



Abstract:Graphical user interfaces (GUI) automation agents are emerging as powerful tools, enabling humans to accomplish increasingly complex tasks on smart devices. However, users often inadvertently omit key information when conveying tasks, which hinders agent performance in the current agent paradigm that does not support immediate user intervention. To address this issue, we introduce a $\textbf{Self-Correction GUI Navigation}$ task that incorporates interactive information completion capabilities within GUI agents. We developed the $\textbf{Navi-plus}$ dataset with GUI follow-up question-answer pairs, alongside a $\textbf{Dual-Stream Trajectory Evaluation}$ method to benchmark this new capability. Our results show that agents equipped with the ability to ask GUI follow-up questions can fully recover their performance when faced with ambiguous user tasks.
Abstract:Subspace clustering is a classical unsupervised learning task, built on a basic assumption that high-dimensional data can be approximated by a union of subspaces (UoS). Nevertheless, the real-world data are often deviating from the UoS assumption. To address this challenge, state-of-the-art deep subspace clustering algorithms attempt to jointly learn UoS representations and self-expressive coefficients. However, the general framework of the existing algorithms suffers from a catastrophic feature collapse and lacks a theoretical guarantee to learn desired UoS representation. In this paper, we present a Principled fRamewOrk for Deep Subspace Clustering (PRO-DSC), which is designed to learn structured representations and self-expressive coefficients in a unified manner. Specifically, in PRO-DSC, we incorporate an effective regularization on the learned representations into the self-expressive model, prove that the regularized self-expressive model is able to prevent feature space collapse, and demonstrate that the learned optimal representations under certain condition lie on a union of orthogonal subspaces. Moreover, we provide a scalable and efficient approach to implement our PRO-DSC and conduct extensive experiments to verify our theoretical findings and demonstrate the superior performance of our proposed deep subspace clustering approach. The code is available at https://github.com/mengxianghan123/PRO-DSC.
Abstract:Graphical User Interface (GUI) agents show amazing abilities in assisting human-computer interaction, automating human user's navigation on digital devices. An ideal GUI agent is expected to achieve high accuracy, low latency, and compatibility for different GUI platforms. Recent vision-based approaches have shown promise by leveraging advanced Vision Language Models (VLMs). While they generally meet the requirements of compatibility and low latency, these vision-based GUI agents tend to have low accuracy due to their limitations in element grounding. To address this issue, we propose $\textbf{SpiritSight}$, a vision-based, end-to-end GUI agent that excels in GUI navigation tasks across various GUI platforms. First, we create a multi-level, large-scale, high-quality GUI dataset called $\textbf{GUI-Lasagne}$ using scalable methods, empowering SpiritSight with robust GUI understanding and grounding capabilities. Second, we introduce the $\textbf{Universal Block Parsing (UBP)}$ method to resolve the ambiguity problem in dynamic high-resolution of visual inputs, further enhancing SpiritSight's ability to ground GUI objects. Through these efforts, SpiritSight agent outperforms other advanced methods on diverse GUI benchmarks, demonstrating its superior capability and compatibility in GUI navigation tasks. Models are available at $\href{https://huggingface.co/SenseLLM/SpiritSight-Agent-8B}{this\ URL}$.
Abstract:Creating autonomous virtual agents capable of using arbitrary software on any digital device remains a major challenge for artificial intelligence. Two key obstacles hinder progress: insufficient infrastructure for building virtual agents in real-world environments, and the need for in-the-wild evaluation of fundamental agent abilities. To address this, we introduce AgentStudio, an online, realistic, and multimodal toolkit that covers the entire lifecycle of agent development. This includes environment setups, data collection, agent evaluation, and visualization. The observation and action spaces are highly generic, supporting both function calling and human-computer interfaces. This versatility is further enhanced by AgentStudio's graphical user interfaces, which allow efficient development of datasets and benchmarks in real-world settings. To illustrate, we introduce a visual grounding dataset and a real-world benchmark suite, both created with our graphical interfaces. Furthermore, we present several actionable insights derived from AgentStudio, e.g., general visual grounding, open-ended tool creation, learning from videos, etc. We have open-sourced the environments, datasets, benchmarks, and interfaces to promote research towards developing general virtual agents for the future.




Abstract:Large Language Models (LLMs) exhibit impressive reasoning and data augmentation capabilities in various NLP tasks. However, what about small models? In this work, we propose TeacherLM-7.1B, capable of annotating relevant fundamentals, chain of thought, and common mistakes for most NLP samples, which makes annotation more than just an answer, thus allowing other models to learn "why" instead of just "what". The TeacherLM-7.1B model achieved a zero-shot score of 52.3 on MMLU, surpassing most models with over 100B parameters. Even more remarkable is its data augmentation ability. Based on TeacherLM-7.1B, we augmented 58 NLP datasets and taught various student models with different parameters from OPT and BLOOM series in a multi-task setting. The experimental results indicate that the data augmentation provided by TeacherLM has brought significant benefits. We will release the TeacherLM series of models and augmented datasets as open-source.




Abstract:Rare-event simulation techniques, such as importance sampling (IS), constitute powerful tools to speed up challenging estimation of rare catastrophic events. These techniques often leverage the knowledge and analysis on underlying system structures to endow desirable efficiency guarantees. However, black-box problems, especially those arising from recent safety-critical applications of AI-driven physical systems, can fundamentally undermine their efficiency guarantees and lead to dangerous under-estimation without diagnostically detected. We propose a framework called Deep Probabilistic Accelerated Evaluation (Deep-PrAE) to design statistically guaranteed IS, by converting black-box samplers that are versatile but could lack guarantees, into one with what we call a relaxed efficiency certificate that allows accurate estimation of bounds on the rare-event probability. We present the theory of Deep-PrAE that combines the dominating point concept with rare-event set learning via deep neural network classifiers, and demonstrate its effectiveness in numerical examples including the safety-testing of intelligent driving algorithms.




Abstract:The evaluation of rare but high-stakes events remains one of the main difficulties in obtaining reliable policies from intelligent agents, especially in large or continuous state/action spaces where limited scalability enforces the use of a prohibitively large number of testing iterations. On the other hand, a biased or inaccurate policy evaluation in a safety-critical system could potentially cause unexpected catastrophic failures during deployment. In this paper, we propose the Accelerated Policy Evaluation (APE) method, which simultaneously uncovers rare events and estimates the rare event probability in Markov decision processes. The APE method treats the environment nature as an adversarial agent and learns towards, through adaptive importance sampling, the zero-variance sampling distribution for the policy evaluation. Moreover, APE is scalable to large discrete or continuous spaces by incorporating function approximators. We investigate the convergence properties of proposed algorithms under suitable regularity conditions. Our empirical studies show that APE estimates rare event probability with a smaller variance while only using orders of magnitude fewer samples compared to baseline methods in both multi-agent and single-agent environments.




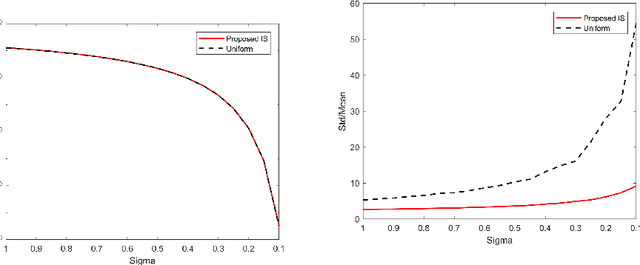
Abstract:We study rare-event simulation for a class of problems where the target hitting sets of interest are defined via modern machine learning tools such as neural networks and random forests. This problem is motivated from fast emerging studies on the safety evaluation of intelligent systems, robustness quantification of learning models, and other potential applications to large-scale simulation in which machine learning tools can be used to approximate complex rare-event set boundaries. We investigate an importance sampling scheme that integrates the dominating point machinery in large deviations and sequential mixed integer programming to locate the underlying dominating points. Our approach works for a range of neural network architectures including fully connected layers, rectified linear units, normalization, pooling and convolutional layers, and random forests built from standard decision trees. We provide efficiency guarantees and numerical demonstration of our approach using a classification model in the UCI Machine Learning Repository.




Abstract:Evaluating the reliability of intelligent physical systems against rare catastrophic events poses a huge testing burden for real-world applications. Simulation provides a useful, if not unique, platform to evaluate the extremal risks of these AI-enabled systems before their deployments. Importance Sampling (IS), while proven to be powerful for rare-event simulation, faces challenges in handling these systems due to their black-box nature that fundamentally undermines its efficiency guarantee. To overcome this challenge, we propose a framework called Deep Probabilistic Accelerated Evaluation (D-PrAE) to design IS, which leverages rare-event-set learning and a new notion of efficiency certificate. D-PrAE combines the dominating point method with deep neural network classifiers to achieve superior estimation efficiency. We present theoretical guarantees and demonstrate the empirical effectiveness of D-PrAE via examples on the safety-testing of self-driving algorithms that are beyond the reach of classical variance reduction techniques.




Abstract:Safety evaluation of autonomous vehicles is extensively studied recently, one line of studies considers Monte Carlo based evaluation. The Monte Carlo based evaluation usually estimates the probability of safety-critical events as a safety measurement based on Monte Carlo samples. These Monte Carlo samples are generated from a stochastic model that is constructed based on real-world data. In this paper, we propose an approach to assess the potential estimation error in the evaluation procedure caused by data variability. The proposed method merges the classical bootstrap method for estimating input uncertainty with a likelihood ratio based scheme to reuse experiment results. The proposed approach is highly economical and efficient in terms of implementation costs in assessing input uncertainty for autonomous vehicle evaluation.