



Abstract:Massive data collection holds the promise of a better understanding of complex phenomena and, ultimately, better decisions. Representation learning has become a key driver of deep learning applications, as it allows learning latent spaces that capture important properties of the data without requiring any supervised annotations. Although representation learning has been hugely successful in predictive tasks, it can fail miserably in causal tasks including predicting the effect of a perturbation/intervention. This calls for a marriage between representation learning and causal inference. An exciting opportunity in this regard stems from the growing availability of multi-modal data (observational and perturbational, imaging-based and sequencing-based, at the single-cell level, tissue-level, and organism-level). We outline a statistical and computational framework for causal structure and representation learning motivated by fundamental biomedical questions: how to effectively use observational and perturbational data to perform causal discovery on observed causal variables; how to use multi-modal views of the system to learn causal variables; and how to design optimal perturbations.




Abstract:The recent development of feedforward 3D Gaussian Splatting (3DGS) presents a new paradigm to reconstruct 3D scenes. Using neural networks trained on large-scale multi-view datasets, it can directly infer 3DGS representations from sparse input views. Although the feedforward approach achieves high reconstruction speed, it still suffers from the substantial storage cost of 3D Gaussians. Existing 3DGS compression methods relying on scene-wise optimization are not applicable due to architectural incompatibilities. To overcome this limitation, we propose TinySplat, a complete feedforward approach for generating compact 3D scene representations. Built upon standard feedforward 3DGS methods, TinySplat integrates a training-free compression framework that systematically eliminates key sources of redundancy. Specifically, we introduce View-Projection Transformation (VPT) to reduce geometric redundancy by projecting geometric parameters into a more compact space. We further present Visibility-Aware Basis Reduction (VABR), which mitigates perceptual redundancy by aligning feature energy along dominant viewing directions via basis transformation. Lastly, spatial redundancy is addressed through an off-the-shelf video codec. Comprehensive experimental results on multiple benchmark datasets demonstrate that TinySplat achieves over 100x compression for 3D Gaussian data generated by feedforward methods. Compared to the state-of-the-art compression approach, we achieve comparable quality with only 6% of the storage size. Meanwhile, our compression framework requires only 25% of the encoding time and 1% of the decoding time.
Abstract:Feed-forward 3D Gaussian Splatting (3DGS) has recently demonstrated promising results for novel view synthesis (NVS) from sparse input views, particularly under narrow-baseline conditions. However, its performance significantly degrades in wide-baseline scenarios due to limited texture details and geometric inconsistencies across views. To address these challenges, in this paper, we propose ProSplat, a two-stage feed-forward framework designed for high-fidelity rendering under wide-baseline conditions. The first stage involves generating 3D Gaussian primitives via a 3DGS generator. In the second stage, rendered views from these primitives are enhanced through an improvement model. Specifically, this improvement model is based on a one-step diffusion model, further optimized by our proposed Maximum Overlap Reference view Injection (MORI) and Distance-Weighted Epipolar Attention (DWEA). MORI supplements missing texture and color by strategically selecting a reference view with maximum viewpoint overlap, while DWEA enforces geometric consistency using epipolar constraints. Additionally, we introduce a divide-and-conquer training strategy that aligns data distributions between the two stages through joint optimization. We evaluate ProSplat on the RealEstate10K and DL3DV-10K datasets under wide-baseline settings. Experimental results demonstrate that ProSplat achieves an average improvement of 1 dB in PSNR compared to recent SOTA methods.




Abstract:We propose GradPower, a lightweight gradient-transformation technique for accelerating language model pre-training. Given a gradient vector $g=(g_i)_i$, GradPower first applies the elementwise sign-power transformation: $\varphi_p(g)=({\rm sign}(g_i)|g_i|^p)_{i}$ for a fixed $p>0$, and then feeds the transformed gradient into a base optimizer. Notably, GradPower requires only a single-line code change and no modifications to the base optimizer's internal logic, including the hyperparameters. When applied to Adam (termed AdamPower), GradPower consistently achieves lower terminal loss across diverse architectures (LLaMA, Qwen2MoE), parameter scales (66M to 2B), datasets (C4, OpenWebText), and learning-rate schedules (cosine, warmup-stable-decay). The most pronounced gains are observed when training modern mixture-of-experts models with warmup-stable-decay schedules. GradPower also integrates seamlessly with other state-of-the-art optimizers, such as Muon, yielding further improvements. Finally, we provide theoretical analyses that reveal the underlying mechanism of GradPower and highlights the influence of gradient noise.
Abstract:Advanced plant phenotyping technologies play a crucial role in targeted trait improvement and accelerating intelligent breeding. Due to the species diversity of plants, existing methods heavily rely on large-scale high-precision manually annotated data. For self-occluded objects at the grain level, unsupervised methods often prove ineffective. This study proposes IPENS, an interactive unsupervised multi-target point cloud extraction method. The method utilizes radiance field information to lift 2D masks, which are segmented by SAM2 (Segment Anything Model 2), into 3D space for target point cloud extraction. A multi-target collaborative optimization strategy is designed to effectively resolve the single-interaction multi-target segmentation challenge. Experimental validation demonstrates that IPENS achieves a grain-level segmentation accuracy (mIoU) of 63.72% on a rice dataset, with strong phenotypic estimation capabilities: grain volume prediction yields R2 = 0.7697 (RMSE = 0.0025), leaf surface area R2 = 0.84 (RMSE = 18.93), and leaf length and width predictions achieve R2 = 0.97 and 0.87 (RMSE = 1.49 and 0.21). On a wheat dataset,IPENS further improves segmentation accuracy to 89.68% (mIoU), with equally outstanding phenotypic estimation performance: spike volume prediction achieves R2 = 0.9956 (RMSE = 0.0055), leaf surface area R2 = 1.00 (RMSE = 0.67), and leaf length and width predictions reach R2 = 0.99 and 0.92 (RMSE = 0.23 and 0.15). This method provides a non-invasive, high-quality phenotyping extraction solution for rice and wheat. Without requiring annotated data, it rapidly extracts grain-level point clouds within 3 minutes through simple single-round interactions on images for multiple targets, demonstrating significant potential to accelerate intelligent breeding efficiency.
Abstract:Self-Supervised Learning (SSL) has become a powerful solution to extract rich representations from unlabeled data. Yet, SSL research is mostly focused on clean, curated and high-quality datasets. As a result, applying SSL on noisy data remains a challenge, despite being crucial to applications such as astrophysics, medical imaging, geophysics or finance. In this work, we present a fully self-supervised framework that enables noise-robust representation learning without requiring a denoiser at inference or downstream fine-tuning. Our method first trains an SSL denoiser on noisy data, then uses it to construct a denoised-to-noisy data curriculum (i.e., training first on denoised, then noisy samples) for pretraining a SSL backbone (e.g., DINOv2), combined with a teacher-guided regularization that anchors noisy embeddings to their denoised counterparts. This process encourages the model to internalize noise robustness. Notably, the denoiser can be discarded after pretraining, simplifying deployment. On ImageNet-1k with ViT-B under extreme Gaussian noise ($\sigma=255$, SNR = 0.72 dB), our method improves linear probing accuracy by 4.8% over DINOv2, demonstrating that denoiser-free robustness can emerge from noise-aware pretraining. The code is available at https://github.com/wenquanlu/noisy_dinov2.




Abstract:Accurate identification of agricultural pests is essential for crop protection but remains challenging due to the large intra-class variance and fine-grained differences among pest species. While deep learning has advanced pest detection, most existing approaches rely solely on low-level visual features and lack effective multi-modal integration, leading to limited accuracy and poor interpretability. Moreover, the scarcity of high-quality multi-modal agricultural datasets further restricts progress in this field. To address these issues, we construct two novel multi-modal benchmarks-CTIP102 and STIP102-based on the widely-used IP102 dataset, and introduce a Multi-scale Cross-Modal Fusion Network (MSFNet-CPD) for robust pest detection. Our approach enhances visual quality via a super-resolution reconstruction module, and feeds both the original and reconstructed images into the network to improve clarity and detection performance. To better exploit semantic cues, we propose an Image-Text Fusion (ITF) module for joint modeling of visual and textual features, and an Image-Text Converter (ITC) that reconstructs fine-grained details across multiple scales to handle challenging backgrounds. Furthermore, we introduce an Arbitrary Combination Image Enhancement (ACIE) strategy to generate a more complex and diverse pest detection dataset, MTIP102, improving the model's generalization to real-world scenarios. Extensive experiments demonstrate that MSFNet-CPD consistently outperforms state-of-the-art methods on multiple pest detection benchmarks. All code and datasets will be made publicly available at: https://github.com/Healer-ML/MSFNet-CPD.




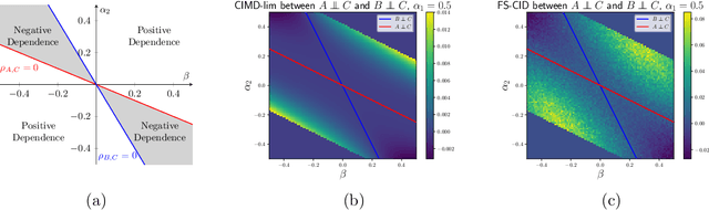
Abstract:Constraint-based causal discovery algorithms utilize many statistical tests for conditional independence to uncover networks of causal dependencies. These approaches to causal discovery rely on an assumed correspondence between the graphical properties of a causal structure and the conditional independence properties of observed variables, known as the causal Markov condition and faithfulness. Finite data yields an empirical distribution that is "close" to the actual distribution. Across these many possible empirical distributions, the correspondence to the graphical properties can break down for different conditional independencies, and multiple violations can occur at the same time. We study this "meta-dependence" between conditional independence properties using the following geometric intuition: each conditional independence property constrains the space of possible joint distributions to a manifold. The "meta-dependence" between conditional independences is informed by the position of these manifolds relative to the true probability distribution. We provide a simple-to-compute measure of this meta-dependence using information projections and consolidate our findings empirically using both synthetic and real-world data.
Abstract:This paper presents a novel theoretical framework for understanding how diffusion models can learn disentangled representations. Within this framework, we establish identifiability conditions for general disentangled latent variable models, analyze training dynamics, and derive sample complexity bounds for disentangled latent subspace models. To validate our theory, we conduct disentanglement experiments across diverse tasks and modalities, including subspace recovery in latent subspace Gaussian mixture models, image colorization, image denoising, and voice conversion for speech classification. Additionally, our experiments show that training strategies inspired by our theory, such as style guidance regularization, consistently enhance disentanglement performance.




Abstract:Information technology has profoundly altered the way humans interact with information. The vast amount of content created, shared, and disseminated online has made it increasingly difficult to access relevant information. Over the past two decades, search and recommendation systems (collectively referred to as information retrieval systems) have evolved significantly to address these challenges. Recent advances in large language models (LLMs) have demonstrated capabilities that surpass human performance in various language-related tasks and exhibit general understanding, reasoning, and decision-making abilities. This paper explores the transformative potential of large language model agents in enhancing search and recommendation systems. We discuss the motivations and roles of LLM agents, and establish a classification framework to elaborate on the existing research. We highlight the immense potential of LLM agents in addressing current challenges in search and recommendation, providing insights into future research directions. This paper is the first to systematically review and classify the research on LLM agents in these domains, offering a novel perspective on leveraging this advanced AI technology for information retrieval. To help understand the existing works, we list the existing papers on agent-based simulation with large language models at this link: https://github.com/tsinghua-fib-lab/LLM-Agent-for-Recommendation-and-Search.