Abstract:We present Innovator-VL, a scientific multimodal large language model designed to advance understanding and reasoning across diverse scientific domains while maintaining excellent performance on general vision tasks. Contrary to the trend of relying on massive domain-specific pretraining and opaque pipelines, our work demonstrates that principled training design and transparent methodology can yield strong scientific intelligence with substantially reduced data requirements. (i) First, we provide a fully transparent, end-to-end reproducible training pipeline, covering data collection, cleaning, preprocessing, supervised fine-tuning, reinforcement learning, and evaluation, along with detailed optimization recipes. This facilitates systematic extension by the community. (ii) Second, Innovator-VL exhibits remarkable data efficiency, achieving competitive performance on various scientific tasks using fewer than five million curated samples without large-scale pretraining. These results highlight that effective reasoning can be achieved through principled data selection rather than indiscriminate scaling. (iii) Third, Innovator-VL demonstrates strong generalization, achieving competitive performance on general vision, multimodal reasoning, and scientific benchmarks. This indicates that scientific alignment can be integrated into a unified model without compromising general-purpose capabilities. Our practices suggest that efficient, reproducible, and high-performing scientific multimodal models can be built even without large-scale data, providing a practical foundation for future research.




Abstract:The dominance of denoising generative models (e.g., diffusion, flow-matching) in visual synthesis is tempered by their substantial training costs and inefficiencies in representation learning. While injecting discriminative representations via auxiliary alignment has proven effective, this approach still faces key limitations: the reliance on external, pre-trained encoders introduces overhead and domain shift. A dispersed-based strategy that encourages strong separation among in-batch latent representations alleviates this specific dependency. To assess the effect of the number of negative samples in generative modeling, we propose {\mname}, a plug-and-play training framework that requires no external encoders. Our method integrates a memory bank mechanism that maintains a large, dynamically updated queue of negative samples across training iterations. This decouples the number of negatives from the mini-batch size, providing abundant and high-quality negatives for a contrastive objective without a multiplicative increase in computational cost. A low-dimensional projection head is used to further minimize memory and bandwidth overhead. {\mname} offers three principal advantages: (1) it is self-contained, eliminating dependency on pretrained vision foundation models and their associated forward-pass overhead; (2) it introduces no additional parameters or computational cost during inference; and (3) it enables substantially faster convergence, achieving superior generative quality more efficiently. On ImageNet-256, {\mname} achieves a state-of-the-art FID of \textbf{2.40} within 400k steps, significantly outperforming comparable methods.




Abstract:Traditional Mixture-of-Experts (MoE) networks benefit from utilizing multiple smaller expert models as opposed to a single large network. However, these experts typically operate independently, leaving a question open about whether interconnecting these models could enhance the performance of MoE networks. In response, we introduce GRAPHMOE, a novel method aimed at augmenting the cognitive depth of language models via a self-rethinking mechanism constructed on Pseudo GraphMoE networks. GRAPHMOE employs a recurrent routing strategy to simulate iterative thinking steps, thereby facilitating the flow of information among expert nodes. We implement the GRAPHMOE architecture using Low-Rank Adaptation techniques (LoRA) and conduct extensive experiments on various benchmark datasets. The experimental results reveal that GRAPHMOE outperforms other LoRA based models, achieving state-of-the-art (SOTA) performance. Additionally, this study explores a novel recurrent routing strategy that may inspire further advancements in enhancing the reasoning capabilities of language models.




Abstract:Bayesian Optimization (BO) is a sample-efficient black-box optimizer commonly used in search spaces where hyperparameters are independent. However, in many practical AutoML scenarios, there will be dependencies among hyperparameters, forming a conditional search space, which can be partitioned into structurally distinct subspaces. The structure and dimensionality of hyperparameter configurations vary across these subspaces, challenging the application of BO. Some previous BO works have proposed solutions to develop multiple Gaussian Process models in these subspaces. However, these approaches tend to be inefficient as they require a substantial number of observations to guarantee each GP's performance and cannot capture relationships between hyperparameters across different subspaces. To address these issues, this paper proposes a novel approach to model the response surfaces of all subspaces in one, which can model the relationships between hyperparameters elegantly via a self-attention mechanism. Concretely, we design a structure-aware hyperparameter embedding to preserve the structural information. Then, we introduce an attention-based deep feature extractor, capable of projecting configurations with different structures from various subspaces into a unified feature space, where the response surfaces can be formulated using a single standard Gaussian Process. The empirical results on a simulation function, various real-world tasks, and HPO-B benchmark demonstrate that our proposed approach improves the efficacy and efficiency of BO within conditional search spaces.




Abstract:Modern QA systems entail retrieval-augmented generation (RAG) for accurate and trustworthy responses. However, the inherent gap between user queries and relevant documents hinders precise matching. Motivated by our conical distribution hypothesis, which posits that potential queries and documents form a cone-like structure in the embedding space, we introduce QAEncoder, a training-free approach to bridge this gap. Specifically, QAEncoder estimates the expectation of potential queries in the embedding space as a robust surrogate for the document embedding, and attaches document fingerprints to effectively distinguish these embeddings. Extensive experiments on fourteen embedding models across six languages and eight datasets validate QAEncoder's alignment capability, which offers a plug-and-play solution that seamlessly integrates with existing RAG architectures and training-based methods.
Abstract:Supernet is a core component in many recent Neural Architecture Search (NAS) methods. It not only helps embody the search space but also provides a (relative) estimation of the final performance of candidate architectures. Thus, it is critical that the top architectures ranked by a supernet should be consistent with those ranked by true performance, which is known as the order-preserving ability. In this work, we analyze the order-preserving ability on the whole search space (global) and a sub-space of top architectures (local), and empirically show that the local order-preserving for current two-stage NAS methods still need to be improved. To rectify this, we propose a novel concept of Supernet Shifting, a refined search strategy combining architecture searching with supernet fine-tuning. Specifically, apart from evaluating, the training loss is also accumulated in searching and the supernet is updated every iteration. Since superior architectures are sampled more frequently in evolutionary searching, the supernet is encouraged to focus on top architectures, thus improving local order-preserving. Besides, a pre-trained supernet is often un-reusable for one-shot methods. We show that Supernet Shifting can fulfill transferring supernet to a new dataset. Specifically, the last classifier layer will be unset and trained through evolutionary searching. Comprehensive experiments show that our method has better order-preserving ability and can find a dominating architecture. Moreover, the pre-trained supernet can be easily transferred into a new dataset with no loss of performance.




Abstract:BayesianOptimization(BO) is a sample-efficient black-box optimizer, and extensive methods have been proposed to build the absolute function response of the black-box function through a probabilistic surrogate model, including Tree-structured Parzen Estimator (TPE), random forest (SMAC), and Gaussian process (GP). However, few methods have been explored to estimate the relative rankings of candidates, which can be more robust to noise and have better practicality than absolute function responses, especially when the function responses are intractable but preferences can be acquired. To this end, we propose a novel ranking-based surrogate model based on the Poisson process and introduce an efficient BO framework, namely Poisson Process Bayesian Optimization (PoPBO). Two tailored acquisition functions are further derived from classic LCB and EI to accommodate it. Compared to the classic GP-BO method, our PoPBO has lower computation costs and better robustness to noise, which is verified by abundant experiments. The results on both simulated and real-world benchmarks, including hyperparameter optimization (HPO) and neural architecture search (NAS), show the effectiveness of PoPBO.




Abstract:Training CNN for detection is time-consuming due to the large dataset and complex network modules, making it hard to search architectures on detection datasets directly, which usually requires vast search costs (usually tens and even hundreds of GPU-days). In contrast, this paper introduces an efficient framework, named EAutoDet, that can discover practical backbone and FPN architectures for object detection in 1.4 GPU-days. Specifically, we construct a supernet for both backbone and FPN modules and adopt the differentiable method. To reduce the GPU memory requirement and computational cost, we propose a kernel reusing technique by sharing the weights of candidate operations on one edge and consolidating them into one convolution. A dynamic channel refinement strategy is also introduced to search channel numbers. Extensive experiments show significant efficacy and efficiency of our method. In particular, the discovered architectures surpass state-of-the-art object detection NAS methods and achieve 40.1 mAP with 120 FPS and 49.2 mAP with 41.3 FPS on COCO test-dev set. We also transfer the discovered architectures to rotation detection task, which achieve 77.05 mAP$_{\text{50}}$ on DOTA-v1.0 test set with 21.1M parameters.




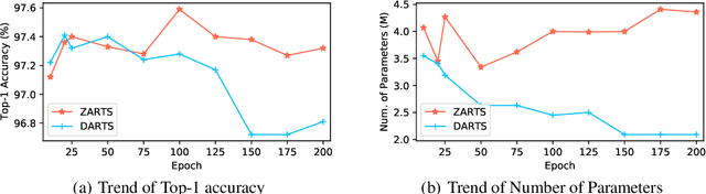
Abstract:Differentiable architecture search (DARTS) has been a popular one-shot paradigm for NAS due to its high efficiency. It introduces trainable architecture parameters to represent the importance of candidate operations and proposes first/second-order approximation to estimate their gradients, making it possible to solve NAS by gradient descent algorithm. However, our in-depth empirical results show that the approximation will often distort the loss landscape, leading to the biased objective to optimize and in turn inaccurate gradient estimation for architecture parameters. This work turns to zero-order optimization and proposes a novel NAS scheme, called ZARTS, to search without enforcing the above approximation. Specifically, three representative zero-order optimization methods are introduced: RS, MGS, and GLD, among which MGS performs best by balancing the accuracy and speed. Moreover, we explore the connections between RS/MGS and gradient descent algorithm and show that our ZARTS can be seen as a robust gradient-free counterpart to DARTS. Extensive experiments on multiple datasets and search spaces show the remarkable performance of our method. In particular, results on 12 benchmarks verify the outstanding robustness of ZARTS, where the performance of DARTS collapses due to its known instability issue. Also, we search on the search space of DARTS to compare with peer methods, and our discovered architecture achieves 97.54% accuracy on CIFAR-10 and 75.7% top-1 accuracy on ImageNet, which are state-of-the-art performance.




Abstract:Neural architecture search (NAS) has been an active direction of automatic machine learning (Auto-ML), aiming to explore efficient network structures. The searched architecture is evaluated by training on datasets with fixed data augmentation policies. However, recent works on auto-augmentation show that the suited augmentation policies can vary over different structures. Therefore, this work considers the possible coupling between neural architectures and data augmentation and proposes an effective algorithm jointly searching for them. Specifically, 1) for the NAS task, we adopt a single-path based differentiable method with Gumbel-softmax reparameterization strategy due to its memory efficiency; 2) for the auto-augmentation task, we introduce a novel search method based on policy gradient algorithm, which can significantly reduce the computation complexity. Our approach achieves 97.91% accuracy on CIFAR-10 and 76.6% Top-1 accuracy on ImageNet dataset, showing the outstanding performance of our search algorithm.