Abstract:For many complex tasks, multi-finger robot hands are poised to revolutionize how we interact with the world, but reliably grasping objects remains a significant challenge. We focus on the problem of synthesizing grasps for multi-finger robot hands that, given a target object's geometry and pose, computes a hand configuration. Existing approaches often struggle to produce reliable grasps that sufficiently constrain object motion, leading to instability under disturbances and failed grasps. A key reason is that during grasp generation, they typically focus on resisting a single wrench, while ignoring the object's potential for adversarial movements, such as escaping. We propose a new grasp-synthesis approach that explicitly captures and leverages the adversarial object motion in grasp generation by formulating the problem as a two-player game. One player controls the robot to generate feasible grasp configurations, while the other adversarially controls the object to seek motions that attempt to escape from the grasp. Simulation experiments on various robot platforms and target objects show that our approach achieves a success rate of 75.78%, up to 19.61% higher than the state-of-the-art baseline. The two-player game mechanism improves the grasping success rate by 27.40% over the method without the game formulation. Our approach requires only 0.28-1.04 seconds on average to generate a grasp configuration, depending on the robot platform, making it suitable for real-world deployment. In real-world experiments, our approach achieves an average success rate of 85.0% on ShadowHand and 87.5% on LeapHand, which confirms its feasibility and effectiveness in real robot setups.




Abstract:We introduce Behavior from Language and Demonstration (BLADE), a framework for long-horizon robotic manipulation by integrating imitation learning and model-based planning. BLADE leverages language-annotated demonstrations, extracts abstract action knowledge from large language models (LLMs), and constructs a library of structured, high-level action representations. These representations include preconditions and effects grounded in visual perception for each high-level action, along with corresponding controllers implemented as neural network-based policies. BLADE can recover such structured representations automatically, without manually labeled states or symbolic definitions. BLADE shows significant capabilities in generalizing to novel situations, including novel initial states, external state perturbations, and novel goals. We validate the effectiveness of our approach both in simulation and on real robots with a diverse set of objects with articulated parts, partial observability, and geometric constraints.




Abstract:Accuracy remains a standard metric for evaluating AI systems, but it offers limited insight into how models arrive at their solutions. In this work, we introduce a benchmark based on brainteasers written in long narrative form to probe more deeply into the types of reasoning strategies that models use. Brainteasers are well-suited for this goal because they can be solved with multiple approaches, such as a few-step solution that uses a creative insight or a longer solution that uses more brute force. We investigate large language models (LLMs) across multiple layers of reasoning, focusing not only on correctness but also on the quality and creativity of their solutions. We investigate many aspects of the reasoning process: (1) semantic parsing of the brainteasers into precise mathematical competition style formats; (2) generating solutions from these mathematical forms; (3) self-correcting solutions based on gold solutions; (4) producing step-by-step sketches of solutions; and (5) making use of hints. We find that LLMs are in many cases able to find creative, insightful solutions to brainteasers, suggesting that they capture some of the capacities needed to solve novel problems in creative ways. Nonetheless, there also remain situations where they rely on brute force despite the availability of more efficient, creative solutions, highlighting a potential direction for improvement in the reasoning abilities of LLMs.




Abstract:This article presents a concept-centric paradigm for building agents that can learn continually and reason flexibly. The concept-centric agent utilizes a vocabulary of neuro-symbolic concepts. These concepts, such as object, relation, and action concepts, are grounded on sensory inputs and actuation outputs. They are also compositional, allowing for the creation of novel concepts through their structural combination. To facilitate learning and reasoning, the concepts are typed and represented using a combination of symbolic programs and neural network representations. Leveraging such neuro-symbolic concepts, the agent can efficiently learn and recombine them to solve various tasks across different domains, ranging from 2D images, videos, 3D scenes, and robotic manipulation tasks. This concept-centric framework offers several advantages, including data efficiency, compositional generalization, continual learning, and zero-shot transfer.
Abstract:Images not only depict objects but also encapsulate rich interactions between them. However, generating faithful and high-fidelity images involving multiple entities interacting with each other, is a long-standing challenge. While pre-trained text-to-image models are trained on large-scale datasets to follow diverse text instructions, they struggle to generate accurate interactions, likely due to the scarcity of training data for uncommon object interactions. This paper introduces InterActing, an interaction-focused dataset with 1000 fine-grained prompts covering three key scenarios: (1) functional and action-based interactions, (2) compositional spatial relationships, and (3) multi-subject interactions. To address interaction generation challenges, we propose a decomposition-augmented refinement procedure. Our approach, DetailScribe, built on Stable Diffusion 3.5, leverages LLMs to decompose interactions into finer-grained concepts, uses a VLM to critique generated images, and applies targeted interventions within the diffusion process in refinement. Automatic and human evaluations show significantly improved image quality, demonstrating the potential of enhanced inference strategies. Our dataset and code are available at https://concepts-ai.com/p/detailscribe/ to facilitate future exploration of interaction-rich image generation.




Abstract:We present a novel approach, MAGIC (manipulation analogies for generalizable intelligent contacts), for one-shot learning of manipulation strategies with fast and extensive generalization to novel objects. By leveraging a reference action trajectory, MAGIC effectively identifies similar contact points and sequences of actions on novel objects to replicate a demonstrated strategy, such as using different hooks to retrieve distant objects of different shapes and sizes. Our method is based on a two-stage contact-point matching process that combines global shape matching using pretrained neural features with local curvature analysis to ensure precise and physically plausible contact points. We experiment with three tasks including scooping, hanging, and hooking objects. MAGIC demonstrates superior performance over existing methods, achieving significant improvements in runtime speed and generalization to different object categories. Website: https://magic-2024.github.io/ .




Abstract:Generalization to novel object configurations and instances across diverse tasks and environments is a critical challenge in robotics. Keypoint-based representations have been proven effective as a succinct representation for capturing essential object features, and for establishing a reference frame in action prediction, enabling data-efficient learning of robot skills. However, their manual design nature and reliance on additional human labels limit their scalability. In this paper, we propose KALM, a framework that leverages large pre-trained vision-language models (LMs) to automatically generate task-relevant and cross-instance consistent keypoints. KALM distills robust and consistent keypoints across views and objects by generating proposals using LMs and verifies them against a small set of robot demonstration data. Based on the generated keypoints, we can train keypoint-conditioned policy models that predict actions in keypoint-centric frames, enabling robots to generalize effectively across varying object poses, camera views, and object instances with similar functional shapes. Our method demonstrates strong performance in the real world, adapting to different tasks and environments from only a handful of demonstrations while requiring no additional labels. Website: https://kalm-il.github.io/
Abstract:Previous research has explored the computational expressivity of Transformer models in simulating Boolean circuits or Turing machines. However, the learnability of these simulators from observational data has remained an open question. Our study addresses this gap by providing the first polynomial-time learnability results (specifically strong, agnostic PAC learning) for single-layer Transformers with linear attention. We show that linear attention may be viewed as a linear predictor in a suitably defined RKHS. As a consequence, the problem of learning any linear transformer may be converted into the problem of learning an ordinary linear predictor in an expanded feature space, and any such predictor may be converted back into a multiheaded linear transformer. Moving to generalization, we show how to efficiently identify training datasets for which every empirical risk minimizer is equivalent (up to trivial symmetries) to the linear Transformer that generated the data, thereby guaranteeing the learned model will correctly generalize across all inputs. Finally, we provide examples of computations expressible via linear attention and therefore polynomial-time learnable, including associative memories, finite automata, and a class of Universal Turing Machine (UTMs) with polynomially bounded computation histories. We empirically validate our theoretical findings on three tasks: learning random linear attention networks, key--value associations, and learning to execute finite automata. Our findings bridge a critical gap between theoretical expressivity and learnability of Transformers, and show that flexible and general models of computation are efficiently learnable.




Abstract:We aim to evaluate Large Language Models (LLMs) for embodied decision making. While a significant body of work has been leveraging LLMs for decision making in embodied environments, we still lack a systematic understanding of their performance because they are usually applied in different domains, for different purposes, and built based on different inputs and outputs. Furthermore, existing evaluations tend to rely solely on a final success rate, making it difficult to pinpoint what ability is missing in LLMs and where the problem lies, which in turn blocks embodied agents from leveraging LLMs effectively and selectively. To address these limitations, we propose a generalized interface (Embodied Agent Interface) that supports the formalization of various types of tasks and input-output specifications of LLM-based modules. Specifically, it allows us to unify 1) a broad set of embodied decision-making tasks involving both state and temporally extended goals, 2) four commonly-used LLM-based modules for decision making: goal interpretation, subgoal decomposition, action sequencing, and transition modeling, and 3) a collection of fine-grained metrics which break down evaluation into various types of errors, such as hallucination errors, affordance errors, various types of planning errors, etc. Overall, our benchmark offers a comprehensive assessment of LLMs' performance for different subtasks, pinpointing the strengths and weaknesses in LLM-powered embodied AI systems, and providing insights for effective and selective use of LLMs in embodied decision making.




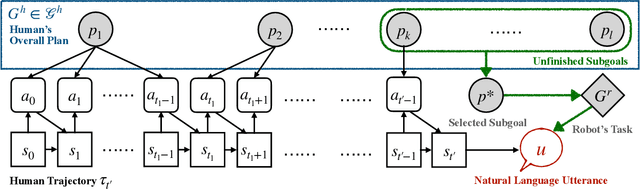
Abstract:For AI agents to be helpful to humans, they should be able to follow natural language instructions to complete everyday cooperative tasks in human environments. However, real human instructions inherently possess ambiguity, because the human speakers assume sufficient prior knowledge about their hidden goals and intentions. Standard language grounding and planning methods fail to address such ambiguities because they do not model human internal goals as additional partially observable factors in the environment. We propose a new framework, Follow Instructions with Social and Embodied Reasoning (FISER), aiming for better natural language instruction following in collaborative embodied tasks. Our framework makes explicit inferences about human goals and intentions as intermediate reasoning steps. We implement a set of Transformer-based models and evaluate them over a challenging benchmark, HandMeThat. We empirically demonstrate that using social reasoning to explicitly infer human intentions before making action plans surpasses purely end-to-end approaches. We also compare our implementation with strong baselines, including Chain of Thought prompting on the largest available pre-trained language models, and find that FISER provides better performance on the embodied social reasoning tasks under investigation, reaching the state-of-the-art on HandMeThat.