



Abstract:Multi-agent market simulation is commonly used to create an environment for downstream machine learning or reinforcement learning tasks, such as training or testing trading strategies before deploying them to real-time trading. In electronic trading markets only the price or volume time series, that result from interaction of multiple market participants, are typically directly observable. Therefore, multi-agent market environments need to be calibrated so that the time series that result from interaction of simulated agents resemble historical -- which amounts to solving a highly complex large-scale optimization problem. In this paper, we propose a simple and efficient framework for calibrating multi-agent market simulator parameters from historical time series observations. First, we consider a novel concept of eligibility set to bypass the potential non-identifiability issue. Second, we generalize the two-sample Kolmogorov-Smirnov (K-S) test with Bonferroni correction to test the similarity between two high-dimensional time series distributions, which gives a simple yet effective distance metric between the time series sample sets. Third, we suggest using Bayesian optimization (BO) and trust-region BO (TuRBO) to minimize the aforementioned distance metric. Finally, we demonstrate the efficiency of our framework using numerical experiments.




Abstract:Rare-event simulation techniques, such as importance sampling (IS), constitute powerful tools to speed up challenging estimation of rare catastrophic events. These techniques often leverage the knowledge and analysis on underlying system structures to endow desirable efficiency guarantees. However, black-box problems, especially those arising from recent safety-critical applications of AI-driven physical systems, can fundamentally undermine their efficiency guarantees and lead to dangerous under-estimation without diagnostically detected. We propose a framework called Deep Probabilistic Accelerated Evaluation (Deep-PrAE) to design statistically guaranteed IS, by converting black-box samplers that are versatile but could lack guarantees, into one with what we call a relaxed efficiency certificate that allows accurate estimation of bounds on the rare-event probability. We present the theory of Deep-PrAE that combines the dominating point concept with rare-event set learning via deep neural network classifiers, and demonstrate its effectiveness in numerical examples including the safety-testing of intelligent driving algorithms.




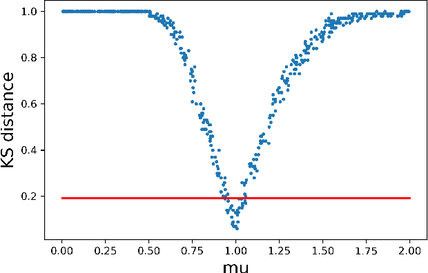
Abstract:Stochastic simulation aims to compute output performance for complex models that lack analytical tractability. To ensure accurate prediction, the model needs to be calibrated and validated against real data. Conventional methods approach these tasks by assessing the model-data match via simple hypothesis tests or distance minimization in an ad hoc fashion, but they can encounter challenges arising from non-identifiability and high dimensionality. In this paper, we investigate a framework to develop calibration schemes that satisfy rigorous frequentist statistical guarantees, via a basic notion that we call eligibility set designed to bypass non-identifiability via a set-based estimation. We investigate a feature extraction-then-aggregation approach to construct these sets that target at multivariate outputs. We demonstrate our methodology on several numerical examples, including an application to calibration of a limit order book market simulator (ABIDES).




Abstract:We study rare-event simulation for a class of problems where the target hitting sets of interest are defined via modern machine learning tools such as neural networks and random forests. This problem is motivated from fast emerging studies on the safety evaluation of intelligent systems, robustness quantification of learning models, and other potential applications to large-scale simulation in which machine learning tools can be used to approximate complex rare-event set boundaries. We investigate an importance sampling scheme that integrates the dominating point machinery in large deviations and sequential mixed integer programming to locate the underlying dominating points. Our approach works for a range of neural network architectures including fully connected layers, rectified linear units, normalization, pooling and convolutional layers, and random forests built from standard decision trees. We provide efficiency guarantees and numerical demonstration of our approach using a classification model in the UCI Machine Learning Repository.




Abstract:Evaluating the reliability of intelligent physical systems against rare catastrophic events poses a huge testing burden for real-world applications. Simulation provides a useful, if not unique, platform to evaluate the extremal risks of these AI-enabled systems before their deployments. Importance Sampling (IS), while proven to be powerful for rare-event simulation, faces challenges in handling these systems due to their black-box nature that fundamentally undermines its efficiency guarantee. To overcome this challenge, we propose a framework called Deep Probabilistic Accelerated Evaluation (D-PrAE) to design IS, which leverages rare-event-set learning and a new notion of efficiency certificate. D-PrAE combines the dominating point method with deep neural network classifiers to achieve superior estimation efficiency. We present theoretical guarantees and demonstrate the empirical effectiveness of D-PrAE via examples on the safety-testing of self-driving algorithms that are beyond the reach of classical variance reduction techniques.