Abstract:Subject-to-video generation has witnessed substantial progress in recent years. However, existing models still face significant challenges in faithfully following textual instructions. This limitation, commonly known as the copy-paste problem, arises from the widely used in-pair training paradigm. This approach inherently entangles subject identity with background and contextual attributes by sampling reference images from the same scene as the target video. To address this issue, we introduce \textbf{Phantom-Data, the first general-purpose cross-pair subject-to-video consistency dataset}, containing approximately one million identity-consistent pairs across diverse categories. Our dataset is constructed via a three-stage pipeline: (1) a general and input-aligned subject detection module, (2) large-scale cross-context subject retrieval from more than 53 million videos and 3 billion images, and (3) prior-guided identity verification to ensure visual consistency under contextual variation. Comprehensive experiments show that training with Phantom-Data significantly improves prompt alignment and visual quality while preserving identity consistency on par with in-pair baselines.
Abstract:Can we build accurate world models out of large language models (LLMs)? How can world models benefit LLM agents? The gap between the prior knowledge of LLMs and the specified environment's dynamics usually bottlenecks LLMs' performance as world models. To bridge the gap, we propose a training-free "world alignment" that learns an environment's symbolic knowledge complementary to LLMs. The symbolic knowledge covers action rules, knowledge graphs, and scene graphs, which are extracted by LLMs from exploration trajectories and encoded into executable codes to regulate LLM agents' policies. We further propose an RL-free, model-based agent "WALL-E 2.0" through the model-predictive control (MPC) framework. Unlike classical MPC requiring costly optimization on the fly, we adopt an LLM agent as an efficient look-ahead optimizer of future steps' actions by interacting with the neurosymbolic world model. While the LLM agent's strong heuristics make it an efficient planner in MPC, the quality of its planned actions is also secured by the accurate predictions of the aligned world model. They together considerably improve learning efficiency in a new environment. On open-world challenges in Mars (Minecraft like) and ALFWorld (embodied indoor environments), WALL-E 2.0 significantly outperforms existing methods, e.g., surpassing baselines in Mars by 16.1%-51.6% of success rate and by at least 61.7% in score. In ALFWorld, it achieves a new record 98% success rate after only 4 iterations.




Abstract:Video synthesis techniques are undergoing rapid progress, with controllability being a significant aspect of practical usability for end-users. Although text condition is an effective way to guide video synthesis, capturing the correct joint distribution between text descriptions and video motion remains a substantial challenge. In this paper, we present a disentangled and unified framework, namely I2VControl, that unifies multiple motion control tasks in image-to-video synthesis. Our approach partitions the video into individual motion units and represents each unit with disentangled control signals, which allows for various control types to be flexibly combined within our single system. Furthermore, our methodology seamlessly integrates as a plug-in for pre-trained models and remains agnostic to specific model architectures. We conduct extensive experiments, achieving excellent performance on various control tasks, and our method further facilitates user-driven creative combinations, enhancing innovation and creativity. The project page is: https://wanquanf.github.io/I2VControl .




Abstract:Video generation technologies are developing rapidly and have broad potential applications. Among these technologies, camera control is crucial for generating professional-quality videos that accurately meet user expectations. However, existing camera control methods still suffer from several limitations, including control precision and the neglect of the control for subject motion dynamics. In this work, we propose I2VControl-Camera, a novel camera control method that significantly enhances controllability while providing adjustability over the strength of subject motion. To improve control precision, we employ point trajectory in the camera coordinate system instead of only extrinsic matrix information as our control signal. To accurately control and adjust the strength of subject motion, we explicitly model the higher-order components of the video trajectory expansion, not merely the linear terms, and design an operator that effectively represents the motion strength. We use an adapter architecture that is independent of the base model structure. Experiments on static and dynamic scenes show that our framework outperformances previous methods both quantitatively and qualitatively. The project page is: https://wanquanf.github.io/I2VControlCamera .




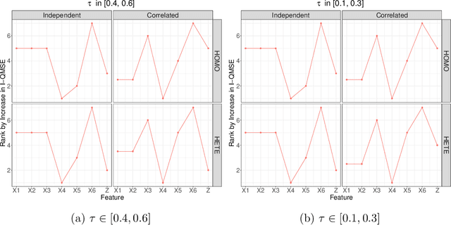
Abstract:In recent years, censored quantile regression has enjoyed an increasing popularity for survival analysis while many existing works rely on linearity assumptions. In this work, we propose a Global Censored Quantile Random Forest (GCQRF) for predicting a conditional quantile process on data subject to right censoring, a forest-based flexible, competitive method able to capture complex nonlinear relationships. Taking into account the randomness in trees and connecting the proposed method to a randomized incomplete infinite degree U-process (IDUP), we quantify the prediction process' variation without assuming an infinite forest and establish its weak convergence. Moreover, feature importance ranking measures based on out-of-sample predictive accuracy are proposed. We demonstrate the superior predictive accuracy of the proposed method over a number of existing alternatives and illustrate the use of the proposed importance ranking measures on both simulated and real data.




Abstract:Can large language models (LLMs) directly serve as powerful world models for model-based agents? While the gaps between the prior knowledge of LLMs and the specified environment's dynamics do exist, our study reveals that the gaps can be bridged by aligning an LLM with its deployed environment and such "world alignment" can be efficiently achieved by rule learning on LLMs. Given the rich prior knowledge of LLMs, only a few additional rules suffice to align LLM predictions with the specified environment dynamics. To this end, we propose a neurosymbolic approach to learn these rules gradient-free through LLMs, by inducing, updating, and pruning rules based on comparisons of agent-explored trajectories and world model predictions. The resulting world model is composed of the LLM and the learned rules. Our embodied LLM agent "WALL-E" is built upon model-predictive control (MPC). By optimizing look-ahead actions based on the precise world model, MPC significantly improves exploration and learning efficiency. Compared to existing LLM agents, WALL-E's reasoning only requires a few principal rules rather than verbose buffered trajectories being included in the LLM input. On open-world challenges in Minecraft and ALFWorld, WALL-E achieves higher success rates than existing methods, with lower costs on replanning time and the number of tokens used for reasoning. In Minecraft, WALL-E exceeds baselines by 15-30% in success rate while costing 8-20 fewer replanning rounds and only 60-80% of tokens. In ALFWorld, its success rate surges to a new record high of 95% only after 6 iterations.




Abstract:Body fat volume and distribution can be a strong indication for a person's overall health and the risk for developing diseases like type 2 diabetes and cardiovascular diseases. Frequently used measures for fat estimation are the body mass index (BMI), waist circumference, or the waist-hip-ratio. However, those are rather imprecise measures that do not allow for a discrimination between different types of fat or between fat and muscle tissue. The estimation of visceral (VAT) and abdominal subcutaneous (ASAT) adipose tissue volume has shown to be a more accurate measure for named risk factors. In this work, we show that triangulated body surface meshes can be used to accurately predict VAT and ASAT volumes using graph neural networks. Our methods achieve high performance while reducing training time and required resources compared to state-of-the-art convolutional neural networks in this area. We furthermore envision this method to be applicable to cheaper and easily accessible medical surface scans instead of expensive medical images.




Abstract:Guaranteeing safety in human-centric applications is critical in robot learning as the learned policies may demonstrate unsafe behaviors in formerly unseen scenarios. We present a framework to locally repair an erroneous policy network to satisfy a set of formal safety constraints using Mixed Integer Quadratic Programming (MIQP). Our MIQP formulation explicitly imposes the safety constraints to the learned policy while minimizing the original loss function. The policy network is then verified to be locally safe. We demonstrate the application of our framework to derive safe policies for a robotic lower-leg prosthesis.




Abstract:Assistive robotic devices are a particularly promising field of application for neural networks (NN) due to the need for personalization and hard-to-model human-machine interaction dynamics. However, NN based estimators and controllers may produce potentially unsafe outputs over previously unseen data points. In this paper, we introduce an algorithm for updating NN control policies to satisfy a given set of formal safety constraints, while also optimizing the original loss function. Given a set of mixed-integer linear constraints, we define the NN repair problem as a Mixed Integer Quadratic Program (MIQP). In extensive experiments, we demonstrate the efficacy of our repair method in generating safe policies for a lower-leg prosthesis.




Abstract:In this paper, we propose a framework to repair a pre-trained feed-forward neural network (NN) to satisfy a set of properties. We formulate the properties as a set of predicates that impose constraints on the output of NN over the target input domain. We define the NN repair problem as a Mixed Integer Quadratic Program (MIQP) to adjust the weights of a single layer subject to the given predicates while minimizing the original loss function over the original training domain. We demonstrate the application of our framework in bounding an affine transformation, correcting an erroneous NN in classification, and bounding the inputs of a NN controller.