



Abstract:Social simulation is transforming traditional social science research by modeling human behavior through interactions between virtual individuals and their environments. With recent advances in large language models (LLMs), this approach has shown growing potential in capturing individual differences and predicting group behaviors. However, existing methods face alignment challenges related to the environment, target users, interaction mechanisms, and behavioral patterns. To this end, we introduce SocioVerse, an LLM-agent-driven world model for social simulation. Our framework features four powerful alignment components and a user pool of 10 million real individuals. To validate its effectiveness, we conducted large-scale simulation experiments across three distinct domains: politics, news, and economics. Results demonstrate that SocioVerse can reflect large-scale population dynamics while ensuring diversity, credibility, and representativeness through standardized procedures and minimal manual adjustments.
Abstract:Recent methods, such as Neural Radiance Fields (NeRF) and 3D Gaussian Splatting (3DGS), have demonstrated remarkable capabilities in novel view synthesis. However, despite their success in producing high-quality images for viewpoints similar to those seen during training, they struggle when generating detailed images from viewpoints that significantly deviate from the training set, particularly in close-up views. The primary challenge stems from the lack of specific training data for close-up views, leading to the inability of current methods to render these views accurately. To address this issue, we introduce a novel pseudo-label-based learning strategy. This approach leverages pseudo-labels derived from existing training data to provide targeted supervision across a wide range of close-up viewpoints. Recognizing the absence of benchmarks for this specific challenge, we also present a new dataset designed to assess the effectiveness of both current and future methods in this area. Our extensive experiments demonstrate the efficacy of our approach.




Abstract:Traditional sociological research often relies on human participation, which, though effective, is expensive, challenging to scale, and with ethical concerns. Recent advancements in large language models (LLMs) highlight their potential to simulate human behavior, enabling the replication of individual responses and facilitating studies on many interdisciplinary studies. In this paper, we conduct a comprehensive survey of this field, illustrating the recent progress in simulation driven by LLM-empowered agents. We categorize the simulations into three types: (1) Individual Simulation, which mimics specific individuals or demographic groups; (2) Scenario Simulation, where multiple agents collaborate to achieve goals within specific contexts; and (3) Society Simulation, which models interactions within agent societies to reflect the complexity and variety of real-world dynamics. These simulations follow a progression, ranging from detailed individual modeling to large-scale societal phenomena. We provide a detailed discussion of each simulation type, including the architecture or key components of the simulation, the classification of objectives or scenarios and the evaluation method. Afterward, we summarize commonly used datasets and benchmarks. Finally, we discuss the trends across these three types of simulation. A repository for the related sources is at {\url{https://github.com/FudanDISC/SocialAgent}}.




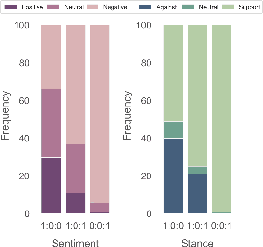
Abstract:The massive population election simulation aims to model the preferences of specific groups in particular election scenarios. It has garnered significant attention for its potential to forecast real-world social trends. Traditional agent-based modeling (ABM) methods are constrained by their ability to incorporate complex individual background information and provide interactive prediction results. In this paper, we introduce ElectionSim, an innovative election simulation framework based on large language models, designed to support accurate voter simulations and customized distributions, together with an interactive platform to dialogue with simulated voters. We present a million-level voter pool sampled from social media platforms to support accurate individual simulation. We also introduce PPE, a poll-based presidential election benchmark to assess the performance of our framework under the U.S. presidential election scenario. Through extensive experiments and analyses, we demonstrate the effectiveness and robustness of our framework in U.S. presidential election simulations.




Abstract:The rise of various social platforms has transformed journalism. The growing demand for news content has led to the increased use of large language models (LLMs) in news production due to their speed and cost-effectiveness. However, LLMs still encounter limitations in professionalism and ethical judgment in news generation. Additionally, predicting public feedback is usually difficult before news is released. To tackle these challenges, we introduce AI-Press, an automated news drafting and polishing system based on multi-agent collaboration and Retrieval-Augmented Generation. We develop a feedback simulation system that generates public feedback considering demographic distributions. Through extensive quantitative and qualitative evaluations, our system shows significant improvements in news-generating capabilities and verifies the effectiveness of public feedback simulation.
Abstract:Utilizing large language models (LLMs) to achieve role-playing has gained great attention recently. The primary implementation methods include leveraging refined prompts and fine-tuning on role-specific datasets. However, these methods suffer from insufficient precision and limited flexibility respectively. To achieve a balance between flexibility and precision, we construct a Hierarchical Identity Role-Playing Framework (HIRPF) based on identity theory, constructing complex characters using multiple identity combinations. We develop an identity dialogue dataset for this framework and propose an evaluation benchmark including scale evaluation and open situation evaluation. Empirical results indicate the remarkable efficacy of our framework in modeling identity-level role simulation, and reveal its potential for application in social simulation.




Abstract:Recent advances in discriminative and generative pretraining have yielded geometry estimation models with strong generalization capabilities. While discriminative monocular geometry estimation methods rely on large-scale fine-tuning data to achieve zero-shot generalization, several generative-based paradigms show the potential of achieving impressive generalization performance on unseen scenes by leveraging pre-trained diffusion models and fine-tuning on even a small scale of synthetic training data. Frustratingly, these models are trained with different recipes on different datasets, making it hard to find out the critical factors that determine the evaluation performance. Besides, current geometry evaluation benchmarks have two main drawbacks that may prevent the development of the field, i.e., limited scene diversity and unfavorable label quality. To resolve the above issues, (1) we build fair and strong baselines in a unified codebase for evaluating and analyzing the geometry estimation models; (2) we evaluate monocular geometry estimators on more challenging benchmarks for geometry estimation task with diverse scenes and high-quality annotations. Our results reveal that pre-trained using large data, discriminative models such as DINOv2, can outperform generative counterparts with a small amount of high-quality synthetic data under the same training configuration, which suggests that fine-tuning data quality is a more important factor than the data scale and model architecture. Our observation also raises a question: if simply fine-tuning a general vision model such as DINOv2 using a small amount of synthetic depth data produces SOTA results, do we really need complex generative models for depth estimation? We believe this work can propel advancements in geometry estimation tasks as well as a wide range of downstream applications.
Abstract:Human action video recognition has recently attracted more attention in applications such as video security and sports posture correction. Popular solutions, including graph convolutional networks (GCNs) that model the human skeleton as a spatiotemporal graph, have proven very effective. GCNs-based methods with stacked blocks usually utilize top-layer semantics for classification/annotation purposes. Although the global features learned through the procedure are suitable for the general classification, they have difficulty capturing fine-grained action change across adjacent frames -- decisive factors in sports actions. In this paper, we propose a novel ``Cross-block Fine-grained Semantic Cascade (CFSC)'' module to overcome this challenge. In summary, the proposed CFSC progressively integrates shallow visual knowledge into high-level blocks to allow networks to focus on action details. In particular, the CFSC module utilizes the GCN feature maps produced at different levels, as well as aggregated features from proceeding levels to consolidate fine-grained features. In addition, a dedicated temporal convolution is applied at each level to learn short-term temporal features, which will be carried over from shallow to deep layers to maximize the leverage of low-level details. This cross-block feature aggregation methodology, capable of mitigating the loss of fine-grained information, has resulted in improved performance. Last, FD-7, a new action recognition dataset for fencing sports, was collected and will be made publicly available. Experimental results and empirical analysis on public benchmarks (FSD-10) and self-collected (FD-7) demonstrate the advantage of our CFSC module on learning discriminative patterns for action classification over others.
Abstract:Novel view synthesis aims to generate new view images of a given view image collection. Recent attempts address this problem relying on 3D geometry priors (e.g., shapes, sizes, and positions) learned from multi-view images. However, such methods encounter the following limitations: 1) they require a set of multi-view images as training data for a specific scene (e.g., face, car or chair), which is often unavailable in many real-world scenarios; 2) they fail to extract the geometry priors from single-view images due to the lack of multi-view supervision. In this paper, we propose a Geometry-enhanced NeRF (G-NeRF), which seeks to enhance the geometry priors by a geometry-guided multi-view synthesis approach, followed by a depth-aware training. In the synthesis process, inspired that existing 3D GAN models can unconditionally synthesize high-fidelity multi-view images, we seek to adopt off-the-shelf 3D GAN models, such as EG3D, as a free source to provide geometry priors through synthesizing multi-view data. Simultaneously, to further improve the geometry quality of the synthetic data, we introduce a truncation method to effectively sample latent codes within 3D GAN models. To tackle the absence of multi-view supervision for single-view images, we design the depth-aware training approach, incorporating a depth-aware discriminator to guide geometry priors through depth maps. Experiments demonstrate the effectiveness of our method in terms of both qualitative and quantitative results.




Abstract:To mitigate the challenges arising from partial occlusion in human pose keypoint based pedestrian detection methods , we present a novel pedestrian pose keypoint completion method called the separation and dimensionality reduction-based generative adversarial imputation networks (SDR-GAIN). Firstly, we utilize OpenPose to estimate pedestrian poses in images. Then, we isolate the head and torso keypoints of pedestrians with incomplete keypoints due to occlusion or other factors and perform dimensionality reduction to enhance features and further unify feature distribution. Finally, we introduce two generative models based on the generative adversarial networks (GAN) framework, which incorporate Huber loss, residual structure, and L1 regularization to generate missing parts of the incomplete head and torso pose keypoints of partially occluded pedestrians, resulting in pose completion. Our experiments on MS COCO and JAAD datasets demonstrate that SDR-GAIN outperforms basic GAIN framework, interpolation methods PCHIP and MAkima, machine learning methods k-NN and MissForest in terms of pose completion task. Furthermore, the SDR-GAIN algorithm exhibits a remarkably short running time of approximately 0.4ms and boasts exceptional real-time performance. As such, it holds significant practical value in the domain of autonomous driving, wherein high system response speeds are of paramount importance. Specifically, it excels at rapidly and precisely capturing human pose key points, thus enabling an expanded range of applications for pedestrian detection tasks based on pose key points, including but not limited to pedestrian behavior recognition and prediction.