Abstract:The global shortage and uneven distribution of medical expertise continue to hinder equitable access to accurate diagnostic care. While existing intelligent diagnostic system have shown promise, most struggle with dual-user interaction, and dynamic knowledge integration -- limiting their real-world applicability. In this study, we present DiagLink, a dual-user diagnostic assistance system that synergizes large language models (LLMs), knowledge graphs (KGs), and medical experts to support both patients and physicians. DiagLink uses guided dialogues to elicit patient histories, leverages LLMs and KGs for collaborative reasoning, and incorporates physician oversight for continuous knowledge validation and evolution. The system provides a role-adaptive interface, dynamically visualized history, and unified multi-source evidence to improve both trust and usability. We evaluate DiagLink through user study, use cases and expert interviews, demonstrating its effectiveness in improving user satisfaction and diagnostic efficiency, while offering insights for the design of future AI-assisted diagnostic systems.
Abstract:Class imbalance problems widely exist in the medical field and heavily deteriorates performance of clinical predictive models. Most techniques to alleviate the problem rebalance class proportions and they predominantly assume the rebalanced proportions should be a function of the original data and oblivious to the model one uses. This work challenges this prevailing assumption and proposes that links the optimal class proportions to the model complexity, thereby tuning the class proportions per model. Our experiments on the opioid overdose prediction problem highlight the performance gain of tuning class proportions. Rigorous regression analysis also confirms the advantages of the theoretical framework proposed and the statistically significant correlation between the hyperparameters controlling the model complexity and the optimal class proportions.




Abstract:Discovering entity mentions that are out of a Knowledge Base (KB) from texts plays a critical role in KB maintenance, but has not yet been fully explored. The current methods are mostly limited to the simple threshold-based approach and feature-based classification; the datasets for evaluation are relatively rare. In this work, we propose BLINKout, a new BERT-based Entity Linking (EL) method which can identify mentions that do not have a corresponding KB entity by matching them to a special NIL entity. To this end, we integrate novel techniques including NIL representation, NIL classification, and synonym enhancement. We also propose Ontology Pruning and Versioning strategies to construct out-of-KB mentions from normal, in-KB EL datasets. Results on four datasets of clinical notes and publications show that BLINKout outperforms existing methods to detect out-of-KB mentions for medical ontologies UMLS and SNOMED CT.
Abstract:Open Information Extraction (OIE) methods extract a large number of OIE triples (noun phrase, relation phrase, noun phrase) from text, which compose large Open Knowledge Bases (OKBs). However, noun phrases (NPs) and relation phrases (RPs) in OKBs are not canonicalized and often appear in different paraphrased textual variants, which leads to redundant and ambiguous facts. To address this problem, there are two related tasks: OKB canonicalization (i.e., convert NPs and RPs to canonicalized form) and OKB linking (i.e., link NPs and RPs with their corresponding entities and relations in a curated Knowledge Base (e.g., DBPedia). These two tasks are tightly coupled, and one task can benefit significantly from the other. However, they have been studied in isolation so far. In this paper, we explore the task of joint OKB canonicalization and linking for the first time, and propose a novel framework JOCL based on factor graph model to make them reinforce each other. JOCL is flexible enough to combine different signals from both tasks, and able to extend to fit any new signals. A thorough experimental study over two large scale OIE triple data sets shows that our framework outperforms all the baseline methods for the task of OKB canonicalization (OKB linking) in terms of average F1 (accuracy).
Abstract:Personal knowledge bases (PKBs) are crucial for a broad range of applications such as personalized recommendation and Web-based chatbots. A critical challenge to build PKBs is extracting personal attribute knowledge from users' conversation data. Given some users of a conversational system, a personal attribute and these users' utterances, our goal is to predict the ranking of the given personal attribute values for each user. Previous studies often rely on a relative number of resources such as labeled utterances and external data, yet the attribute knowledge embedded in unlabeled utterances is underutilized and their performance of predicting some difficult personal attributes is still unsatisfactory. In addition, it is found that some text classification methods could be employed to resolve this task directly. However, they also perform not well over those difficult personal attributes. In this paper, we propose a novel framework PEARL to predict personal attributes from conversations by leveraging the abundant personal attribute knowledge from utterances under a low-resource setting in which no labeled utterances or external data are utilized. PEARL combines the biterm semantic information with the word co-occurrence information seamlessly via employing the updated prior attribute knowledge to refine the biterm topic model's Gibbs sampling process in an iterative manner. The extensive experimental results show that PEARL outperforms all the baseline methods not only on the task of personal attribute prediction from conversations over two data sets, but also on the more general weakly supervised text classification task over one data set.




Abstract:Open information extraction (OIE) methods extract plenty of OIE triples <noun phrase, relation phrase, noun phrase> from unstructured text, which compose large open knowledge bases (OKBs). Noun phrases and relation phrases in such OKBs are not canonicalized, which leads to scattered and redundant facts. It is found that two views of knowledge (i.e., a fact view based on the fact triple and a context view based on the fact triple's source context) provide complementary information that is vital to the task of OKB canonicalization, which clusters synonymous noun phrases and relation phrases into the same group and assigns them unique identifiers. However, these two views of knowledge have so far been leveraged in isolation by existing works. In this paper, we propose CMVC, a novel unsupervised framework that leverages these two views of knowledge jointly for canonicalizing OKBs without the need of manually annotated labels. To achieve this goal, we propose a multi-view CH K-Means clustering algorithm to mutually reinforce the clustering of view-specific embeddings learned from each view by considering their different clustering qualities. In order to further enhance the canonicalization performance, we propose a training data optimization strategy in terms of data quantity and data quality respectively in each particular view to refine the learned view-specific embeddings in an iterative manner. Additionally, we propose a Log-Jump algorithm to predict the optimal number of clusters in a data-driven way without requiring any labels. We demonstrate the superiority of our framework through extensive experiments on multiple real-world OKB data sets against state-of-the-art methods.




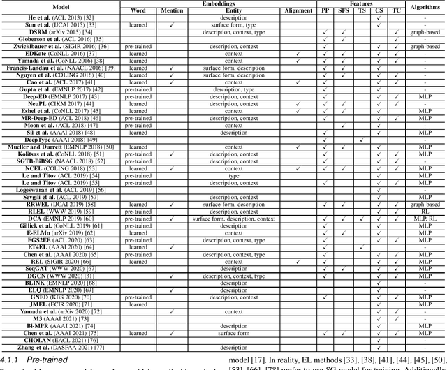
Abstract:Entity linking (EL) is the process of linking entity mentions appearing in web text with their corresponding entities in a knowledge base. EL plays an important role in the fields of knowledge engineering and data mining, underlying a variety of downstream applications such as knowledge base population, content analysis, relation extraction, and question answering. In recent years, deep learning (DL), which has achieved tremendous success in various domains, has also been leveraged in EL methods to surpass traditional machine learning based methods and yield the state-of-the-art performance. In this survey, we present a comprehensive review and analysis of existing DL based EL methods. First of all, we propose a new taxonomy, which organizes existing DL based EL methods using three axes: embedding, feature, and algorithm. Then we systematically survey the representative EL methods along the three axes of the taxonomy. Later, we introduce ten commonly used EL data sets and give a quantitative performance analysis of DL based EL methods over these data sets. Finally, we discuss the remaining limitations of existing methods and highlight some promising future directions.




Abstract:Due to the subjectivity of the summarization, it is a good practice to have more than one gold summary for each training document. However, many modern large-scale abstractive summarization datasets have only one-to-one samples written by different human with different styles. The impact of this phenomenon is understudied. We formulate the differences among possible multiple expressions summarizing the same content as subjective bias and examine the role of this bias in the context of abstractive summarization. In this paper a lightweight and effective method to extract the feature embeddings of subjective styles is proposed. Results of summarization models trained on style-clustered datasets show that there are certain types of styles that lead to better convergence, abstraction and generalization. The reproducible code and generated summaries are available online.




Abstract:Despite the recent successes of deep learning in natural language processing (NLP), there remains widespread usage of and demand for techniques that do not rely on machine learning. The advantage of these techniques is their interpretability and low cost when compared to frequently opaque and expensive machine learning models. Although they may not be be as performant in all cases, they are often sufficient for common and relatively simple problems. In this paper, we aim to modernize these older methods while retaining their advantages by extending approaches from categorical or bag-of-words representations to word embeddings representations in the latent space. First, we show that entropy and Kullback-Leibler divergence can be efficiently estimated using word embeddings and use this estimation to compare text across several categories. Next, we recast the heavy-tailed distribution known as Zipf's law that is frequently observed in the categorical space to the latent space. Finally, we look to improve the Jaccard similarity measure for sentence suggestion by introducing a new method of identifying similar sentences based on the set cover problem. We compare the performance of this algorithm against several baselines including Word Mover's Distance and the Levenshtein distance.




Abstract:Sparse model is widely used in hyperspectral image classification.However, different of sparsity and regularization parameters has great influence on the classification results.In this paper, a novel adaptive sparse deep network based on deep architecture is proposed, which can construct the optimal sparse representation and regularization parameters by deep network.Firstly, a data flow graph is designed to represent each update iteration based on Alternating Direction Method of Multipliers (ADMM) algorithm.Forward network and Back-Propagation network are deduced.All parameters are updated by gradient descent in Back-Propagation.Then we proposed an Adaptive Sparse Deep Network.Comparing with several traditional classifiers or other algorithm for sparse model, experiment results indicate that our method achieves great improvement in HSI classification.