



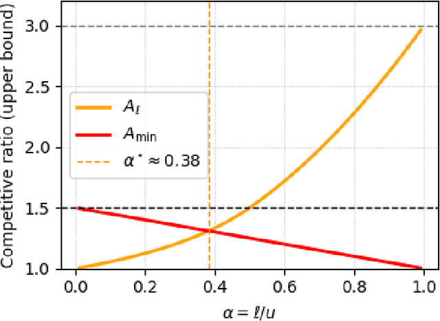
Abstract:We study the problem of optimizing Large Language Model (LLM) inference scheduling to minimize total latency. LLM inference is an online and multi-task service process and also heavily energy consuming by which a pre-trained LLM processes input requests and generates output tokens sequentially. Therefore, it is vital to improve its scheduling efficiency and reduce the power consumption while a great amount of prompt requests are arriving. A key challenge in LLM inference scheduling is that while the prompt length is known upon arrival, the output length, which critically impacts memory usage and processing time, is unknown. To address this uncertainty, we propose algorithms that leverage machine learning to predict output lengths, assuming the prediction provides an interval classification (min-max range) for each request. We first design a conservative algorithm, $\mathcal{A}_{\max}$, which schedules requests based on the upper bound of predicted output lengths to prevent memory overflow. However, this approach is overly conservative: as prediction accuracy decreases, performance degrades significantly due to potential overestimation. To overcome this limitation, we propose $\mathcal{A}_{\min}$, an adaptive algorithm that initially treats the predicted lower bound as the output length and dynamically refines this estimate during inferencing. We prove that $\mathcal{A}_{\min}$ achieves a log-scale competitive ratio. Through numerical simulations, we demonstrate that $\mathcal{A}_{\min}$ often performs nearly as well as the hindsight scheduler, highlighting both its efficiency and robustness in practical scenarios. Moreover, $\mathcal{A}_{\min}$ relies solely on the lower bound of the prediction interval--an advantageous design choice since upper bounds on output length are typically more challenging to predict accurately.
Abstract:We study the problem of serving LLM (Large Language Model) requests where each request has heterogeneous prefill and decode lengths. In LLM serving, the prefill length corresponds to the input prompt length, which determines the initial memory usage in the KV cache. The decode length refers to the number of output tokens generated sequentially, with each additional token increasing the KV cache memory usage by one unit. Given a set of n requests, our goal is to schedule and process them to minimize the total completion time. We show that this problem is NP-hard due to the interplay of batching, placement constraints, precedence relationships, and linearly increasing memory usage. We then analyze commonly used scheduling strategies in practice, such as First-Come-First-Serve (FCFS) and Shortest-First (SF), and prove that their competitive ratios scale up sublinearly with the memory limit-a significant drawback in real-world settings where memory demand is large. To address this, we propose a novel algorithm based on a new selection metric that efficiently forms batches over time. We prove that this algorithm achieves a constant competitive ratio. Finally, we develop and evaluate a few algorithm variants inspired by this approach, including dynamic programming variants, local search methods, and an LP-based scheduler, demonstrating through comprehensive simulations that they outperform standard baselines while maintaining computational efficiency.
Abstract:This paper establishes the theoretical foundations of the online scaled gradient methods (OSGM), a framework that utilizes online learning to adapt stepsizes and provably accelerate first-order methods. OSGM quantifies the effectiveness of a stepsize by a feedback function motivated from a convergence measure and uses the feedback to adjust the stepsize through an online learning algorithm. Consequently, instantiations of OSGM achieve convergence rates that are asymptotically no worse than the optimal stepsize. OSGM yields desirable convergence guarantees on smooth convex problems, including 1) trajectory-dependent global convergence on smooth convex objectives; 2) an improved complexity result on smooth strongly convex problems, and 3) local superlinear convergence. Notably, OSGM constitutes a new family of first-order methods with non-asymptotic superlinear convergence, joining the celebrated quasi-Newton methods. Finally, OSGM explains the empirical success of the popular hypergradient-descent heuristic in optimization for machine learning.



Abstract:Reinforcement learning (RL) problems are fundamental in online decision-making and have been instrumental in finding an optimal policy for Markov decision processes (MDPs). Function approximations are usually deployed to handle large or infinite state-action space. In our work, we consider the RL problems with function approximation and we develop a new algorithm to solve it efficiently. Our algorithm is based on the linear programming (LP) reformulation and it resolves the LP at each iteration improved with new data arrival. Such a resolving scheme enables our algorithm to achieve an instance-dependent sample complexity guarantee, more precisely, when we have $N$ data, the output of our algorithm enjoys an instance-dependent $\tilde{O}(1/N)$ suboptimality gap. In comparison to the $O(1/\sqrt{N})$ worst-case guarantee established in the previous literature, our instance-dependent guarantee is tighter when the underlying instance is favorable, and the numerical experiments also reveal the efficient empirical performances of our algorithms.
Abstract:Optimization modeling is fundamental to decision-making across diverse domains.Despite progress in automating optimization formulation from natural language descriptions, Large Language Models (LLMs) often struggle to generate formally correct and usable models due to hallucinations, posing a challenge for reliable automation. Inspired by the success of Reinforcement Learning (RL) in enhancing Large Reasoning Models, we present Solver-Informed Reinforcement Learning (SIRL).This novel framework leverages external optimization solvers as verifiable reward mechanisms to significantly improve the authenticity of LLMs for optimization modeling.Acting as precise verifiers, these solvers automatically assess the executable code and the instance-level mathematical model represented by the associated LP file, yielding precise and comprehensive feedback signals -- including syntax, feasibility, and solution quality that directly inform the RL process. This automated verification process, powered by classic optimization solvers, also underpins our instance-enhanced self-consistency method to synthesize high-quality training data. Extensive experiments on diverse public benchmarks demonstrate that SIRL achieves state-of-the-art performance, substantially outperforming existing methods in generating accurate and executable optimization models.




Abstract:Online linear programming plays an important role in both revenue management and resource allocation, and recent research has focused on developing efficient first-order online learning algorithms. Despite the empirical success of first-order methods, they typically achieve a regret no better than $\mathcal{O} ( \sqrt{T} )$, which is suboptimal compared to the $\mathcal{O} (\log T)$ bound guaranteed by the state-of-the-art linear programming (LP)-based online algorithms. This paper establishes a general framework that improves upon the $\mathcal{O} ( \sqrt{T} )$ result when the LP dual problem exhibits certain error bound conditions. For the first time, we show that first-order learning algorithms achieve $o( \sqrt{T} )$ regret in the continuous support setting and $\mathcal{O} (\log T)$ regret in the finite support setting beyond the non-degeneracy assumption. Our results significantly improve the state-of-the-art regret results and provide new insights for sequential decision-making.
Abstract:Online linear programming (OLP) has found broad applications in revenue management and resource allocation. State-of-the-art OLP algorithms achieve low regret by repeatedly solving linear programming (LP) subproblems that incorporate updated resource information. However, LP-based methods are computationally expensive and often inefficient for large-scale applications. In contrast, recent first-order OLP algorithms are more computationally efficient but typically suffer from worse regret guarantees. To address these shortcomings, we propose a new algorithm that combines the strengths of LP-based and first-order OLP methods. The algorithm re-solves the LP subproblems periodically at a predefined frequency $f$ and uses the latest dual prices to guide online decision-making. In addition, a first-order method runs in parallel during each interval between LP re-solves, smoothing resource consumption. Our algorithm achieves $\mathscr{O}(\log (T/f) + \sqrt{f})$ regret, delivering a "wait-less" online decision-making process that balances the computational efficiency of first-order methods and the superior regret guarantee of LP-based methods.
Abstract:We introduce a framework to accelerate the convergence of gradient-based methods with online learning. The framework learns to scale the gradient at each iteration through an online learning algorithm and provably accelerates gradient-based methods asymptotically. In contrast with previous literature, where convergence is established based on worst-case analysis, our framework provides a strong convergence guarantee with respect to the optimal scaling matrix for the iteration trajectory. For smooth strongly convex optimization, our results provide an $O(\kappa^\star \log(1/\varepsilon)$) complexity result, where $\kappa^\star$ is the condition number achievable by the optimal preconditioner, improving on the previous $O(\sqrt{n}\kappa^\star \log(1/\varepsilon))$ result. In particular, a variant of our method achieves superlinear convergence on convex quadratics. For smooth convex optimization, we show for the first time that the widely-used hypergradient descent heuristic improves on the convergence of gradient descent.




Abstract:This paper addresses the problem of vision-based pedestrian localization, which estimates a pedestrian's location using images and camera parameters. In practice, however, calibrated camera parameters often deviate from the ground truth, leading to inaccuracies in localization. To address this issue, we propose an anchor-based method that leverages fixed-position anchors to reduce the impact of camera parameter errors. We provide a theoretical analysis that demonstrates the robustness of our approach. Experiments conducted on simulated, real-world, and public datasets show that our method significantly improves localization accuracy and remains resilient to noise in camera parameters, compared to methods without anchors.




Abstract:We study Online Linear Programming (OLP) with batching. The planning horizon is cut into $K$ batches, and the decisions on customers arriving within a batch can be delayed to the end of their associated batch. Compared with OLP without batching, the ability to delay decisions brings better operational performance, as measured by regret. Two research questions of interest are: (1) What is a lower bound of the regret as a function of $K$? (2) What algorithms can achieve the regret lower bound? These questions have been analyzed in the literature when the distribution of the reward and the resource consumption of the customers have finite support. By contrast, this paper analyzes these questions when the conditional distribution of the reward given the resource consumption is continuous, and we show the answers are different under this setting. When there is only a single type of resource and the decision maker knows the total number of customers, we propose an algorithm with a $O(\log K)$ regret upper bound and provide a $\Omega(\log K)$ regret lower bound. We also propose algorithms with $O(\log K)$ regret upper bound for the setting in which there are multiple types of resource and the setting in which customers arrive following a Poisson process. All these regret upper and lower bounds are independent of the length of the planning horizon, and all the proposed algorithms delay decisions on customers arriving in only the first and the last batch. We also take customer impatience into consideration and establish a way of selecting an appropriate batch size.