Shammie
Abstract:The evolution of mathematics has been guided in part by interestingness. From researchers choosing which problems to tackle next, to students deciding which ones to engage with, people's choices are often guided by judgments about how interesting or challenging problems are likely to be. As AI systems, such as LLMs, increasingly participate in mathematics with people -- whether for advanced research or education -- it becomes important to understand how well their judgments align with human ones. Our work examines this alignment through two empirical studies of human and LLM assessment of mathematical interestingness and difficulty, spanning a range of mathematical experience. We study two groups: participants from a crowdsourcing platform and International Math Olympiad competitors. We show that while many LLMs appear to broadly agree with human notions of interestingness, they mostly do not capture the distribution observed in human judgments. Moreover, most LLMs only somewhat align with why humans find certain math problems interesting, showing weak correlation with human-selected interestingness rationales. Together, our findings highlight both the promises and limitations of current LLMs in capturing human interestingness judgments for mathematical AI thought partnerships.




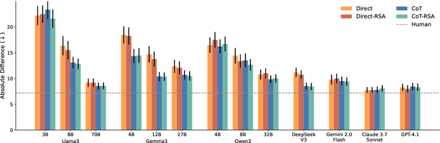
Abstract:Language use is shaped by pragmatics -- i.e., reasoning about communicative goals and norms in context. As language models (LMs) are increasingly used as conversational agents, it becomes ever more important to understand their pragmatic reasoning abilities. We propose an evaluation framework derived from Wavelength, a popular communication game where a speaker and a listener communicate about a broad range of concepts in a granular manner. We study a range of LMs on both language comprehension and language production using direct and Chain-of-Thought (CoT) prompting, and further explore a Rational Speech Act (RSA) approach to incorporating Bayesian pragmatic reasoning into LM inference. We find that state-of-the-art LMs, but not smaller ones, achieve strong performance on language comprehension, obtaining similar-to-human accuracy and exhibiting high correlations with human judgments even without CoT prompting or RSA. On language production, CoT can outperform direct prompting, and using RSA provides significant improvements over both approaches. Our study helps identify the strengths and limitations in LMs' pragmatic reasoning abilities and demonstrates the potential for improving them with RSA, opening up future avenues for understanding conceptual representation, language understanding, and social reasoning in LMs and humans.
Abstract:Misunderstandings in cross-cultural communication often arise from subtle differences in interpretation, but it is unclear whether these differences arise from the literal meanings assigned to words or from more general pragmatic factors such as norms around politeness and brevity. In this paper, we report three experiments examining how speakers of British and American English interpret intensifiers like "quite" and "very." To better understand these cross-cultural differences, we developed a computational cognitive model where listeners recursively reason about speakers who balance informativity, politeness, and utterance cost. Our model comparisons suggested that cross-cultural differences in intensifier interpretation stem from a combination of (1) different literal meanings, (2) different weights on utterance cost. These findings challenge accounts based purely on semantic variation or politeness norms, demonstrating that cross-cultural differences in interpretation emerge from an intricate interplay between the two.
Abstract:People regularly make inferences about objects in the world that they cannot see by flexibly integrating information from multiple sources: auditory and visual cues, language, and our prior beliefs and knowledge about the scene. How are we able to so flexibly integrate many sources of information to make sense of the world around us, even if we have no direct knowledge? In this work, we propose a neurosymbolic model that uses neural networks to parse open-ended multimodal inputs and then applies a Bayesian model to integrate different sources of information to evaluate different hypotheses. We evaluate our model with a novel object guessing game called ``What's in the Box?'' where humans and models watch a video clip of an experimenter shaking boxes and then try to guess the objects inside the boxes. Through a human experiment, we show that our model correlates strongly with human judgments, whereas unimodal ablated models and large multimodal neural model baselines show poor correlation.
Abstract:The think-aloud method, where participants voice their thoughts as they solve a task, is a valuable source of rich data about human reasoning processes. Yet, it has declined in popularity in contemporary cognitive science, largely because labor-intensive transcription and annotation preclude large sample sizes. Here, we develop methods to automate the transcription and annotation of verbal reports of reasoning using natural language processing tools, allowing for large-scale analysis of think-aloud data. In our study, 640 participants thought aloud while playing the Game of 24, a mathematical reasoning task. We automatically transcribed the recordings and coded the transcripts as search graphs, finding moderate inter-rater reliability with humans. We analyze these graphs and characterize consistency and variation in human reasoning traces. Our work demonstrates the value of think-aloud data at scale and serves as a proof of concept for the automated analysis of verbal reports.
Abstract:A key feature of human theory-of-mind is the ability to attribute beliefs to other agents as mentalistic explanations for their behavior. But given the wide variety of beliefs that agents may hold about the world and the rich language we can use to express them, which specific beliefs are people inclined to attribute to others? In this paper, we investigate the hypothesis that people prefer to attribute beliefs that are good explanations for the behavior they observe. We develop a computational model that quantifies the explanatory strength of a (natural language) statement about an agent's beliefs via three factors: accuracy, informativity, and causal relevance to actions, each of which can be computed from a probabilistic generative model of belief-driven behavior. Using this model, we study the role of each factor in how people selectively attribute beliefs to other agents. We investigate this via an experiment where participants watch an agent collect keys hidden in boxes in order to reach a goal, then rank a set of statements describing the agent's beliefs about the boxes' contents. We find that accuracy and informativity perform reasonably well at predicting these rankings when combined, but that causal relevance is the single factor that best explains participants' responses.




Abstract:This article presents a concept-centric paradigm for building agents that can learn continually and reason flexibly. The concept-centric agent utilizes a vocabulary of neuro-symbolic concepts. These concepts, such as object, relation, and action concepts, are grounded on sensory inputs and actuation outputs. They are also compositional, allowing for the creation of novel concepts through their structural combination. To facilitate learning and reasoning, the concepts are typed and represented using a combination of symbolic programs and neural network representations. Leveraging such neuro-symbolic concepts, the agent can efficiently learn and recombine them to solve various tasks across different domains, ranging from 2D images, videos, 3D scenes, and robotic manipulation tasks. This concept-centric framework offers several advantages, including data efficiency, compositional generalization, continual learning, and zero-shot transfer.
Abstract:While test-time reasoning enables language models to tackle complex tasks, searching or planning in natural language can be slow, costly, and error-prone. But even when LMs struggle to emulate the precise reasoning steps needed to solve a problem, they often excel at describing its abstract structure--both how to verify solutions and how to search for them. This paper introduces DisCIPL, a method for "self-steering" LMs where a Planner model generates a task-specific inference program that is executed by a population of Follower models. Our approach equips LMs with the ability to write recursive search procedures that guide LM inference, enabling new forms of verifiable and efficient reasoning. When instantiated with a small Follower (e.g., Llama-3.2-1B), DisCIPL matches (and sometimes outperforms) much larger models, including GPT-4o and o1, on challenging constrained generation tasks. In decoupling planning from execution, our work opens up a design space of highly-parallelized Monte Carlo inference strategies that outperform standard best-of-N sampling, require no finetuning, and can be implemented automatically by existing LMs.
Abstract:Modern reinforcement learning (RL) systems have demonstrated remarkable capabilities in complex environments, such as video games. However, they still fall short of achieving human-like sample efficiency and adaptability when learning new domains. Theory-based reinforcement learning (TBRL) is an algorithmic framework specifically designed to address this gap. Modeled on cognitive theories, TBRL leverages structured, causal world models - "theories" - as forward simulators for use in planning, generalization and exploration. Although current TBRL systems provide compelling explanations of how humans learn to play video games, they face several technical limitations: their theory languages are restrictive, and their planning algorithms are not scalable. To address these challenges, we introduce TheoryCoder, an instantiation of TBRL that exploits hierarchical representations of theories and efficient program synthesis methods for more powerful learning and planning. TheoryCoder equips agents with general-purpose abstractions (e.g., "move to"), which are then grounded in a particular environment by learning a low-level transition model (a Python program synthesized from observations by a large language model). A bilevel planning algorithm can exploit this hierarchical structure to solve large domains. We demonstrate that this approach can be successfully applied to diverse and challenging grid-world games, where approaches based on directly synthesizing a policy perform poorly. Ablation studies demonstrate the benefits of using hierarchical abstractions.




Abstract:Recent benchmark studies have claimed that AI has approached or even surpassed human-level performances on various cognitive tasks. However, this position paper argues that current AI evaluation paradigms are insufficient for assessing human-like cognitive capabilities. We identify a set of key shortcomings: a lack of human-validated labels, inadequate representation of human response variability and uncertainty, and reliance on simplified and ecologically-invalid tasks. We support our claims by conducting a human evaluation study on ten existing AI benchmarks, suggesting significant biases and flaws in task and label designs. To address these limitations, we propose five concrete recommendations for developing future benchmarks that will enable more rigorous and meaningful evaluations of human-like cognitive capacities in AI with various implications for such AI applications.