



Abstract:Single-cell RNA sequencing (scRNA-seq) reveals cell heterogeneity, with cell clustering playing a key role in identifying cell types and marker genes. Recent advances, especially graph neural networks (GNNs)-based methods, have significantly improved clustering performance. However, the analysis of scRNA-seq data remains challenging due to noise, sparsity, and high dimensionality. Compounding these challenges, GNNs often suffer from over-smoothing, limiting their ability to capture complex biological information. In response, we propose scSiameseClu, a novel Siamese Clustering framework for interpreting single-cell RNA-seq data, comprising of 3 key steps: (1) Dual Augmentation Module, which applies biologically informed perturbations to the gene expression matrix and cell graph relationships to enhance representation robustness; (2) Siamese Fusion Module, which combines cross-correlation refinement and adaptive information fusion to capture complex cellular relationships while mitigating over-smoothing; and (3) Optimal Transport Clustering, which utilizes Sinkhorn distance to efficiently align cluster assignments with predefined proportions while maintaining balance. Comprehensive evaluations on seven real-world datasets demonstrate that~\methodname~outperforms state-of-the-art methods in single-cell clustering, cell type annotation, and cell type classification, providing a powerful tool for scRNA-seq data interpretation.

Abstract:Graph clustering aims to divide the graph into different clusters. The recently emerging deep graph clustering approaches are largely built on graph neural networks (GNN). However, GNN is designed for general graph encoding and there is a common issue of representation collapse in existing GNN-based deep graph clustering algorithms. We attribute two main reasons for such issue: (i) the inductive bias of GNN models: GNNs tend to generate similar representations for proximal nodes. Since graphs often contain a non-negligible amount of inter-cluster links, the bias results in error message passing and leads to biased clustering; (ii) the clustering guided loss function: most traditional approaches strive to make all samples closer to pre-learned cluster centers, which cause a degenerate solution assigning all data points to a single label thus make all samples and less discriminative. To address these challenges, we investigate graph clustering from a graph cut perspective and propose an innovative and non-GNN-based Deep Cut-informed Graph embedding and Clustering framework, namely DCGC. This framework includes two modules: (i) cut-informed graph encoding; (ii) self-supervised graph clustering via optimal transport. For the encoding module, we derive a cut-informed graph embedding objective to fuse graph structure and attributes by minimizing their joint normalized cut. For the clustering module, we utilize the optimal transport theory to obtain the clustering assignments, which can balance the guidance of proximity to the pre-learned cluster center. With the above two tailored designs, DCGC is more suitable for the graph clustering task, which can effectively alleviate the problem of representation collapse and achieve better performance. We conduct extensive experiments to demonstrate that our method is simple but effective compared with benchmarks.





Abstract:This paper develops a comprehensive framework to address three critical trustworthy challenges in federated learning (FL): robustness against Byzantine attacks, fairness, and privacy preservation. To improve the system's defense against Byzantine attacks that send malicious information to bias the system's performance, we develop a Two-sided Norm Based Screening (TNBS) mechanism, which allows the central server to crop the gradients that have the l lowest norms and h highest norms. TNBS functions as a screening tool to filter out potential malicious participants whose gradients are far from the honest ones. To promote egalitarian fairness, we adopt the q-fair federated learning (q-FFL). Furthermore, we adopt a differential privacy-based scheme to prevent raw data at local clients from being inferred by curious parties. Convergence guarantees are provided for the proposed framework under different scenarios. Experimental results on real datasets demonstrate that the proposed framework effectively improves robustness and fairness while managing the trade-off between privacy and accuracy. This work appears to be the first study that experimentally and theoretically addresses fairness, privacy, and robustness in trustworthy FL.



Abstract:Artificial intelligence (AI) is transforming scientific research, including proteomics. Advances in mass spectrometry (MS)-based proteomics data quality, diversity, and scale, combined with groundbreaking AI techniques, are unlocking new challenges and opportunities in biological discovery. Here, we highlight key areas where AI is driving innovation, from data analysis to new biological insights. These include developing an AI-friendly ecosystem for proteomics data generation, sharing, and analysis; improving peptide and protein identification and quantification; characterizing protein-protein interactions and protein complexes; advancing spatial and perturbation proteomics; integrating multi-omics data; and ultimately enabling AI-empowered virtual cells.

Abstract:Discrimination mitigation with machine learning (ML) models could be complicated because multiple factors may interweave with each other including hierarchically and historically. Yet few existing fairness measures are able to capture the discrimination level within ML models in the face of multiple sensitive attributes. To bridge this gap, we propose a fairness measure based on distances between sets from a manifold perspective, named as 'harmonic fairness measure via manifolds (HFM)' with two optional versions, which can deal with a fine-grained discrimination evaluation for several sensitive attributes of multiple values. To accelerate the computation of distances of sets, we further propose two approximation algorithms named 'Approximation of distance between sets for one sensitive attribute with multiple values (ApproxDist)' and 'Approximation of extended distance between sets for several sensitive attributes with multiple values (ExtendDist)' to respectively resolve bias evaluation of one single sensitive attribute with multiple values and that of several sensitive attributes with multiple values. Moreover, we provide an algorithmic effectiveness analysis for ApproxDist under certain assumptions to explain how well it could work. The empirical results demonstrate that our proposed fairness measure HFM is valid and approximation algorithms (i.e., ApproxDist and ExtendDist) are effective and efficient.





Abstract:Single-cell RNA sequencing (scRNA-seq) is essential for unraveling cellular heterogeneity and diversity, offering invaluable insights for bioinformatics advancements. Despite its potential, traditional clustering methods in scRNA-seq data analysis often neglect the structural information embedded in gene expression profiles, crucial for understanding cellular correlations and dependencies. Existing strategies, including graph neural networks, face challenges in handling the inefficiency due to scRNA-seq data's intrinsic high-dimension and high-sparsity. Addressing these limitations, we introduce scCDCG (single-cell RNA-seq Clustering via Deep Cut-informed Graph), a novel framework designed for efficient and accurate clustering of scRNA-seq data that simultaneously utilizes intercellular high-order structural information. scCDCG comprises three main components: (i) A graph embedding module utilizing deep cut-informed techniques, which effectively captures intercellular high-order structural information, overcoming the over-smoothing and inefficiency issues prevalent in prior graph neural network methods. (ii) A self-supervised learning module guided by optimal transport, tailored to accommodate the unique complexities of scRNA-seq data, specifically its high-dimension and high-sparsity. (iii) An autoencoder-based feature learning module that simplifies model complexity through effective dimension reduction and feature extraction. Our extensive experiments on 6 datasets demonstrate scCDCG's superior performance and efficiency compared to 7 established models, underscoring scCDCG's potential as a transformative tool in scRNA-seq data analysis. Our code is available at: https://github.com/XPgogogo/scCDCG.





Abstract:In distributed learning systems, robustness issues may arise from two sources. On one hand, due to distributional shifts between training data and test data, the trained model could exhibit poor out-of-sample performance. On the other hand, a portion of working nodes might be subject to byzantine attacks which could invalidate the learning result. Existing works mostly deal with these two issues separately. In this paper, we propose a new algorithm that equips distributed learning with robustness measures against both distributional shifts and byzantine attacks. Our algorithm is built on recent advances in distributionally robust optimization as well as norm-based screening (NBS), a robust aggregation scheme against byzantine attacks. We provide convergence proofs in three cases of the learning model being nonconvex, convex, and strongly convex for the proposed algorithm, shedding light on its convergence behaviors and endurability against byzantine attacks. In particular, we deduce that any algorithm employing NBS (including ours) cannot converge when the percentage of byzantine nodes is 1/3 or higher, instead of 1/2, which is the common belief in current literature. The experimental results demonstrate the effectiveness of our algorithm against both robustness issues. To the best of our knowledge, this is the first work to address distributional shifts and byzantine attacks simultaneously.





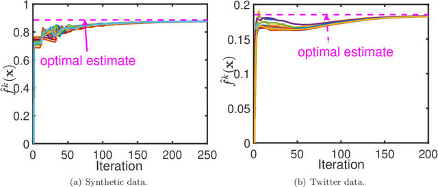
Abstract:This paper focuses on online kernel learning over a decentralized network. Each agent in the network receives continuous streaming data locally and works collaboratively to learn a nonlinear prediction function that is globally optimal in the reproducing kernel Hilbert space with respect to the total instantaneous costs of all agents. In order to circumvent the curse of dimensionality issue in traditional online kernel learning, we utilize random feature (RF) mapping to convert the non-parametric kernel learning problem into a fixed-length parametric one in the RF space. We then propose a novel learning framework named Online Decentralized Kernel learning via Linearized ADMM (ODKLA) to efficiently solve the online decentralized kernel learning problem. To further improve the communication efficiency, we add the quantization and censoring strategies in the communication stage and develop the Quantized and Communication-censored ODKLA (QC-ODKLA) algorithm. We theoretically prove that both ODKLA and QC-ODKLA can achieve the optimal sublinear regret $\mathcal{O}(\sqrt{T})$ over $T$ time slots. Through numerical experiments, we evaluate the learning effectiveness, communication, and computation efficiencies of the proposed methods.





Abstract:This paper studies the decentralized optimization and learning problem where multiple interconnected agents aim to learn an optimal decision function defined over a reproducing kernel Hilbert (RKH) space by jointly minimizing a global objective function, with access to locally observed data only. As a non-parametric approach, kernel learning faces a major challenge in distributed implementation: the decision variables of local objective functions are data-dependent with different sizes and thus cannot be optimized under the decentralized consensus framework without any raw data exchange among agents. To circumvent this major challenge and preserve data privacy, we leverage the random feature (RF) approximation approach to map the large-volume data represented in the RKH space into a smaller RF space, which facilitates the same-size parameter exchange and enables distributed agents to reach consensus on the function decided by the parameters in the RF space. For fast convergent implementation, we design an iterative algorithm for Decentralized Kernel Learning via Alternating direction method of multipliers (DKLA). Further, we develop a COmmunication-censored KErnel learning (COKE) algorithm to reduce the communication load in DKLA. To do so, we apply a communication-censoring strategy, which prevents an agent from transmitting at every iteration unless its local updates are deemed informative. Theoretical results in terms of linear convergence guarantee and generalization performance analysis of DKLA and COKE are provided. Comprehensive tests with both synthetic and real datasets are conducted to verify the communication efficiency and learning effectiveness of COKE.




Abstract:We propose a hybrid quantum-classical algorithm for quantum state tomography. Given an unknown quantum state, a quantum machine learning algorithm is used to maximize the fidelity between the output of a variational quantum circuit and this state. The number of parameters of the variational quantum circuit grows linearly with the number of qubits and the circuit depth. After that, a subsequent classical algorithm is used to reconstruct the unknown quantum state. We demonstrate our method by performing numerical simulations to reconstruct the ground state of a one-dimensional quantum spin chain, using a variational quantum circuit simulator. Our method is suitable for near-term quantum computing platforms, and could be used for relatively large-scale quantum state tomography for experimentally relevant quantum states.
