing studies have demonstrated that 3D Gaussian splatting (3DGS) outperforms neural fields' efficiency for dynamic lighting scenarios. However, the current relighting method based on 3DGS still struggles to compute high-quality shadow and indirect illumination in real time for dynamic light, leading to unrealistic rendering results. We solve this problem by precomputing the expensive transport simulations required for complex transfer functions like shadowing, the resulting transfer functions are represented as dense sets of vectors or matrices for every Gaussian splat. We introduce distinct precomputing methods tailored for training and rendering stages, along with unique ray tracing and indirect lighting precomputation techniques for 3D Gaussian splats to accelerate training speed and compute accurate indirect lighting related to environment light. Experimental analyses demonstrate that our approach achieves state-of-the-art visual quality while maintaining competitive training times and allows high-quality real-time (30+ fps) relighting for dynamic light and relatively complex scenes at 1080p resolution.




Abstract:As a neuromorphic sensor with high temporal resolution, spike cameras offer notable advantages over traditional cameras in high-speed vision applications such as high-speed optical estimation, depth estimation, and object tracking. Inspired by the success of the spike camera, we proposed Spike-NeRF, the first Neural Radiance Field derived from spike data, to achieve 3D reconstruction and novel viewpoint synthesis of high-speed scenes. Instead of the multi-view images at the same time of NeRF, the inputs of Spike-NeRF are continuous spike streams captured by a moving spike camera in a very short time. To reconstruct a correct and stable 3D scene from high-frequency but unstable spike data, we devised spike masks along with a distinctive loss function. We evaluate our method qualitatively and numerically on several challenging synthetic scenes generated by blender with the spike camera simulator. Our results demonstrate that Spike-NeRF produces more visually appealing results than the existing methods and the baseline we proposed in high-speed scenes. Our code and data will be released soon.
Abstract:In urban planning, land use readjustment plays a pivotal role in aligning land use configurations with the current demands for sustainable urban development. However, present-day urban planning practices face two main issues. Firstly, land use decisions are predominantly dependent on human experts. Besides, while resident engagement in urban planning can promote urban sustainability and livability, it is challenging to reconcile the diverse interests of stakeholders. To address these challenges, we introduce a Consensus-based Multi-Agent Reinforcement Learning framework for real-world land use readjustment. This framework serves participatory urban planning, allowing diverse intelligent agents as stakeholder representatives to vote for preferred land use types. Within this framework, we propose a novel consensus mechanism in reward design to optimize land utilization through collective decision making. To abstract the structure of the complex urban system, the geographic information of cities is transformed into a spatial graph structure and then processed by graph neural networks. Comprehensive experiments on both traditional top-down planning and participatory planning methods from real-world communities indicate that our computational framework enhances global benefits and accommodates diverse interests, leading to improved satisfaction across different demographic groups. By integrating Multi-Agent Reinforcement Learning, our framework ensures that participatory urban planning decisions are more dynamic and adaptive to evolving community needs and provides a robust platform for automating complex real-world urban planning processes.




Abstract:Most recent research about automatic music transcription (AMT) uses convolutional neural networks and recurrent neural networks to model the mapping from music signals to symbolic notation. Based on a high-resolution piano transcription system, we explore the possibility of incorporating another powerful sequence transformation tool -- the Transformer -- to deal with the AMT problem. We argue that the properties of the Transformer make it more suitable for certain AMT subtasks. We confirm the Transformer's superiority on the velocity detection task by experiments on the MAESTRO dataset and a cross-dataset evaluation on the MAPS dataset. We observe a performance improvement on both frame-level and note-level metrics after introducing the Transformer network.




Abstract:Collaborative filtering has been largely used to advance modern recommender systems to predict user preference. A key component in collaborative filtering is representation learning, which aims to project users and items into a low dimensional space to capture collaborative signals. However, the scene information, which has effectively guided many recommendation tasks, is rarely considered in existing collaborative filtering methods. To bridge this gap, we focus on scene-based collaborative recommendation and propose a novel representation model SceneRec. SceneRec formally defines a scene as a set of pre-defined item categories that occur simultaneously in real-life situations and creatively designs an item-category-scene hierarchical structure to build a scene-based graph. In the scene-based graph, we adopt graph neural networks to learn scene-specific representation on each item node, which is further aggregated with latent representation learned from collaborative interactions to make recommendations. We perform extensive experiments on real-world E-commerce datasets and the results demonstrate the effectiveness of the proposed method.




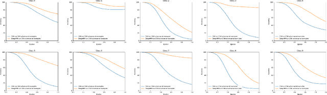
Abstract:Deep neural networks enjoy a powerful representation and have proven effective in a number of applications. However, recent advances show that deep neural networks are vulnerable to adversarial attacks incurred by the so-called adversarial examples. Although the adversarial example is only slightly different from the input sample, the neural network classifies it as the wrong class. In order to alleviate this problem, we propose the Deep Minimax Probability Machine (DeepMPM), which applies MPM to deep neural networks in an end-to-end fashion. In a worst-case scenario, MPM tries to minimize an upper bound of misclassification probabilities, considering the global information (i.e., mean and covariance information of each class). DeepMPM can be more robust since it learns the worst-case bound on the probability of misclassification of future data. Experiments on two real-world datasets can achieve comparable classification performance with CNN, while can be more robust on adversarial attacks.




Abstract:The accuracy of deep learning (e.g., convolutional neural networks) for an image classification task critically relies on the amount of labeled training data. Aiming to solve an image classification task on a new domain that lacks labeled data but gains access to cheaply available unlabeled data, unsupervised domain adaptation is a promising technique to boost the performance without incurring extra labeling cost, by assuming images from different domains share some invariant characteristics. In this paper, we propose a new unsupervised domain adaptation method named Domain-Adversarial Residual-Transfer (DART) learning of Deep Neural Networks to tackle cross-domain image classification tasks. In contrast to the existing unsupervised domain adaption approaches, the proposed DART not only learns domain-invariant features via adversarial training, but also achieves robust domain-adaptive classification via a residual-transfer strategy, all in an end-to-end training framework. We evaluate the performance of the proposed method for cross-domain image classification tasks on several well-known benchmark data sets, in which our method clearly outperforms the state-of-the-art approaches.