Abstract:Multi-step manipulation in dynamic environments remains challenging. Two major families of methods fail in distinct ways: (i) imitation learning (IL) is reactive but lacks compositional generalization, as monolithic policies do not decide which skill to reuse when scenes change; (ii) classical task-and-motion planning (TAMP) offers compositionality but has prohibitive planning latency, preventing real-time failure recovery. We introduce SymSkill, a unified learning framework that combines the benefits of IL and TAMP, allowing compositional generalization and failure recovery in real-time. Offline, SymSkill jointly learns predicates, operators, and skills directly from unlabeled and unsegmented demonstrations. At execution time, upon specifying a conjunction of one or more learned predicates, SymSkill uses a symbolic planner to compose and reorder learned skills to achieve the symbolic goals, while performing recovery at both the motion and symbolic levels in real time. Coupled with a compliant controller, SymSkill enables safe and uninterrupted execution under human and environmental disturbances. In RoboCasa simulation, SymSkill can execute 12 single-step tasks with 85% success rate. Without additional data, it composes these skills into multi-step plans requiring up to 6 skill recompositions, recovering robustly from execution failures. On a real Franka robot, we demonstrate SymSkill, learning from 5 minutes of unsegmented and unlabeled play data, is capable of performing multiple tasks simply by goal specifications. The source code and additional analysis can be found on https://sites.google.com/view/symskill.
Abstract:In most real-world applications of artificial intelligence, the distributions of the data and the goals of the learners tend to change over time. The Probably Approximately Correct (PAC) learning framework, which underpins most machine learning algorithms, fails to account for dynamic data distributions and evolving objectives, often resulting in suboptimal performance. Prospective learning is a recently introduced mathematical framework that overcomes some of these limitations. We build on this framework to present preliminary results that improve the algorithm and numerical results, and extend prospective learning to sequential decision-making scenarios, specifically foraging. Code is available at: https://github.com/neurodata/prolearn2.
Abstract:In this work, we argue that Gaussian splatting is a suitable unified representation for autonomous robot navigation in large-scale unstructured outdoor environments. Such environments require representations that can capture complex structures while remaining computationally tractable for real-time navigation. We demonstrate that the dense geometric and photometric information provided by a Gaussian splatting representation is useful for navigation in unstructured environments. Additionally, semantic information can be embedded in the Gaussian map to enable large-scale task-driven navigation. From the lessons learned through our experiments, we highlight several challenges and opportunities arising from the use of such a representation for robot autonomy.
Abstract:Recent experiments have shown that training trajectories of multiple deep neural networks with different architectures, optimization algorithms, hyper-parameter settings, and regularization methods evolve on a remarkably low-dimensional "hyper-ribbon-like" manifold in the space of probability distributions. Inspired by the similarities in the training trajectories of deep networks and linear networks, we analytically characterize this phenomenon for the latter. We show, using tools in dynamical systems theory, that the geometry of this low-dimensional manifold is controlled by (i) the decay rate of the eigenvalues of the input correlation matrix of the training data, (ii) the relative scale of the ground-truth output to the weights at the beginning of training, and (iii) the number of steps of gradient descent. By analytically computing and bounding the contributions of these quantities, we characterize phase boundaries of the region where hyper-ribbons are to be expected. We also extend our analysis to kernel machines and linear models that are trained with stochastic gradient descent.
Abstract:Forest inventories rely on accurate measurements of the diameter at breast height (DBH) for ecological monitoring, resource management, and carbon accounting. While LiDAR-based techniques can achieve centimeter-level precision, they are cost-prohibitive and operationally complex. We present a low-cost alternative that only needs a consumer-grade 360 video camera. Our semi-automated pipeline comprises of (i) a dense point cloud reconstruction using Structure from Motion (SfM) photogrammetry software called Agisoft Metashape, (ii) semantic trunk segmentation by projecting Grounded Segment Anything (SAM) masks onto the 3D cloud, and (iii) a robust RANSAC-based technique to estimate cross section shape and DBH. We introduce an interactive visualization tool for inspecting segmented trees and their estimated DBH. On 61 acquisitions of 43 trees under a variety of conditions, our method attains median absolute relative errors of 5-9% with respect to "ground-truth" manual measurements. This is only 2-4% higher than LiDAR-based estimates, while employing a single 360 camera that costs orders of magnitude less, requires minimal setup, and is widely available.




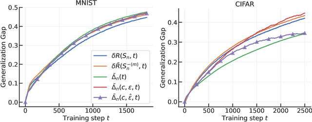
Abstract:We derive a differential equation that governs the evolution of the generalization gap when a deep network is trained by gradient descent. This differential equation is controlled by two quantities, a contraction factor that brings together trajectories corresponding to slightly different datasets, and a perturbation factor that accounts for them training on different datasets. We analyze this differential equation to compute an ``effective Gram matrix'' that characterizes the generalization gap after training in terms of the alignment between this Gram matrix and a certain initial ``residual''. Empirical evaluations on image classification datasets indicate that this analysis can predict the test loss accurately. Further, at any point during training, the residual predominantly lies in the subspace of the effective Gram matrix with the smallest eigenvalues. This indicates that the training process is benign, i.e., it does not lead to significant deterioration of the generalization gap (which is zero at initialization). The alignment between the effective Gram matrix and the residual is different for different datasets and architectures. The match/mismatch of the data and the architecture is primarily responsible for good/bad generalization.
Abstract:We address the challenge of task-oriented navigation in unstructured and unknown environments, where robots must incrementally build and reason on rich, metric-semantic maps in real time. Since tasks may require clarification or re-specification, it is necessary for the information in the map to be rich enough to enable generalization across a wide range of tasks. To effectively execute tasks specified in natural language, we propose a hierarchical representation built on language-embedded Gaussian splatting that enables both sparse semantic planning that lends itself to online operation and dense geometric representation for collision-free navigation. We validate the effectiveness of our method through real-world robot experiments conducted in both cluttered indoor and kilometer-scale outdoor environments, with a competitive ratio of about 60% against privileged baselines. Experiment videos and more details can be found on our project page: https://atlasnav.github.io
Abstract:We present a novel approach for enhancing human-robot collaboration using physical interactions for real-time error correction of large language model (LLM) powered robots. Unlike other methods that rely on verbal or text commands, the robot leverages an LLM to proactively executes 6 DoF linear Dynamical System (DS) commands using a description of the scene in natural language. During motion, a human can provide physical corrections, used to re-estimate the desired intention, also parameterized by linear DS. This corrected DS can be converted to natural language and used as part of the prompt to improve future LLM interactions. We provide proof-of-concept result in a hybrid real+sim experiment, showcasing physical interaction as a new possibility for LLM powered human-robot interface.
Abstract:In real-world applications, the distribution of the data, and our goals, evolve over time. The prevailing theoretical framework for studying machine learning, namely probably approximately correct (PAC) learning, largely ignores time. As a consequence, existing strategies to address the dynamic nature of data and goals exhibit poor real-world performance. This paper develops a theoretical framework called "Prospective Learning" that is tailored for situations when the optimal hypothesis changes over time. In PAC learning, empirical risk minimization (ERM) is known to be consistent. We develop a learner called Prospective ERM, which returns a sequence of predictors that make predictions on future data. We prove that the risk of prospective ERM converges to the Bayes risk under certain assumptions on the stochastic process generating the data. Prospective ERM, roughly speaking, incorporates time as an input in addition to the data. We show that standard ERM as done in PAC learning, without incorporating time, can result in failure to learn when distributions are dynamic. Numerical experiments illustrate that prospective ERM can learn synthetic and visual recognition problems constructed from MNIST and CIFAR-10.




Abstract:Autonomy via agents using large language models (LLMs) for personalized, standardized tasks boosts human efficiency. Automating web tasks (like booking hotels within a budget) is increasingly sought after. Fulfilling practical needs, the web agent also serves as an important proof-of-concept example for various agent grounding scenarios, with its success promising advancements in many future applications. Prior research often handcrafts web agent strategies (e.g., prompting templates, multi-agent systems, search methods, etc.) and the corresponding in-context examples, which may not generalize well across all real-world scenarios. On the other hand, there has been limited study on the misalignment between a web agent's observation/action representation and the pre-training data of the LLM it's based on. This discrepancy is especially notable when LLMs are primarily trained for language completion rather than tasks involving embodied navigation actions and symbolic web elements. Our study enhances an LLM-based web agent by simply refining its observation and action space to better align with the LLM's capabilities. This approach enables our base agent to significantly outperform previous methods on a wide variety of web tasks. Specifically, on WebArena, a benchmark featuring general-purpose web interaction tasks, our agent AgentOccam surpasses the previous state-of-the-art and concurrent work by 9.8 (+29.4%) and 5.9 (+15.8%) absolute points respectively, and boosts the success rate by 26.6 points (+161%) over similar plain web agents with its observation and action space alignment. We achieve this without using in-context examples, new agent roles, online feedback or search strategies. AgentOccam's simple design highlights LLMs' impressive zero-shot performance on web tasks, and underlines the critical role of carefully tuning observation and action spaces for LLM-based agents.